...
§1036.501 General testing provisions.
(a) Use the equipment and procedures specified in this subpart and 40 CFR part 1065 to determine whether engines meet the emission standards in §1036.104 or fuel consumption standards under 49 CFR part 535.
(b) Use the fuels specified in 40 CFR part 1065 to perform valid tests, as follows:
(1) For service accumulation, use the test fuel or any commercially available fuel that is representative of the fuel that in-use engines will use.
(2) For diesel-fueled engines, use the ultra-low-sulfur diesel fuel specified in 40 CFR part 1065.703 and 40 CFR 1065.710(b)(3) for emission testing.
(3) For gasoline-fueled engines, use the appropriate E10 fuel specified in 40 CFR part 1065.
(c) For engines that use aftertreatment technology with infrequent regenerationevents, apply infrequent regeneration adjustment factors for each duty cycle as described in §1036.580.
(d) If your engine is intended for installation in a vehicle equipped with stop-start technology meeting the specifications of 40 CFR 1037.660 to qualify as tamper-resistant under 40 CFR 1037.520(j)(4), you may shut the engine down during idle portions of the duty cycle to represent in-use operation. We recommend installing a production engine starter motor and letting the engine's ECM manipulate the starter motor to control the engine stop and start events. Use good engineering judgment to address the effects of dynamometer inertia on restarting the engine by, for example, using a larger starter motor or declutching the engine from the dynamometer during restart.
(e) You may disable any AECDs that have been approved solely for emergency equipment applications under §1036.115(h)(4). Note that the emission standards do not apply when any of these AECDs are active.
(f) You may use special or alternate procedures to the extent we allow them under 40 CFR 1065.10.
(g) This subpart is addressed to you as a manufacturer, but it applies equally to anyone who does testing for you, and to us when we perform testing to determine if your engines meet emission standards.
(h) For testing engines that use regenerative braking through the crankshaft only to power an electric heater for aftertreatment devices, you may use the nonhybrid engine testing procedures in §§1036.510, 1036.512, and 1036.514 and you may also or instead use the fuel mapping procedure in §1036.505(b)(1) or (2). You may use this allowance only if the recovered energy is less than 10 percent of the total positive work for each applicable test interval. Otherwise, use powertrain testing procedures specified for hybrid powertrains to measure emissions and create fuel maps. For engines that power an electric heater with a battery, you must meet the requirements related to charge-sustaining operation as described in 40 CFR 1066.501(a)(3).
[88 FR 4487, Jan. 24, 2023; 89 FR 29742, Apr. 22, 2024; 91 FR 7779, Feb. 18, 2026]
§1036.503 Engine data and information to support vehicle certification for NHTSA
See §1036.505 for engine data and information required to support vehicle certification.
[91 FR 7779, Feb. 18, 2026]
§1036.505 Engine data and information to support vehicle certification.
You must give vehicle manufacturers information as follows so they can certify their vehicles to fuel consumption standards under 49 CFR part 535:
(a) Identify engine make, model, fuel type, combustion type, engine family name, calibration identification, and engine displacement. Also identify whether the engines will be used in tractors, vocational vehicles, or both. When certifying vehicles with GEM, for any fuel type not identified in table 1 to paragraph (b)(4) of §1036.550, identify the fuel type as diesel fuel for engines subject to compression-ignition standards, and as gasoline for engines subject to spark-ignition standards.
(b) This paragraph (b) describes four different methods to generate engine fuel maps. For engines without hybrid components and for mild hybrid engines where you do not include hybrid components in the test, generate fuel maps using either paragraph (b)(1) or (2) of this section. For other hybrid engines, generate fuel maps using paragraph (b)(3) of this section. For hybrid powertrains and nonhybrid powertrains and for vehicles where the transmission is not automatic, automated manual, manual, or dual-clutch, generate fuel maps using paragraph (b)(4) of this section.
(1) Determine steady-state engine fuel maps as described in §1036.535(b). Determine fuel consumption at idle as described in §1036.535(c). Determine cycle-average engine fuel maps as described in §1036.540, excluding cycle-average fuel maps for highway cruise cycles.
(2) Determine steady-state fuel maps as described in either §1036.535(b) or (d). Determine fuel consumption at idle as described in §1036.535(c). Determine cycle-average engine fuel maps as described in §1036.540, including cycle-average engine fuel maps for highway cruise cycles. We may do confirmatory testing by creating cycle-average fuel maps from steady-state fuel maps created in paragraph (b)(1) of this section for highway cruise cycles. In §1036.540 we define the vehicle configurations for testing; we may add more vehicle configurations to better represent your engine's operation for the range of vehicles in which your engines will be installed (see 40 CFR 1065.10(c)(1)).
(3) Determine fuel consumption at idle as described in §1036.535(c) and (d) and determine cycle-average engine fuel maps as described in §1036.545, including cycle-average engine fuel maps for highway cruise cycles. Set up the test to apply accessory load for all operation by primary intended service class as described in the following table:
| Primary intended service class | Power representing accessory load (kW) |
|---|---|
| Light HDV | 1.5 |
| Medium HDV | 2.5 |
| Heavy HDV | 3.5 |
(4) Generate powertrain fuel maps as described in §1036.545 instead of fuel mapping under §1036.535 or §1036.540. Note that the option in §1036.545(b)(2) is allowed only for hybrid engine testing. Disable stop-start systems and automatic engine shutdown systems when conducting powertrain fuel map testing using §1036.545.
(c) Provide the following information if you generate engine fuel maps using either paragraph (b)(1), (2), or (3) of this section:
(1) Full-load torque curve for installed engines and the full-load torque curve of the engine (parent engine) with the highest fueling rate that shares the same engine hardware, including the turbocharger, as described in 40 CFR 1065.510. You may use 40 CFR 1065.510(b)(5)(i) for Spark-ignition HDE. Measure the torque curve for hybrid engines that have an RESS as described in 40 CFR 1065.510(g)(2) with the hybrid system active. Test hybrid engines with no RESS as described in 40 CFR 1065.510(b)(5)(ii).
(2) Motoring torque curve as described in 40 CFR 1065.510(c)(2) and (5) for nonhybrid and hybrid engines, respectively. For engines with a low-speed governor, remove data points where the low-speed governor is active. If you don't know when the low-speed governor is active, we recommend removing all points below 40 r/min above the warm low-idle speed.
(3) Declared engine idle speed. For vehicles with manual transmissions, this is the engine speed with the transmission in neutral. For all other vehicles, this is the engine's idle speed when the transmission is in drive.
(4) The engine idle speed during the transient cycle-average fuel map.
(5) The engine idle torque during the transient cycle-average fuel map.
(d) If you generate powertrain fuel maps using paragraph (b)(4) of this section, determine the system continuous rated power according to §1036.520.
[88 FR 4487, Jan. 24, 2023; 89 FR 29743, Apr. 22, 2024; 91 FR 7779, Feb. 18, 2026]
§1036.510 Supplemental Emission Test.
(a) Measure emissions using the steady-state SET duty cycle as described in this section. Note that the SET duty cycle is operated as a ramped-modal cycle rather than discrete steady-state test points.
(b) Procedures apply differently for testing certain kinds of engines and powertrains as follows:
(1) For testing nonhybrid engines, the SET duty cycle is based on normalized speed and torque values relative to certain maximum values. Denormalize speed as described in 40 CFR 1065.512. Denormalize torque as described in 40 CFR 1065.610(d). Note that idle points are to be run at conditions simulating neutral or park on the transmission.
(2) Test hybrid powertrains as described in §1036.545, except as specified in this paragraph (b)(2). Do not compensate the duty cycle for the distance driven as described in §1036.545(g)(4). For hybrid engines, select the transmission model parameters as described in §1036.510(b)(2)(viii), . Disregard duty cycles in §1036.545(j). For cycles that begin with idle, leave the transmission in neutral or park for the full initial idle segment. Place the transmission into drive no earlier than 5 seconds before the first nonzero vehicle speed setpoint. For SET testing only, place the transmission into park or neutral when the cycle reaches the final idle segment. Use the following vehicle parameters instead of those in §1036.545 to define the vehicle model in §1036.545(a)(3):
(i) Determine the vehicle test mass, M, as follows:

Where:
P contrated = the continuous rated power of the hybrid system determined in sect; 1036.520.
Example:
P contrated = 350.1 kW
M = 15.1·350.1 1.31
M = 32499 kg
(ii) Determine the vehicle frontal area, A front, as follows:
(A) For M ≤ 18050 kg:

Example:
M = 16499 kg
Afront = − 1.69·10 −8 ·16499 2 +6.33·10 −4 ·16499+1.67
Afront = 7.51 m 2
(B) For M > 18050 kg, Afront = 7.59 m 2
(iii) Determine the vehicle drag area, CdA, as follows:

Where:
g = gravitational constant = 9.80665 m/s 2 .
ρ = air density at reference conditions. Use ρ = 1.1845 kg/m 3.
Example:

CdA = 3.08 m 2
(iv) Determine the coefficient of rolling resistance, C rr, as follows:

Example:

C rr = 5.7 N/kN = 0.0057 N/N
(v) Determine the vehicle curb mass, M curb , as follows:

Example:
Mcurb = −0.000007376537·32499 2 + 0.6038432·32499
M curb = 11833 kg
(vi) Determine the linear equivalent mass of rotational moment of inertias, M rotating , as follows:

Example:
M rotating = 0.07·11833
M rotating = 828.3 kg
(vii) Select a combination of drive axle ratio, ka , and a tire radius, r, that represents the worst-case combination of top gear ratio, drive axle ratio, and tire size for CO 2 emissions expected for vehicles in which the hybrid engine or hybrid powertrain will be installed. This is typically the highest axle ratio and smallest tire radius. Disregard configurations or settings corresponding to a maximum vehicle speed below 60 mi/hr in selecting a drive axle ratio and tire radius, unless you can demonstrate that in-use vehicles will not exceed that speed. You may request preliminary approval for selected drive axle ratio and tire radius consistent with the provisions of §1036.210. If the hybrid engine or hybrid powertrain is used exclusively in vehicles not capable of reaching 60 mi/hr, you may request that we approve an alternate test cycle and cycle-validation criteria as described in 40 CFR 1066.425(b)(5). Note that hybrid engines rely on a specified transmission that is different for each duty cycle; the transmission's top gear ratio therefore depends on the duty cycle, which will in turn change the selection of the drive axle ratio and tire size. For example, §1036.520 prescribes a different top gear ratio than this paragraph (b)(2).
(viii) If you are certifying a hybrid engine, use a default transmission efficiency of 0.95 and create the vehicle model along with its default transmission shift strategy as described in §1036.545(a)(3)(ii). Specify the transmission type as Automatic Transmission for all engines and for all duty cycles, except that the transmission type is Automated Manual Transmission for Heavy HDE operating over the SET duty cycle. For automatic transmissions set neutral idle to “Y” in the vehicle file. Select gear ratios for each gear as shown in the following table:
| Gear No. | Spark-ignition HDE, Light HDE, and Medium HDE—all duty cycles | Heavy HDE—LLC and FTP duty cycles | Heavy HDE— SET duty cycle |
|---|---|---|---|
| 1 | 3.10 | 3.51 | 12.8 |
| 2 | 1.81 | 1.91 | 9.25 |
| 3 | 1.41 | 1.43 | 6.76 |
| 4 | 1.00 | 1.00 | 4.90 |
| 5 | 0.71 | 0.74 | 3.58 |
| 6 | 0.61 | 0.64 | 2.61 |
| 7 | 1.89 | ||
| 8 | 1.38 | ||
| 9 | 1.00 | ||
| 10 | 0.73 | ||
| Lockup Gear | 3 | 3 |
(ix) If you are certifying a hybrid engine, use a default transmission efficiency of 0.95 and create the vehicle model along with its default transmission shift strategy as described in 40 CFR 1037.550(a)(3)(ii). Use the transmission parameters defined in Table 1 of §1036.540 to determine transmission type and gear ratio. For Light HDV and Medium HDV, use the Light HDV and Medium HDV parameters for FTP, LLC, and SET duty cycles. For Tractors and Heavy HDVs, use the Tractor and Heavy HDV transient cycle parameters for the FTP and LLC duty cycles and the Tractor and Heavy HDV highway cruise cycle parameters for the SET duty cycle.
(c) Measure emissions using the SET duty cycle shown in Table 1 of this section to determine whether engines meet the steady-state compression-ignition standards specified in subpart B of this part. Table 1 of this section specifies test settings, as follows:
(1) The duty cycle for testing nonhybrid engines involves a schedule of normalized engine speed and torque values. Note that nonhybrid powertrains are generally tested as engines, so this section does not describe separate procedures for that configuration.
(2) The duty cycle for testing hybrid powertrains involves a schedule of vehicle speeds and road grade as follows:
(i) Determine road grade at each point based on the continuous rated power of the hybrid powertrain, Pcontrated, in kW determined in §1036.520, the vehicle speed (A, B, or C) in mi/hr for a given SET mode, vref[speed], and the specified road-grade coefficients using the following equation:

Example for SET mode 3a in Table 1 of this section:
P contrated = 345.2 kW
v refB = 59.3 mi/hr
Road grade = 8.296 · 10 − 9 · 345.2 3 + (− 4.752 · 10 − 7) · 345.2 2 · 59.3 + 1.291 · 10 − 5 · 345.2 2 + 2.88 · 10 − 4 · 59.3 2 + 4.524 · 10 − 4 · 345.2 · 59.3 + (− 1.802 · 10 − 2) · 345.2 + (− 1.83 · 10 −1) · 59.3 + 8.81
Road grade = 0.53%
(ii) Use the vehicle C speed determined in §1036.520. Determine vehicle A and B speeds as follows:
(A) Determine vehicle A speed using the following equation:

Example:
v refC = 68.42 mi/hr

v refA = 50.2 mi/hr
(B) Determine vehicle B speed using the following equation:

Example:

v refB = 59.3 mi/hr
(3) Table 1 follows:

(d) Determine criteria pollutant emissions for plug-in hybrid powertrains as follows:
(1) Carry out a charge-sustaining test as described in paragraph (b)(2) of this section.
(2) Carry out a charge-depleting test as described in paragraph (b)(2) of this section, except as follows:
(i) Fully charge the RESS after preconditioning.
(ii) Operate the engine or powertrain continuously over repeated SET duty cycles until you reach the end-of-test criterion defined in 40 CFR 1066.501(a)(3).
(iii) Calculate emission results for each SET duty cycle. Figure 1 to paragraph (d)(4) of this section provides an example of a charge-depleting test sequence where there are two test intervals that contain engine operation.
(3) Report the highest emission result for each criteria pollutant from all tests in paragraphs (d)(1) and (2) of this section, even if those individual results come from different test intervals.
(4) The following figure illustrates an example of an SET charge-depleting test sequence:
Figure 1 to Paragraph (d)(4) of §1036.510—SET Charge-Depleting Criteria Pollutant Test Sequence.

(e) Determine greenhouse gas pollutant emissions for plug-in hybrid powertrains using the emissions results for all the SET test intervals for both charge-depleting and charge-sustaining operation from paragraph (d)(2) of this section. Calculate the utility factor-weighted composite mass of emissions from the charge-depleting and charge-sustaining test results, eUF[emission]comp, using the following equation:

Eq. 1036.510-10
Where:
i = an indexing variable that represents one test interval.
N = total number of charge-depleting test intervals.
e[emission][int]CDi = total mass of emissions in the charge-depleting portion of the test for each test interval, i, starting from i = 1, including the test interval(s) from the transition phase.
UFDCDi = utility factor fraction at distance DCDi from Eq. 1036.510-11, as determined by interpolating the approved utility factor curve for each test interval, i, starting from i = 1. Let UFDCD0 = 0.
j = an indexing variable that represents one test interval.
M = total number of charge-sustaining test intervals.
e[emission][int]CS = total mass of emissions in the charge-sustaining portion of the test for each test interval, j, starting from j = 1.
UFRCD = utility factor fraction at the full charge-depleting distance, RCD, as determined by interpolating the approved utility factor curve. RCD is the cumulative distance driven over N charge-depleting test intervals.

Eq. 1036.510-11
Where:
k = an indexing variable that represents one recorded velocity value.
Q = total number of measurements over the test interval.
v = vehicle velocity at each time step, k, starting from k = 1. For tests completed under this section, v is the vehicle velocity from the vehicle model in §1036.545. Note that this should include charge-depleting test intervals that start when the engine is not yet operating.
Δ t = 1/ frecord
frecord = the record rate.
Example using the charge-depletion test in figure 1 to paragraph (d)(4) of this section for the SET for CO2emission determination:
Q = 24000
1 = 0 mi/hr
2 = 0.8 mi/hr
3 = 1.1 mi/hr
frecord = 10 Hz
Δ t = 1/10 Hz = 0.1 s

DCD1 = 30.1 mi
DCD2 = 30.0 mi
DCD3 = 30.1 mi
DCD4 = 30.2 mi
DCD5 = 30.1 mi
N = 5
UFDCD1 = 0.11
UFDCD2 = 0.23
UFDCD3 = 0.34
UFDCD4 = 0.45
UFDCD5 = 0.53
eCO2SETCD1 = 0 g/hp·hr
eCO2SETCD2 = 0 g/hp·hr
eCO2SETCD3 = 0 g/hp·hr
eCO2SETCD4 = 0 g/hp·hr
eCO2SETCD5 = 174.4 g/hp·hr
M = 1
eCO2SETCS = 428.1 g/hp·hr
UFRCD = 0.53

(f) Calculate and evaluate cycle-validation criteria as specified in 40 CFR 1065.514 for nonhybrid engines and §1036.545 for hybrid powertrains.
(g) Calculate the total emission mass of each constituent, m, over the test interval as described in 40 CFR 1065.650. Calculate the total work, W, over the test interval as described in 40 CFR 1065.650(d). For hybrid powertrains, calculate W using system power, Psys as described in §1036.520(f).
[88 FR 4487, Jan. 24, 2023; 89 FR 29743, Apr. 22, 2024; 91 FR 7779, Feb. 18, 2026]
§1036.512 Federal Test Procedure.
(a) Measure emissions using the transient Federal Test Procedure (FTP) as described in this section to determine whether engines meet the emission standards in subpart B of this part. Operate the engine or hybrid powertrain over one of the following transient duty cycles:
(1) For engines subject to spark-ignition standards, use the transient test interval described in paragraph (b) of appendix B to this part.
(2) For engines subject to compression-ignition standards, use the transient test interval described in paragraph (c) of appendix B to this part.
(b) Procedures apply differently for testing certain kinds of engines and powertrains as follows:
(1) The transient test intervals for nonhybrid engine testing are based on normalized speed and torque values. Denormalize speed as described in 40 CFR 1065.512. Denormalize torque as described in 40 CFR 1065.610(d).
(2) Test hybrid powertrains as described in §1036.510(b)(2), with the following exceptions:
(i) Replace Pcontrated with Prated, which is the peak rated power determined in §1036.520.
(ii) Keep the transmission in drive for all idle segments after the initial idle segment.
(iii) For hybrid engines, you may request to change the engine-commanded torque at idle to better represent curb idle transmission torque (CITT).
(iv) For plug-in hybrid powertrains, test over the FTP in both charge-sustaining and charge-depleting operation for criteria pollutant determination.
(c) Except as specified in paragraph (d) of this section for plug-in hybrid powertrains, the FTP duty cycle consists of an initial run through the test interval from a cold start as described in 40 CFR part 1065, subpart F, followed by a (20 ±1) minute hot soak with no engine operation, and then a final hot start run through the same transient test interval. Engine starting is part of both the cold-start and hot-start test intervals. Calculate the total emission mass of each constituent, m, over each test interval as described in 40 CFR 1065.650. Calculate the total work, W, over the test interval as described in 40 CFR 1065.650(d). For hybrid powertrains, calculate W using system power, Psys as described in §1036.520(f). Determine Psys using §1036.520(f). For powertrains with automatic transmissions, account for and include the work produced by the engine from the CITT load. Calculate the official transient emission result from the cold-start and hot-start test intervals using the following equation:

Eq. 1036.512-1
(d) Determine criteria pollutant emissions for plug-in hybrid powertrains as follows:
(1) Carry out a charge-sustaining test as described in paragraph (b)(2) of this section.
(2) Carry out a charge-depleting test as described in paragraph (b)(2) of this section, except as follows:
(i) Fully charge the battery after preconditioning.
(ii) Operate the engine or powertrain over one FTP duty cycle followed by alternating repeats of a 20-minute soak and a hot start test interval until you reach the end-of-test criteria defined in 40 CFR 1066.501(a)(3).
(iii) Calculate emission results for each successive pair of test intervals. Calculate the emission result by treating the first of the two test intervals as a cold-start test. Figure 1 to paragraph (d)(4) of this section provides an example of a charge-depleting test sequence where there are three test intervals with engine operation for two overlapping FTP duty cycles.
(3) Report the highest emission result for each criteria pollutant from all tests in paragraphs (d)(1) and (2) of this section, even if those individual results come from different test intervals.
(4) The following figure illustrates an example of an FTP charge-depleting test sequence:
Figure 1 to Paragraph (d)(4) of §1036.512—FTP Charge-Depleting Criteria Pollutant Test Sequence

(e) Determine CO 2 emissions for plug-in hybrid engines and powertrains using the emissions results for all the transient duty cycle test intervals described in either paragraph (b) or (c) of appendix B to this part for both charge-depleting and charge-sustaining operation from paragraph (d)(2) of this section. Calculate the utility factor weighted composite mass of emissions from the charge-depleting and charge-sustaining test results, eUF[emission]comp , as described in §1036.510(e), replacing occurrences of “SET” with “transient test interval”. Note this results in composite FTP CO 2 emission results for plug-in hybrid engines and powertrains without the use of the cold-start and hot-start test interval weighting factors in Eq. 1036.512-1.
(f) Calculate and evaluate cycle-validation criteria as specified in 40 CFR 1065.514 for nonhybrid engines and §1036.545 for hybrid powertrains.
[88 FR 4487, Jan. 24, 2023; 89 FR 29745, Apr. 22, 2024; 91 FR 7780, Feb. 18, 2026]
§1036.514 Low Load Cycle.
Measure emissions using the transient Low Load Cycle (LLC) as described in this section to determine whether engines meet the LLC emission standards in §1036.104. The LLC duty cycle is described in paragraph (d) of appendix B to this part. Procedures apply differently for testing certain kinds of engines and powertrains as follows:
(a) Test nonhybrid engines using the following procedures:
(1) Use the normalized speed and torque values for engine testing in the LLC duty cycle. Denormalize speed and torque values as described in 40 CFR 1065.512 and 1065.610 with the following additional requirements for testing at idle:
(i) Apply the accessory load at idle in paragraph (c) of this section using declared idle power as described in 40 CFR 1065.510(f)(6). Declared idle torque must be zero.
(ii) Apply CITT in addition to accessory load as described in this paragraph (a)(1)(ii). Set reference speed and torque values as described in 40 CFR 1065.610(d)(3)(vi) for all idle segments that are 200 s or shorter to represent the transmission operating in drive. For longer idle segments, set the reference speed and torque values to the warm-idle-in-drive values for the first three seconds and the last three seconds of the idle segment. For the points in between, set the reference speed and torque values to the warm-idle-in-neutral values to represent the transmission being manually shifted from drive to neutral shortly after the extended idle starts and back to drive shortly before it ends.
(2) Calculate and evaluate cycle-validation criteria as described in 40 CFR 1065.514, except as specified in paragraph (e) of this section.
(b) Test hybrid powertrains as described in §1036.510(b)(2), with the following exceptions:
(1) Replace Pcontrated with Prated, which is the peak rated power determined in §1036.520.
(2) Keep the transmission in drive for all idle segments 200 seconds or less. For idle segments more than 200 seconds, leave the transmission in drive for the first 3 seconds of the idle segment, then immediately place the transmission in park or neutral, and shift the transmission into drive again 3 seconds before the end of the idle segment. The end of the idle segment occurs at the first nonzero vehicle speed setpoint.
(3) For hybrid engines, you may request to change the GEM-generated engine reference torque at idle to better represent curb idle transmission torque (CITT).
(4) Adjust procedures in this section as described in §1036.510(d) for plug-in hybrid powertrains, replacing “SET” with “LLC”. Note that the LLC is therefore the preconditioning duty cycle for plug-in hybrid powertrains.
(5) Calculate and evaluate cycle-validation criteria as specified in §1036.545.
(c) Include vehicle accessory loading as follows:
(1) Apply a vehicle accessory load for each idle point in the cycle using the power values in the following table:
| Primary intended service class | Power representing accessory load (kW) |
|---|---|
| Light HDE | 1.5 |
| Medium HDE | 2.5 |
| Heavy HDE | 3.5 |
(2) For nonhybrid engine testing, apply vehicle accessory loads in addition to any applicable CITT.
(3) Additional provisions related to vehicle accessory load apply for engines with stop-start technology and hybrid powertrains where the accessory load is applied to the engine shaft. Account for the loss of mechanical work due to the lack of any idle accessory load during engine-off conditions by determining the total loss of mechanical work from idle accessory load during all engine-off intervals over the entire test interval and distributing that work over the engine-on portion of the entire test interval based on a calculated average power. You may determine the engine-off time by running practice cycles or through engineering analysis.
(d) Except as specified in paragraph (b)(4) of this section for plug-in hybrid powertrains, the test sequence consists of preconditioning the engine by running one or two FTPs with each FTP followed by (20 ± 1) minutes with no engine operation and a hot start run through the LLC. You may start any preconditioning FTP with a hot engine. Perform testing as described in 40 CFR 1065.530 for a test interval that includes engine starting. Calculate the total emission mass of each constituent, m, over the test interval as described in 40 CFR 1065.650. For nonhybrid engines, calculate the total work, W, over the test interval as described in 40 CFR 1065.650(d). For hybrid powertrains, calculate total positive work over the test interval using system power, Psys. Determine Psys using §1036.520(f). For powertrains with automatic transmissions, account for and include the work produced by the engine from the CITT load.
(e) For testing spark-ignition gaseous-fueled engines with fuel delivery at a single point in the intake manifold, you may apply the alternative cycle-validation criteria for the LLC in the following table:
| Parameter | Speed | Torque | Power |
| Slope, a1 | 0.800 ≤ a1 ≤ 1.030 | 0.800 ≤ a1 ≤ 1.030. | |
|
Absolute value of intercept, |
a0
|
Standard error of the estimate, SEE | ≤15% of maximum mapped power. | ||
| Coefficient of determination, r2 | ≥0.650 | ≥0.650. | |
| a Cycle-validation criteria apply as specified in 40 CFR 1065.514 unless otherwise specified. | |||
[88 FR 4487, Jan. 24, 2023; 89 FR 29746, Apr. 22, 2024; 91 FR 7780, Feb. 18, 2026]
§1036.520 Determining power and vehicle speed values for powertrain testing.
This section describes how to determine the system peak power and continuous rated power of hybrid and nonhybrid powertrain systems and the vehicle speed for carrying out duty-cycle testing under this part and §1036.545.
(a) You must map or re-map an engine before a test if any of the following apply:
(1) If you have not performed an initial engine map.
(2) If the atmospheric pressure near the engine's air inlet is not within ±5 kPa of the atmospheric pressure recorded at the time of the last engine map.
(3) If the engine or emission-control system has undergone changes that might affect maximum torque performance. This includes changing the configuration of auxiliary work inputs and outputs.
(4) If you capture an incomplete map on your first attempt or you do not complete a map within the specified time tolerance. You may repeat mapping as often as necessary to capture a complete map within the specified time.
(b) Set up the powertrain test according to §1036.545, with the following exceptions:
(1) Use vehicle parameters, other than power, as specified in §1036.510(b)(2). Use the applicable automatic transmission as specified in §1036.510(b)(2)(viii).
(2) Select a manufacturer-declared value for Pcontrated to represent system peak power.
(c) Verify the following before the start of each test interval:
(1) The state-of-charge of the rechargeable energy storage system (RESS) must be at or above 90% of the operating range between the minimum and maximum RESS energy levels specified by the manufacturer.
(2) The conditions of all hybrid system components must be within their normal operating range as declared by the manufacturer, including ensuring that no features are actively limiting power or vehicle speed.
(d) Carry out the test as described in this paragraph (d). Warm up the powertrain by operating it. We recommend operating the powertrain at any vehicle speed and road grade that achieves approximately 75% of its expected maximum power. Continue the warm-up until the engine coolant, block, lubricating oil, or head absolute temperature is within ±2% of its mean value for at least 2 min or until the engine thermostat controls engine temperature. Within 90 seconds after concluding the warm-up, operate the powertrain over a continuous trace meeting the following specifications:
(1) Bring the vehicle speed to 0 mi/hr and let the powertrain idle at 0 mi/hr for 50 seconds.
(2) Set maximum driver demand for a full load acceleration at 6.0% road grade with an initial vehicle speed of 0 mi/hr, continuing for 268 seconds. You may increase initial vehicle speed up to 5 mi/hr to minimize clutch slip.
(3) Linearly ramp the grade from 6.0% down to 0.0% over 300 seconds. Stop the test after the acceleration is less than 0.02 m/s 2.
(e) Record the powertrain system angular speed and torque values measured at the dynamometer at 100 Hz and use these in conjunction with the vehicle model to calculate vehicle system power, Psys,vehicle. Note that Psys, is the corresponding value for system power at a location that represents the transmission input shaft on a conventional powertrain.
(f) Calculate the system power, Psys, for each data point as follows:
(1) For testing with the speed and torque measurements at the transmission input shaft, Psys is equal to the calculated vehicle system power, Psys,vehicle, determined in paragraphs (d) and (e) of this section.
(2) For testing with the speed and torque measurements at the axle input shaft or the wheel hubs, determine Psys for each data point using the following equation:

Where:
Psys,vehicle = the calculated vehicle system power for each 100-Hz data point.
εtrans = the default transmission efficiency = 0.95.
εaxle = the default axle efficiency. Set this value to 1 for speed and torque measurement at the axle input shaft or to 0.955 at the wheel hubs.
Example:
Psys,vehicle = 317.6 kW

Psys = 350.1 kW
(g) For each 200-ms (5-Hz) time step, t, determine the coefficient of variation (COV) of as follows:
(1) Calculate the standard deviation, σ (t) of the 20 100-Hz data points in each 5-Hz measurement interval using the following equation:

Where:
N = the number of data points in each 5-Hz measurement interval = 20.
Psysi = the 100-Hz values of P sys within each 5-Hz measurement interval.
Psys(t) = the mean power from each 5-Hz measurement interval.
(2) Calculate the 5-Hz values for COV (t) for each time step, t, as follows:

(h) Determine rated power, Prated, as the maximum measured power from the data collected in paragraph (d)(2) of this section where the COV determined in paragraph (g) of this section is less than 2%.
(i) Determine continuous rated power, Pcontrated, as follows:
(1) For nonhybrid powertrains, Pcontrated equals Prated.
(2) For hybrid powertrains, Pcontrated is the maximum measured power from the data collected in paragraph (d)(3) of this section where the COV determined in paragraph (g) of this section is less than 2%.
(j) Determine vehicle C speed, vrefC, as follows:
(1) If the maximum Psys ( t ) in the highest gear during the maneuver in paragraph (d)(3) of this section is greater than 0.98· Pcontrated, vrefC is the average of the minimum and maximum vehicle speeds where Psys ( t ) is equal to 0.98· Pcontrated during the maneuver in paragraph (d)(3) where the transmission is in the highest gear, using linear interpolation, as appropriate. If Psys ( t ) at the lowest vehicle speed where the transmission is in the highest gear is greater than 0.98· Pcontrated, use the lowest vehicle speed where the transmission is in the highest gear as the minimum vehicle speed input for calculating vrefC.
(2) Otherwise, vrefC is the maximum vehicle speed during the maneuver in paragraph (d)(3) of this section where the transmission is in the highest gear.
(3) You may use a declared vrefC instead of measured vrefC if the declared vrefC is within (97.5 to 102.5)% of the corresponding measured value.
(4) Manufacturers may request approval to use an alternative vehicle C speed in place of the measured vehicle C speed determined in this paragraph (j) for series hybrid applications. Approval will be contingent upon justification that the measured vehicle C speed is not representative of the expected real-world cruise speed.
(k) If Pcontrated as determined in paragraph (i) of this section is within ±3% of the manufacturer-declared value for Pcontrated, use the manufacturer-declared value. Otherwise, repeat the procedure in paragraphs (b) through (j) of this section and use Pcontrated from paragraph (i) instead of the manufacturer-declared value.
[88 FR 4487, Jan. 24, 2023; 89 FR 29747, Apr. 22, 2024; 91 FR 7780, Feb. 18, 2026]
§1036.525 Clean Idle test.
Measure emissions using the procedures described in this section to determine whether engines and hybrid powertrains meet the clean idle emission standards in §1036.104(b). For plug-in hybrid powertrains, perform the test with the hybrid function disabled.
(a) The clean idle test consists of two separate test intervals as follows:
(1) Mode 1 consists of engine operation with a speed setpoint at your recommended warm idle speed. Set the dynamometer torque demand corresponding to vehicle power requirements at your recommended warm idle speed that represent in-use operation.
(2) Mode 2 consists of engine operation with a speed setpoint at 1100 r/min. Set the dynamometer torque demand to account for the sum of the following power loads:
(i) Determine power requirements for idling at 1100 r/min.
(ii) Apply a power demand of 2 kW to account for appliances and accessories the vehicle operator may use during rest periods.
(3) Determine torque demand for testing under this paragraph (a) based on an accessory load that includes the engine cooling fan, alternator, coolant pump, air compressor, engine oil and fuel pumps, and any other engine accessory that operates at the specific test condition. Also include the accessory load from the air conditioning compressor operating at full capacity for Mode 2. Do not include any other load for air conditioning or other cab or vehicle accessories except as specified.
(b) Perform the Clean Idle test as follows:
(1) Warm up the engine by operating it over the FTP or SET duty cycle, or by operating it at any speed above peak-torque speed and at (65 to 85) % of maximum mapped power. The warm-up is complete when the engine thermostat controls engine temperature or when the engine coolant's temperature is within 2% of its mean value for at least 2 minutes.
(2) Start operating the engine in Mode 1 as soon as practical after the engine warm-up is complete.
(3) Start sampling emissions 10 minutes after reaching the speed and torque setpoints and continue emission sampling and engine operation at those setpoints. Stop emission sampling after 1200 seconds to complete the test interval.
(4) Linearly ramp the speed and torque setpoints over 5 seconds to start operating the engine in Mode 2. Sample emissions during Mode 2 as described in paragraph (b)(3) of this section.
(c) Verify that the test speed stays within ±50 r/min of the speed setpoint throughout the test. The torque tolerance is ±2 percent of the maximum mapped torque at the test speed. Verify that measured torque meets the torque tolerance relative to the torque setpoint throughout the test.
(d) Calculate the mean mass emission rate of NO X , m , over each test interval by calculating the total emission mass m NOx and dividing by the total time.
[88 FR 4487, Jan. 24, 2023; 89 FR 29748, Apr. 22, 2024]
§1036.530 Test procedures for off-cycle testing.
(a) General. This section describes the measurement and calculation procedures to perform field testing and determine whether tested engines and engine families meet emission standards under subpart E of this part. Calculate mass emission rates as specified in 40 CFR part 1065, subpart G. Use good engineering judgment to adapt these procedures for simulating vehicle operation in the laboratory.
(b) Vehicle preparation and measurement procedures. (1) Set up the vehicle for testing with a portable emissions measurement system (PEMS) as specified in 40 CFR part 1065, subpart J.
(2) Begin emission sampling and data collection as described in 40 CFR 1065.935(c)(3) before starting the engine at the beginning of the shift-day. Start the engine only after confirming that engine coolant temperature is at or below 40 °C.
(3) Measure emissions over one or more shift-days as specified in subpart E of this part.
(4) For engines subject to compression-ignition standards, record 1 Hz measurements of ambient temperature near the vehicle.
(c) Test Intervals. Determine the test intervals as follows:
(1) Spark-ignition. Create a single test interval that covers the entire shift-day for engines subject to spark-ignition standards. The test interval starts with the first pair of consecutive data points with no exclusions as described in paragraph (c)(3) of this section after the start of the shift-day and ends with the last pair of consecutive data points with no exclusions before the end of the shift day.
(2) Compression-ignition. Create a series of 300 second test intervals for engines subject to compression-ignition standards (moving-average windows) as follows:
(i) Begin and end each test interval with a pair of consecutive data points with no exclusions as described in paragraph (c)(3) of this section. Select the last data point of each test interval such that the test interval includes 300 seconds of data with no exclusions, as described in paragraph (d) of this section. The test interval may be a fraction of a second more or less than 300 seconds to account for the precision of the time stamp in recording 1 Hz data. A test interval may include up to 599 seconds of data with continuous exclusions; invalidate any test interval that includes at least 600 seconds of continuous sampling with excluded data.
(ii) The first 300 second test interval starts with the first pair of consecutive data points with no exclusions. Determine the start of each subsequent 300 second test interval by finding the first pair of consecutive data points with no exclusions after the initial data point of the previous test interval.
(iii) The last 300 second test interval ends with the last pair of consecutive data points with no exclusions before the end of the shift day.
(3) Excluded data. Exclude data from test intervals for any period meeting one or more of the following conditions:
(i) An analyzer or flow meter is performing zero and span drift checks or zero and span calibrations, including any time needed for the analyzer to stabilize afterward, consistent with good engineering judgment.
(ii) The engine is off, except as specified in §1036.415(g).
(iii) The engine is performing an infrequent regeneration. Do not exclude data related to any other AECDs, except as specified in paragraph (c)(3)(vi) of this section.
(iv) The recorded ambient air temperature is below 5 °C or above the temperature calculated using the following equation.

Where:
h = recorded elevation of the vehicle in feet above sea level (h is negative for elevations below sea level).
Example:
h = 2679 ft
Tmax = −0.0014·2679 + 37.78
Tmax = 34.0 °C
(v) The vehicle is operating at an elevation more than 5,500 feet above sea level.
(vi) An engine has one or more active AECDs for emergency vehicles under §1036.115(h)(4).
(vii) A single data point does not meet any of the conditions specified in paragraphs (c)(3)(i) through (vi) of this section, but it is preceded and followed by data points that both meet one or more of the specified exclusion conditions.
(d) Assembling test intervals. A test interval may include multiple subintervals separated by periods with one or more exclusions under paragraph (c)(3) of this section.
(1) Treat these test subintervals as continuous for calculating duration of the test interval for engines subject to compression-ignition standards.
(2) Calculate emission mass during each test subinterval and sum those subinterval emission masses to determine the emission mass over the test interval. Calculate emisson mass as described in 40 CFR 1065.650(c)(2)(i), with the following exceptions and clarifications:
(i) Correct NO X emissions for humidity as specified in 40 CFR 1065.670. Calculate corrections relative to ambient air humidity as measured by PEMS.
(ii) Disregard the provision in 40 CFR 1065.650(g) for setting negative emission mass to zero for test intervals and subintervals.
(iii) Calculation of emission mass in 40 CFR 1065.650 assumes a constant time interval, Δ t. If it is not appropriate to assume Δ t is constant for testing under this section, use good engineering judgment to record time at each data point and adjust the mass calculation from Eq. 1065.650-4 by treating Δ t as a variable.
(e) Normalized CO2emission mass over a 300 second test interval. For engines subject to compression-ignition standards, determine the normalized CO 2 emission mass over each 300 second test interval, mCO2,norm,testinterval , to the nearest 0.01% using the following equation:

Where:
mCO2,testinterval = total CO 2 emission mass over the test interval.
eCO2FTPFCL = the engine's FCL for CO 2 over the FTP duty cycle. If the engine family includes no FTP testing, use the engine's FCL for CO 2 over the SET duty cycle.
Pmax = the highest value of rated power for all the configurations included in the engine family.
ttestinterval = duration of the test interval. Note that the nominal value is 300 seconds.
Example:
mCO2,testinterval = 3948 g
eCO2FTPFCL = 428.2 g/hp·hr Pmax = 406.5 hp
ttestinterval = 300.01 s = 0.08 hr

mCO2,norm,testinterval = 0.2722 = 27.22%
(f) Binning 300 second test intervals. For engines subject to compression-ignition standards, identify the appropriate bin for each of the 300 second test intervals based on its normalized CO 2 emission mass, mCO2,norm,testinterval, as follows:
| Bin | Normalized CO 2 emission mass over the 300 second test interval |
|---|---|
| Bin 1 | mCO2,norm,testinterval ≤ 6.00%. |
| Bin 2 | mCO2,norm,testinterval > 6.00%. |
(g) Off-cycle emissions quantities. Determine the off-cycle emissions quantities as follows:
(1) Spark-ignition. For engines subject to spark-ignition standards, the off-cycle emission quantity, e[emission],offcycle, is the value for CO2 -specific emission mass for a given pollutant over the test interval representing the shift-day converted to a brake-specific value, as calculated for each measured pollutant using the following equation:

Eq. 1036.530-3
Where:
m[emission] = total emission mass for a given pollutant over the test interval as determined in paragraph (d)(2) of this section.
mCO2 = total CO2 emission mass over the test interval as determined in paragraph (d)(2) of this section.
eCO2FTPFCL = the engine's FCL for CO 2 over the FTP duty cycle.
Example:

(2) Compression-ignition. For engines subject to compression-ignition standards, determine the off-cycle emission quantity for each bin. When calculating mean bin emissions from ten engines to apply the pass criteria for engine families in §1036.425(c), set any negative off-cycle emissions quantity to zero before calculating mean bin emissions.
(i) Off-cycle emissions quantity for bin 1. The off-cycle emission quantity for bin 1, m NOx,offcycle,bin1 , is the mean NO X mass emission rate from all test intervals associated with bin 1 as calculated using the following equation:

Where:
i = an indexing variable that represents one 300 second test interval.
N = total number of 300 second test intervals in bin 1.
mNOtestinterval,i = total NO X emission mass over the test interval i in bin 1 as determined in paragraph (d)(2) of this section.
ttestinterval,i = total time of test interval i in bin 1 as determined in paragraph (d)(1) of this section. Note that the nominal value is 300 seconds.
Example:
N = 10114
mNO , testinterval,1 = 0.021 g
mNO , testinterval,2 = 0.025 g
mNO , testinterval,3 = 0.031 g
ttestinterval,1 = 299.99 s
ttestinterval,2 = 299.98 s
ttestinterval,3 = 300.04 s

m NOoffcycle,bin1, = 0.000285 g/s = 1.026 g/hr
(ii) Off-cycle emissions quantity for bin 2. The off-cycle emission quantity for bin 2, e[emission],offcycle,bin2, is the value for CO2 -specific emission mass for a given pollutant of all the 300 second test intervals in bin 2 combined and converted to a brake-specific value, as calculated for each measured pollutant using the following equation:

Eq. 1036.530-5
Where:
i = an indexing variable that represents one 300 second test interval.
N = total number of 300 second test intervals in bin 2.
m[emission],testinterval,i = total emission mass for a given pollutant over the test interval i in bin 2 as determined in paragraph (d)(2) of this section.
mCO2,testinterval,i = total CO2 emission mass over the test interval i in bin 2 as determined in paragraph (d)(2) of this section.
eCO2,FTP,FCL = the engine's FCL for CO2 over the FTP duty cycle.
Example:
N = 15439
mNOx1 = 0.546 g
mNOx2 = 0.549 g
mNOx3 = 0.556 g
mCO2,1 = 10950.2 g
mCO2,2 = 10961.3 g
mCO2,3 = 10965.3 g
eCO2,FTP,FCL = 428.1 g/hp·hr

(h) Shift-day ambient temperature. For engines subject to compression-ignition standards, determine the mean shift-day ambient temperature, T amb , considering only temperature readings corresponding to data with no exclusions under paragraph (c)(3) of this section.
(i) Graphical illustration. Figure 1 of this section illustrates a test interval with interruptions of one or more data points excluded under paragraph (c)(3) of this section. The x-axis is time and the y-axis is the mass emission rate at each data point, m (t) The data points coincident with any exclusion are illustrated with open circles. The shaded area corresponding to each group of closed circles represents the total emission mass over that test subinterval. Note that negative values of m (t) are retained and not set to zero in the numerical integration calculation. The first group of data points without any exclusions is referred to as the first test subinterval and so on.
Figure 1 to Paragraph (i) of §1036.530—Illustration of Integration of Mass of Emissions Over a Test Interval With Exclude Data Points

(j) Fuel other than carbon-containing. The following procedures apply for testing engines using at least one fuel that is not a carbon-containing fuel:
(1) Use the following equation to determine the normalized equivalent CO 2 emission mass over each 300 second test interval instead of Eq. 1036.530-2:

Eq. 1036.530-6
Where:
Wtestinterval = total positive work over the test interval from both the engine and hybrid components, if applicable, as determined in 40 CFR 1065.650.
Pmax = the highest value of rated power for all the configurations included in the engine family.
ttestinterval = duration of the test interval. Note that the nominal value is 300 seconds.
Example:
Wtestinterval = 8.95 hp·hr
Pmax = 406.5 hp
ttestinterval = 300.01 s = 0.08 hr

(2) Determine off-cycle emissions quantities as follows:
(i) For engines subject to spark-ignition standards, use the following equation to determine the off-cycle emission quantity instead of Eq. 1036.530-3:

Eq. 1036.530-7
Where:
m[emission] = total emission mass for a given pollutant over the test interval as determined in paragraph (d)(2) of this section.
Wtestinterval = total positive work over the test interval as determined in 40 CFR 1065.650.
Example:

(ii) For engines subject to compression-ignition standards, use Eq. 1036.530-4 to determine the off-cycle emission quantity for bin 1.
(iii) For engines subject to compression-ignition standards, use the following equation to determine the off-cycle emission quantity for bin 2 instead of Eq. 1036.530-5:

Eq. 1036.530-8
Where:
i = an indexing variable that represents one 300 second test interval.
N = total number of 300 second test intervals in bin 2.
m[emission],testinterval,i = total emission mass for a given pollutant over the test interval i in bin 2 as determined in paragraph (d)(2) of this section.
Wtestinterval,i = total positive work over the test interval i in bin 2 as determined in 40 CFR 1065.650.
Example:
N = 15439
mNOx1 = 0.546 g
mNOx2 = 0.549 g
mNOx3 = 0.556 g
Wtestinterval1 = 8.91 hp·hr
Wtestinterval2 = 8.94 hp·hr
Wtestinterval3 = 8.89 hp·hr

[88 FR 4487, Jan. 24, 2023; 89 FR 29748, Apr. 22, 2024]
§1036.535 Determining steady-state engine fuel maps and fuel consumption at idle.
The procedures in this section describe how to determine an engine's steady-state fuel map and fuel consumption at idle for model year 2021 and later vehicles; these procedures apply as described in §1036.505. Vehicle manufacturers may need these values to demonstrate compliance with emission standards under 40 CFR part 1037.
(a) General test provisions. Perform fuel mapping using the procedure described in paragraph (b) of this section to establish measured fuel-consumption rates at a range of engine speed and load settings. Measure fuel consumption at idle using the procedure described in paragraph (c) of this section. Paragraph (d) of this section describes how to apply the steady-state mapping from paragraph (b) of this section for the special case of cycle-average mapping for highway cruise cycles as described in §1036.540. Use these measured fuel-consumption values to declare fuel-consumption rates for certification as described in paragraph (g) of this section.
(1) Map the engine's torque curve and declare engine idle speed as described in §1036.505(c)(1) and (3). Perform emission measurements as described in 40 CFR 1065.501 and 1065.530 for discrete-mode steady-state testing. This section uses engine parameters and variables that are consistent with 40 CFR part 1065.
(2) Measure NO X emissions as described in paragraph (f) of this section. Include these measured NO X values any time you report to us your fuel consumption values from testing under this section.
(3) You may use shared data across engine configurations to the extent that the fuel-consumption rates remain valid.
(4) The provisions related to carbon balance error verification in §1036.543 apply for all testing in this section. These procedures are optional, but we will perform carbon balance error verification for all testing under this section.
(5) Correct fuel mass flow rate to a mass-specific net energy content of a reference fuel as described in paragraph (e) of this section.
(b) Steady-state fuel mapping. Determine steady-state fuel-consumption rates for each engine configuration over a series of paired engine speed and torque setpoints as described in this paragraph (b). For example, if you test a high-output (parent) configuration and create a different (child) configuration that uses the same fueling strategy but limits the engine operation to be a subset of that from the high-output configuration, you may use the fuel-consumption rates for the reduced number of mapped points for the low-output configuration, as long as the narrower map includes at least 70 points. Perform fuel mapping as follows:
(1) Generate the fuel-mapping sequence of engine speed and torque setpoints as follows:
(i) Select the following required speed setpoints: warm idle speed, fnidle the highest speed above maximum power at which 70% of maximum power occurs, nhi, and eight (or more) equally spaced points between fnidle and nhi. (See 40 CFR 1065.610(c)). For engines with adjustable warm idle speed, replace fnidle with minimum warm idle speed fnidlemin.
(ii) Select the following required torque setpoints at each of the selected speed setpoints: zero (T = 0), maximum mapped torque, Tmax mapped, and eight (or more) equally spaced points between T = 0 and Tmax mapped. Select the maximum torque setpoint at each speed to conform to the torque map as follows:
(A) Calculate 5 percent of Tmax mapped. Subtract this result from the mapped torque at each speed setpoint, Tmax.
(B) Select Tmax at each speed setpoint as a single torque value to represent all the required torque setpoints above the value determined in paragraph (b)(1)(ii)(A) of this section. All the other default torque setpoints less than Tmax at a given speed setpoint are required torque setpoints.
(iii) You may select any additional speed and torque setpoints consistent with good engineering judgment. For example, you may need to select additional points if the engine's fuel consumption is nonlinear across the torque map. Avoid creating a problem with interpolation between narrowly spaced speed and torque setpoints near Tmax. For each additional speed setpoint, we recommend including a torque setpoint of Tmax; however, you may select torque setpoints that properly represent in-use operation. Increments for torque setpoints between these minimum and maximum values at an additional speed setpoint must be no more than one-ninth of Tmax,mapped. Note that if the test points were added for the child rating, they should still be reported in the parent fuel map. We will test with at least as many points as you. If you add test points to meet testing requirements for child ratings, include those same test points as reported values for the parent fuel map. For our testing, we will use the same normalized speed and torque test points you use, and we may select additional test points.
(iv) Start fuel-map testing at the highest speed setpoint and highest torque setpoint, followed by decreasing torque setpoints at the highest speed setpoint. Continue testing at the next lowest speed setpoint and the highest torque setpoint at that speed setpoint, followed by decreasing torque setpoints at that speed setpoint. Follow this pattern through all the speed and torque points, ending with the lowest speed (fnidle or fnidlemin) and torque setpoint (T = 0). The following figure illustrates an array of test points and the corresponding run order.
Figure 1 to Paragraph (b)(1)(iv) of §1036.535—Illustration of Steady-State Fuel-Mapping Test Points and Run Order

(v) The highest torque setpoint for each speed setpoint is an optional reentry point to restart fuel mapping after an incomplete test run.
(vi) The lowest torque setpoint at each speed setpoint is an optional exit point to interrupt testing. Paragraph (b)(7) of this section describes how to interrupt testing at other times.
(2) If the engine's warm idle speed is adjustable, set it to its minimum value, fnidlemin.
(3) The measurement at each unique combination of speed and torque setpoints constitutes a test interval. Unless we specify otherwise, you may program the dynamometer to control either speed or torque for a given test interval, with operator demand controlling the other parameter. Control speed and torque so that all recorded speed points are within ±1% of nhi from the target speed and all recorded engine torque points are within ±5% of Tmax mapped from the target torque during each test interval, except as follows:
(i) For steady-state engine operating points that cannot be achieved, and the operator demand stabilizes at minimum; program the dynamometer to control torque and let the engine govern speed (see 40 CFR 1065.512(b)(1)). Control torque so that all recorded engine torque points are within ±25 N·m from the target torque. The specified speed tolerance does not apply for the test interval.
(ii) For steady-state engine operating points that cannot be achieved and the operator demand stabilizes at maximum and the speed setpoint is below 90% of nhi even with maximum operator demand, program the dynamometer to control speed and let the engine govern torque (see 40 CFR 1065.512(b)(2)). The specified torque tolerance does not apply for the test interval.
(iii) For steady-state engine operating points that cannot be achieved and the operator demand stabilizes at maximum and the speed setpoint is at or above 90% of nhi even with maximum operator demand, program the dynamometer to control torque and let the engine govern speed (see 40 CFR 1065.512(b)(1)). The specified speed tolerance does not apply for the test interval.
(iv) For the steady-state engine operating points at the minimum speed setpoint and maximum torque setpoint, you may program the dynamometer to control speed and let the engine govern torque. The specified torque tolerance does not apply for this test interval if operator demand stabilizes at its maximum or minimum limit.
(4) Record measurements using direct and/or indirect measurement of fuel flow as follows:
(i) Direct fuel-flow measurement. Record speed and torque and measure fuel consumption with a fuel flow meter for (30 ± 1) seconds. Determine the corresponding mean values for the test interval. Use of redundant direct fuel-flow measurements requires our advance approval.
(ii) Indirect fuel-flow measurement. Record speed and torque and measure emissions and other inputs needed to run the chemical balance in 40 CFR 1065.655(c) for (30 ± 1) seconds. Determine the corresponding mean values for the test interval. Use of redundant indirect fuel-flow measurements requires our advance approval. Measure background concentration as described in 40 CFR 1065.140, except that you may use one of the following methods to apply a single background reading to multiple test intervals:
(A) For batch sampling, you may sample periodically into the bag over the course of multiple test intervals and read them as allowed in paragraph (b)(7)(i) of this section. You must determine a single background reading for all affected test intervals if you use the method described in this paragraph (b)(4)(ii)(A).
(B) You may measure background concentration by sampling from the dilution air during the interruptions allowed in paragraph (b)(7)(i) of this section or at other times before or after test intervals. Measure background concentration within 30 minutes before the first test interval and within 30 minutes before each reentry point. Measure the corresponding background concentration within 30 minutes after each exit point and within 30 minutes after the final test interval. You may measure background concentration more frequently. Correct measured emissions for test intervals between a pair of background readings based on the average of those two values. Once the system stabilizes, collect a background sample over an averaging period of at least 30 seconds.
(5) Warm up the engine as described in 40 CFR 1065.510(b)(2). Within 60 seconds after concluding the warm-up, linearly ramp the speed and torque setpoints over 5 seconds to the starting test point from paragraph (b)(1) of this section.
(6) Stabilize the engine by operating at the specified speed and torque setpoints for (70 ± 1) seconds and then start the test interval. Record measurements during the test interval. Measure and report NO X emissions over each test interval as described in paragraph (f) of this section.
(7) After completing a test interval, linearly ramp the speed and torque setpoints over 5 seconds to the next test point.
(i) You may interrupt the fuel-mapping sequence before a reentry point as noted in paragraphs (b)(1)(v) and (vi) of this section. If you zero and span analyzers, read and evacuate background bag samples, or sample dilution air for a background reading during the interruption, the maximum time to stabilize in paragraph (b)(6) of this section does not apply. If you shut off the engine, restart with engine warm-up as described in paragraph (b)(5) of this section.
(ii) You may interrupt the fuel-mapping sequence at a given speed setpoint before completing measurements at that speed. If this happens, you may measure background concentration and take other action as needed to validate test intervals you completed before the most recent reentry point. Void all test intervals after the last reentry point. Restart testing at the appropriate reentry point in the same way that you would start a new test. Operate the engine long enough to stabilize aftertreatment thermal conditions, even if it takes more than 70 seconds. In the case of an infrequent regenerationevent, interrupt the fuel-mapping sequence and allow the regeneration event to finish with the engine operating at a speed and load that allows effective regeneration.
(iii) If you void any one test interval, all the testing at that speed setpoint is also void. Restart testing by repeating the fuel-mapping sequence as described in this paragraph (b); include all voided speed setpoints and omit testing at speed setpoints that already have a full set of valid results.
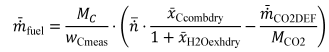
(8) If you determine fuel-consumption rates using emission measurements from the raw or diluted exhaust, calculate the mean fuel mass flow rate, m fuel, for each point in the fuel map using the following equation:

Where:
m fuel = mean fuel mass flow rate for a given fuel map setpoint, expressed to at least the nearest 0.001 g/s.
WCmeas = carbon mass fraction of fuel (or mixture of test fuels) as determined in 40 CFR 1065.655(d), except that you may not use the default properties in 40 CFR 1065.655(e)(5) to determine α, β, and wC . You may not account for the contribution to α, β, γ,and δ of diesel exhaust fluid or other non-fuel fluids injected into the exhaust.
n = the mean exhaust molar flow rate from which you measured emissions according to 40 CFR 1065.655.
x Ccombdry = the mean concentration of carbon from fuel and any injected fluids in the exhaust per mole of dry exhaust as determined in 40 CFR 1065.655(c).
x H2Oexhdry = the mean concentration of H 2 O in exhaust per mole of dry exhaust as determined in 40 CFR 1065.655(c).
m CO2DEF = the mean CO 2 mass emission rate resulting from diesel exhaust fluid decomposition as determined in paragraph (b)(9) of this section. If your engine does not use diesel exhaust fluid, or if you choose not to perform this correction, set m CO2DEF equal to 0.
MCO2 = molar mass of carbon dioxide.
Example:

(9) If you determine fuel-consumption rates using emission measurements with engines that utilize diesel exhaust fluid for NO X control and you correct for the mean CO 2 mass emission rate resulting from diesel exhaust fluid decomposition as described in paragraph (b)(8) of this section, perform this correction at each fuel map setpoint using the following equation:

Where:
m DEF = the mean mass flow rate of injected urea solution diesel exhaust fluid for a given sampling period, determined directly from the ECM, or measured separately, consistent with good engineering judgment.
MCO2 = molar mass of carbon dioxide.
wCH4N2O = mass fraction of urea in diesel exhaust fluid aqueous solution. Note that the subscript “CH4N2O” refers to urea as a pure compound and the subscript “DEF” refers to the aqueous urea diesel exhaust fluid as a solution of urea in water. You may use a default value of 32.5% or use good engineering judgment to determine this value based on measurement.
MCH4N2O = molar mass of urea.
Example:
m DEF = 0.304 g/s
MCO2 = 44.0095 g/mol
wCH4N2O = 32.5% = 0.325
MCH4N2O = 60.05526 g/mol

m CO2DEF = 0.0726 g/s
(10) Correct the measured or calculated mean fuel mass flow rate, at each of the operating points to account for mass-specific net energy content as described in paragraph (e) of this section.
(c) Fuel consumption at idle. Determine fuel-consumption rates at idle for each engine configuration that is certified for installation in vocational vehicles. Determine fuel-consumption rates at idle by testing engines over a series of paired engine speed and torque setpoints as described in this paragraph (c). Perform measurements as follows:
(1) The idle test sequence consists of measuring fuel consumption at four test points representing each combination of the following speed and torque setpoints in any order.
(i) Speed setpoints for engines with adjustable warm idle speed are minimum warm idle speed, fnidlemin , and maximum warm idle speed, fnidlemax . Speed setpoints for engines with no adjustable warm idle speed (with zero torque on the primary output shaft) are fnidle and 1.15 times fnidle .
(ii) Torque setpoints are 0 and 100 N·m.
(2) Control speed and torque as follows:
(i) Adjustable warm idle speed. Set the engine's warm idle speed to the next speed setpoint any time before the engine reaches the next test point. Control both speed and torque when the engine is warming up and when it is transitioning to the next test point. Start to control both speed and torque. At any time prior to reaching the next engine-idle operating point, set the engine's adjustable warm idle speed setpoint to the speed setpoint of the next engine-idle operating point in the sequence. This may be done before or during the warm-up or during the transition. Near the end of the transition period control speed and torque as described in paragraph (b)(3)(i) of this section shortly before reaching each test point. Once the engine is operating at the desired speed and torque setpoints, set the operator demand to minimum; control torque so that all recorded engine torque points are within ±25 N·m from the target torque.
(ii) Nonadjustable warm idle speed. For the lowest speed setpoint, control speed and torque as described in paragraph (c)(2)(i) of this section, except for adjusting the warm idle speed. For the second-lowest speed setpoint, control speed and torque so that all recorded speed points are within ±1% of nhi from the target speed and engine torque within ±5% of Tmax mapped from the target torque.
(3) Record measurements using direct and/or indirect measurement of fuel flow as follows:
(i) Direct fuel flow measurement. Record speed and torque and measure fuel consumption with a fuel flow meter for (600 ±1) seconds. Determine the corresponding mean values for the test interval. Use of redundant direct fuel-flow measurements require prior EPA approval.
(ii) Indirect fuel flow measurement. Record speed and torque and measure emissions and other inputs needed to run the chemical balance in 40 CFR 1065.655(c) for (600 ±1) seconds. Determine the corresponding mean values for the test interval. Use of redundant indirect fuel-flow measurements require prior EPA approval. Measure background concentration as described in paragraph (b)(4)(ii) of this section. We recommend setting the CVS flow rate as low as possible to minimize background, but without introducing errors related to insufficient mixing or other operational considerations. Note that for this testing 40 CFR 1065.140(e) does not apply, including the minimum dilution ratio of 2:1 in the primary dilution stage.
(4) Warm up the engine as described in 40 CFR 1065.510(b)(2). Within 60 seconds after concluding the warm-up, linearly ramp the speed and torque over 20 seconds to the first speed and torque setpoint.
(5) The measurement at each unique combination of speed and torque setpoints constitutes a test interval. Operate the engine at the selected speed and torque set points for (180 ±1) seconds, and then start the test interval. Record measurements during the test interval. Measure and report NO X emissions over each test interval as described in paragraph (f) of this section.
(6) After completing each test interval, repeat the steps in paragraphs (c)(4) and (5) of this section for all the remaining engine-idle test points.
(7) Each test point represents a stand-alone measurement. You may therefore take any appropriate steps between test intervals to process collected data and to prepare engines and equipment for further testing. Note that the allowances for combining background in paragraph (b)(4)(ii)(B) of this section do not apply. If an infrequent regeneration event occurs, allow the regeneration event to finish; void the test interval if the regeneration starts during a measurement.
(8) Correct the measured or calculated mean fuel mass flow rate, at each of the engine-idle operating points to account for mass-specific net energy content as described in paragraph (e) of this section.
(d) Steady-state fuel maps used for cycle-average fuel mapping of the highway cruise cycles. Determine steady-state fuel-consumption rates for each engine configuration over a series of paired engine speed and torque setpoints near idle as described in this paragraph (d). Perform fuel mapping as described in paragraph (b) of this section with the following exceptions:
(1) Select speed setpoints to cover a range of values to represent in-use operation at idle. Speed setpoints for engines with adjustable warm idle speed must include at least minimum warm idle speed, fnidlemin , and a speed at or above maximum warm idle speed, fnidlemax. Speed setpoints for engines with no adjustable idle speed must include at least warm idle speed (with zero torque on the primary output shaft), fnidle, and a speed at or above 1.15 · fnidle.
(2) Select the following torque setpoints at each speed setpoint to cover a range of values to represent in-use operation at idle:
(i) The minimum torque setpoint is zero.
(ii) Choose a maximum torque setpoint that is at least as large as the value determined by the following equation:

Where:
Tfnstall = the maximum engine torque at fnstall.
fnidle = for engines with an adjustable warm idle speed, use the maximum warm idle speed, fnidlemax. For engines without an adjustable warm idle speed, use warm idle speed, fnidle.
fnstall = the stall speed of the torque converter; use fntest or 2250 r/min, whichever is lower.
Pacc = accessory power for the vehicle class; use 1500 W for Vocational Light HDV, 2500 W for Vocational Medium HDV, and 3500 W for Tractors and Vocational Heavy HDV. If your engine is going to be installed in multiple vehicle classes, perform the test with the accessory power for the largest vehicle class the engine will be installed in.
Example:
Tfnstall = 1870 N·m
fntest = 1740.8 r/min = 182.30 rad/s
fnstall = 1740.8 r/min = 182.30 rad/s
fnidle = 700 r/min = 73.30 rad/s
Pacc = 1500 W

Tidlemaxest = 355.07 N·m
(iii) Select one or more equally spaced intermediate torque setpoints, as needed, such that the increment between torque setpoints is no greater than one-ninth of Tmax,mapped .
(e) Correction for net energy content. Correct the measured or calculated mean fuel mass flow rate, m fuel, for each test interval to a mass-specific net energy content of a reference fuel using the following equation:

Eq. 1036.535-4
Where:
Emfuelmeas = the mass-specific net energy content of the test fuel as determined in §1036.550(b)(1). Note that dividing this value by wCref (as is done in this equation) equates to a carbon-specific net energy content having the same units as EmfuelCref.
EmfuelCref = the reference value of carbon-mass-specific net energy content for the appropriate fuel. Use the values shown in table 1 to paragraph (b)(4) of §1036.550 for the designated fuel types, or values we approve for other fuel types.
WCref = the reference value of carbon mass fraction for the test fuel as shown in table 1 to paragraph (b)(4) of §1036.550 for the designated fuels. For any fuel not identified in the table, use the reference carbon mass fraction of diesel fuel for engines subject to compression-ignition standards, and use the reference carbon mass fraction of gasoline for engines subject to spark-ignition standards.
Example:
= 0.933 g/s

(f) Measuring NO emissions. Measure NO X emissions for each sampling period in g/s. You may perform these measurements using a NO X emission-measurement system that meets the requirements of 40 CFR part 1065, subpart J. If a system malfunction prevents you from measuring NO X emissions during a test under this section but the test otherwise gives valid results, you may consider this a valid test and omit the NO X emission measurements; however, we may require you to repeat the test if we determine that you inappropriately voided the test with respect to NO X emission measurement.
(g) Measured vs. declared fuel consumption. Determine declared fuel consumption as follows:
(1) Select fuel consumption rates in g/s to characterize the engine's fuel maps. You must select a declared value for each test point that is at or above the corresponding value determined in paragraphs (b) through (d) of this section, including those from redundant measurements.
(2) Declared fuel consumption serves as emission standards under §1036.108. These are the values that vehicle manufacturers will use for certification under 40 CFR part 1037. Note that production engines are subject to GEM cycle-weighted limits as described in §1036.301.
(3) If you perform the carbon balance error verification, select declared values that are at or above the following emission measurements:
(i) If you pass the rC verification, you may use the average of the values from direct and indirect fuel measurements.
(ii) If you fail rC verification, but pass either the aC or aCrate verification, use the value from indirect fuel measurement.
(iii) If you fail all three verifications, you must either void the test interval or use the highest value from direct and indirect fuel measurements. Note that we will consider our test results to be invalid if we fail all three verifications.
[88 FR 4487, Jan. 24, 2023; 89 FR 29750, Apr. 22, 2024]
§1036.540 Determining cycle-average engine fuel maps.
(a) Overview. This section describes how to determine an engine's cycle-average fuel maps for model year 2021 and later vehicles. Vehicle manufacturers may need cycle-average fuel maps for transient duty cycles, highway cruise cycles, or both to demonstrate compliance with emission standards under 40 CFR part 1037. Generate cycle-average engine fuel maps as follows:
(1) Determine the engine's torque maps as described in §1036.505(c).
(2) Determine the engine's steady-state fuel map and fuel consumption at idle as described in §1036.535. If you are applying cycle-average fuel mapping for highway cruise cycles, you may instead use GEM's default fuel map instead of generating the steady-state fuel map in §1036.535(b).
(3) Simulate several different vehicle configurations using GEM (see 40 CFR 1037.520) to create new engine duty cycles as described in paragraph (c) of this section. The transient vehicle duty cycles for this simulation are in 40 CFR part 1037, appendix A; the highway cruise cycles with grade are in 40 CFR part 1037, appendix D. Note that GEM simulation relies on vehicle service classes as described in 40 CFR 1037.140.
(4) Test the engines using the new duty cycles to determine fuel consumption, cycle work, and average vehicle speed as described in paragraph (d) of this section and establish GEM inputs for those parameters for further vehicle simulations as described in paragraph (e) of this section.
(b) General test provisions. The following provisions apply for testing under this section:
(1) Measure NO X emissions for each specified sampling period in grams. You may perform these measurements using a NO X emission-measurement system that meets the requirements of 40 CFR part 1065, subpart J. Include these measured NO X values any time you report to us your fuel-consumption values from testing under this section. If a system malfunction prevents you from measuring NO X emissions during a test under this section but the test otherwise gives valid results, you may consider this a valid test and omit the NO X emission measurements; however, we may require you to repeat the test if we determine that you inappropriately voided the test with respect to NO X emission measurement.
(2) The provisions related to carbon balance error verification in §1036.543 apply for all testing in this section. These procedures are optional, but we will perform carbon balance error verification for all testing under this section.
(3) Correct fuel mass to a mass-specific net energy content of a reference fuel as described in paragraph (d)(13) of this section.
(4) This section uses engine parameters and variables that are consistent with 40 CFR part 1065.
(c) Create engine duty cycles. Use GEM to simulate your engine operation with several different vehicle configurations to create transient and highway cruise engine duty cycles corresponding to each vehicle configuration as follows:
(1) Set up GEM to simulate your engine's operation based on your engine's torque maps, steady-state fuel maps, warm-idle speed as defined in 40 CFR 1037.520(h)(1), and fuel consumption at idle as described in paragraphs (a)(1) and (2) of this section.
(2) Set up GEM with transmission parameters for different vehicle service classes and vehicle duty cycles. Specify the transmission's torque limit for each gear as the engine's maximum torque as determined in 40 CFR 1065.510. Specify the transmission type as Automatic Transmission for all engines and for all engine and vehicle duty cycles, except that the transmission type is Automated Manual Transmission for Heavy HDE operating over the highway cruise cycles or the SET duty cycle. For automatic transmissions set neutral idle to “Y” in the vehicle file. Select gear ratios for each gear as shown in the following table:
| Gear No. | Spark-ignition HDE, light HDE, and medium HDE— all duty cycles | Heavy HDE— transient and ftp duty cycles | Heavy HDE— cruise and set duty cycles |
|---|---|---|---|
| 1 | 3.10 | 3.51 | 12.8 |
| 2 | 1.81 | 1.91 | 9.25 |
| 3 | 1.41 | 1.43 | 6.76 |
| 4 | 1.00 | 1.00 | 4.90 |
| 5 | 0.71 | 0.74 | 3.58 |
| 6 | 0.61 | 0.64 | 2.61 |
| 7 | — | — | 1.89 |
| 8 | — | — | 1.38 |
| 9 | — | — | 1.00 |
| 10 | — | — | 0.73 |
| Lockup Gear | 3 | 3 | — |
(3) Run GEM for each simulated vehicle configuration and use the GEM outputs of instantaneous engine speed and engine flywheel torque for each vehicle configuration to generate a 10 Hz transient duty cycle corresponding to each vehicle configuration operating over each vehicle duty cycle. Run GEM for the specified number of vehicle configurations. You may run additional vehicle configurations to represent a wider range of in-use vehicles. Run GEM as follows:
(i) Determining axle ratio and tire size. Set the axle ratio, ka, and tire size,

for each vehicle configuration based on the corresponding designated engine speed (fnrefA, fnrefB, fnrefC, fnrefD, or fntest as defined in 40 CFR 1065.610(c)(2)) at 65 mi/hr for the transient duty cycle and for the 65 mi/hr highway cruise cycle. Similarly, set these parameters based on the corresponding designated engine speed at 55 mi/hr for the 55 mi/hr highway cruise cycle. Use one of the following equations to determine

and ka at each of the defined engine speeds:

Where:
fn[speed] = engine's angular speed as determined in paragraph (c)(3)(ii) or (iii) of this section.
ktopgear = transmission gear ratio in the highest available gear from Table 1 of this section.
vref = reference speed. Use 65 mi/hr for the transient cycle and the 65 mi/hr highway cruise cycle and use 55 mi/hr for the 55 mi/hr highway cruise cycle.

Example for a vocational Light HDV or vocational Medium HDV with a 6-speed automatic transmission at B speed (Test 3 or 4 in Table 3 of this section):
fnrefB = 1870 r/min = 31.17 r/s
kaB = 4.0
ktopgear = 0.61
vref = 65 mi/hr = 29.06 m/s

(ii) Vehicle configurations for Spark-ignition HDE, Light HDE, and Medium HDE. Test at least eight different vehicle configurations for engines that will be installed in vocational Light HDV or vocational Medium HDV using vehicles in the following table:

(iii) Vehicle configurations for Heavy HDE. Test at least nine different vehicle configurations for engines that will be installed in vocational Heavy HDV and for tractors that are not heavy-haul tractors. Test six different vehicle configurations for engines that will be installed in heavy-haul tractors. Use the settings specific to each vehicle configuration as shown in Table 3 or Table 4 in this section, as appropriate. Engines subject to testing under both Table 3 and Table 4 in this section need not repeat overlapping vehicle configurations, so complete fuel mapping requires testing 12 (not 15) vehicle configurations for those engines. However, the preceding sentence does not apply if you choose to create two separate maps from the vehicle configurations defined in Table 3 and Table 4 in this section. Tables 3 and 4 follow:

(iv) Vehicle configurations for mixed-use engines. If the engine will be installed in a combination of vehicles defined in paragraphs (c)(3)(ii) and (iii) of this section, use good engineering judgment to select at least nine vehicle configurations from Table 2 and Table 3 in this section that best represent the range of vehicles your engine will be sold in. This may require you to define additional representative vehicle configurations. For example, if your engines will be installed in vocational Medium HDV and vocational Heavy HDV, you might select Tests 2, 4, 6 and 8 of Table 2 in this section to represent vocational Medium HDV and Tests 3, 6, and 9 of Table 3 in this section to represent vocational Heavy HDV and add two more vehicle configurations that you define.
(v) Defining GEM inputs. Use the defined values in Tables 1 through 4 in this section to set up GEM with the correct regulatory subcategory and vehicle weight reduction.
(d) Test the engine with GEM cycles. Test the engine over each of the engine duty cycles generated in paragraph (c) of this section as follows:
(1) Operate the engine over a sequence of required and optional engine duty cycles as follows:
(i) Sort the list of engine duty cycles into three separate groups by vehicle duty cycle: transient vehicle cycle, 55 mi/hr highway cruise cycle, and 65 mi/hr highway cruise cycle.
(ii) Within each group of engine duty cycles derived from the same vehicle duty cycle, first run the engine duty cycle with the highest reference cycle work, followed by the cycle with the lowest cycle work; followed by the cycle with second-highest cycle work, followed by the cycle with the second-lowest cycle work; continuing through all the cycles for that vehicle duty cycle. The series of engine duty cycles to represent a single vehicle duty cycle is a single fuel-mapping sequence. Each engine duty cycle represents a different interval. Repeat the fuel-mapping sequence for the engine duty cycles derived from the other vehicle duty cycles until testing is complete.
(iii) Operate the engine over two full engine duty cycles to precondition before each interval in the fuel-mapping sequence. Precondition the engine before the first and second engine duty cycle in each fuel-mapping sequence by repeating operation with the engine duty cycle with the highest reference cycle work over the relevant vehicle duty cycle. The preconditioning for the remaining cycles in the fuel-mapping sequence consists of operation over the preceding two engine duty cycles in the fuel-mapping sequence (with or without measurement). For transient vehicle duty cycles, start each engine duty cycle within 10 seconds after finishing the preceding engine duty cycle (with or without measurement). For highway cruise cycles, start each engine duty cycle and interval after linearly ramping to the speed and torque setpoints over 5 seconds and stabilizing for 15 seconds.
(2) If the engine has an adjustable warm idle speed setpoint, set it to the value defined in 40 CFR 1037.520(h)(1).
(3) Control speed and torque to meet the cycle validation criteria in 40 CFR 1065.514 for each interval, except that the standard error of the estimate in 40 CFR 1065.514(f)(3) is the only speed criterion that applies if the range of reference speeds is less than 10 percent of the mean reference speed. For spark-ignition gaseous-fueled engines with fuel delivery at a single point in the intake manifold, you may apply the alternative cycle-validation criteria in table 5 to this paragraph (c)(3) for transient testing. Note that 40 CFR part 1065 does not allow reducing cycle precision to a lower frequency than the 10 Hz reference cycle generated by GEM.
| Parameter | Speed | Torque | Power |
|---|---|---|---|
| Slope, a1 | |||
| Absolute value of intercept, | a0 | | ≤3% of maximum mapped torque | ||
| Standard error of the estimate, SEE | ≤15% of maximum mapped torque | ≤15% of maximum mapped power. | |
| Coefficient of determination, r2 | ≥0.700 | ≥0.750. | |
| a Cycle-validation criteria apply as specified in 40 CFR 1065.514 unless otherwise specified. | |||
(4) Record measurements using direct and/or indirect measurement of fuel flow as follows:
(i) Direct fuel-flow measurement. Record speed and torque and measure fuel consumption with a fuel flow meter for the interval defined by the engine duty cycle. Determine the corresponding mean values for the interval. Use of redundant direct fuel-flow measurements requires our advance approval.
(ii) Indirect fuel-flow measurement. Record speed and torque and measure emissions and other inputs needed to run the chemical balance in 40 CFR 1065.655(c) for the interval defined by the engine duty cycle. Determine the corresponding mean values for the interval. Use of redundant indirect fuel-flow measurements requires our advance approval. Measure background concentration as described in 40 CFR 1065.140, except that you may use one of the following methods to apply a single background reading to multiple intervals:
(A) If you use batch sampling to measure background emissions, you may sample periodically into the bag over the course of multiple intervals. If you use this provision, you must apply the same background readings to correct emissions from each of the applicable intervals.
(B) You may determine background emissions by sampling from the dilution air over multiple engine duty cycles. If you use this provision, you must allow sufficient time for stabilization of the background measurement; followed by an averaging period of at least 30 seconds. Use the average of the two background readings to correct the measurement from each engine duty cycle. The first background reading must be taken no greater than 30 minutes before the start of the first applicable engine duty cycle and the second background reading must be taken no later than 30 minutes after the end of the last applicable engine duty cycle. Background readings may not span more than a full fuel-mapping sequence for a vehicle duty cycle.
(5) Warm up the engine as described in 40 CFR 1065.510(b)(2). Within 60 seconds after concluding the warm-up, start the linear ramp of speed and torque over 20 seconds to the first speed and torque setpoint of the preconditioning cycle.
(6) Precondition the engine before the start of testing as described in paragraph (d)(1)(iii) of this section.
(7) Operate the engine over the first engine duty cycle. Record measurements during the interval. Measure and report NO X emissions over each interval as described in paragraph (b)(2) of this section.
(8) Continue testing engine duty cycles that are derived from the other vehicle duty cycles until testing is complete.
(9) You may interrupt the fuel-mapping sequence after completing any interval. You may calibrate analyzers, read and evacuate background bag samples, or sample dilution air for measuring background concentration before restarting. Shut down the engine during any interruption. If you restart the sequence within 30 minutes or less, restart the sequence at paragraph (d)(6) of this section and then restart testing at the next interval in the fuel-mapping sequence. If you restart the sequence after more than 30 minutes, restart the sequence at paragraph (d)(5) of this section and then restart testing at the next interval in the fuel-mapping sequence.
(10) The following provisions apply for infrequent regeneration events, other interruptions during intervals, and otherwise voided intervals:
(i) Stop testing if an infrequent regeneration event occurs during an interval or an interval is interrupted for any other reason. Void the interrupted interval and any additional intervals for which you are not able to meet requirements for measuring background concentration. If the infrequent regeneration event occurs between intervals, void completed intervals only if you are not able to meet requirements for measuring background concentration for those intervals.
(ii) If an infrequent regeneration event occurs, allow the regeneration event to finish with the engine operating at a speed and load that allows effective regeneration.
(iii) If you interrupt testing during an interval, if you restart the sequence within 30 minutes or less, restart the sequence at paragraph (d)(6) of this section and then restart testing at the next interval in the fuel-mapping sequence. If you restart the sequence after more than 30 minutes, restart the sequence at paragraph (d)(5) of this section and then restart testing at the next interval in the fuel-mapping sequence.
(iv) If you void one or more intervals, you must perform additional testing to get results for all intervals. You may rerun a complete fuel-mapping sequence or any contiguous part of the fuel-mapping sequence. If you get a second valid measurement for any interval, use only the result from the last valid interval. If you restart the sequence within 30 minutes or less, restart the sequence at paragraph (d)(6) of this section and then restart testing at the first selected interval in the fuel-mapping sequence. If you restart the sequence after more than 30 minutes, restart the sequence at paragraph (d)(5) of this section and then restart testing at the first selected interval in the fuel-mapping sequence. Continue testing until you have valid results for all intervals. The following examples illustrate possible scenarios for a partial run through a fuel-mapping sequence:
(A) If you voided only the interval associated with the fourth engine duty cycle in the sequence, you may restart the sequence using the second and third engine duty cycles as the preconditioning cycles and stop after completing the interval associated with the fourth engine duty cycle.
(B) If you voided the intervals associated with the fourth and sixth engine duty cycles, you may restart the sequence using the second and third engine duty cycles for preconditioning and stop after completing the interval associated with the sixth engine duty cycle.
(11) You may send signals to the engine controller during the test, such as current transmission gear and vehicle speed, if that allows engine operation to better represent in-use operation.
(12) Calculate the fuel mass, mfuel, for each duty cycle using one of the following equations:
(i) Determine fuel-consumption using emission measurements from the raw or diluted exhaust. Calculate the mass of fuel for each duty cycle, mfuel[cycle], as follows:
(A) For calculations that use continuous measurement of emissions and continuous CO 2 from urea, calculate mfuel[cycle] using the following equation:

Eq. 1036.540-3
Where:
MC = molar mass of carbon.
wCmeas = carbon mass fraction of fuel (or mixture of fuels) as determined in 40 CFR 1065.655(d), except that you may not use the default properties in 40 CFR 1065.655(e)(5) to determine α, β, and wC. You may not account for the contribution to α, β, γ, and δ of diesel exhaust fluid or other non-fuel fluids injected into the exhaust.
i = an indexing variable that represents one recorded emission value.
N = total number of measurements over the duty cycle.
n = exhaust molar flow rate from which you measured emissions according to 40 CFR 1065.655.
xCcombdry = amount of carbon from fuel and any injected fluids in the exhaust per mole of dry exhaust as determined in 40 CFR 1065.655(c).
xH2Oexhdry = amount of H 2 O in exhaust per mole of exhaust as determined in 40 CFR 1065.655(c).
Δ t = 1/ frecord
MCO2 = molar mass of carbon dioxide.
mCO2DEF = mass emission rate of CO 2 resulting from diesel exhaust fluid decomposition over the duty cycle as determined from §1036.535(b)(9). If your engine does not utilize diesel exhaust fluid for emission control, or if you choose not to perform this correction, set mCO2DEF equal to 0.
Example:
MC = 12.0107 g/mol
wCmeas = 0.867
N = 6680
n1 = 2.876 mol/s
n2 = 2.224 mol/s
xCcombdryi 1 = 2.61·10 −3 mol/mol
xCcombdryi 2 = 1.91·10 −3 mol/mol
xH2Oexh1 = 3.53·10 −2 mol/mol
xH2Oexh2 = 3.13·10 −2 mol/mol
frecord = 10 Hz
Δ t = 1/10 = 0.1 s
MCO2 = 44.0095 g/mol
mCO2DEF1 = 0.0726 g/s
mCO2DEF2 = 0.0751 g/s

(B) If you measure batch emissions and continuous CO 2 from urea, calculate mfuel[cycle] using the following equation:

(C) If you measure continuous emissions and batch CO 2 from urea, calculate mfuel[cycle] using the following equation:

(D) If you measure batch emissions and batch CO 2 from urea, calculate mfuel[cycle] using the following equation:

(ii) Manufacturers may choose to measure fuel mass flow rate. Calculate the mass of fuel for each duty cycle, mfuel[cycle], as follows:

Where:
i = an indexing variable that represents one recorded value.
N = total number of measurements over the duty cycle. For batch fuel mass measurements, set N = 1.
m fuel = the fuel mass flow rate, for each point, i, starting from i = 1.
Δ t = 1/ ƒrecord
ƒrecord = the data recording frequency.
Example:
N = 6680
m fuel1 = 1.856 g/s
m fuel2 = 1.962 g/s
ƒrecord = 10 Hz
Δ t = 1/10 = 0.1 s
mfueltransient = (1.856 + 1.962+ . . . + m fuel6680) · 0.1
mfueltransient = 111.95 g
(13) Correct the measured or calculated fuel mass, mfuel, for each result to a mass-specific net energy content of a reference fuel as described in §1036.535(e), replacing mfuel with mfuel in Eq. 1036.535-4.
(e) Determine GEM inputs. Use the results of engine testing in paragraph (d) of this section to determine the GEM inputs for the transient duty cycle and optionally for each of the highway cruise cycles corresponding to each simulated vehicle configuration as follows:
(1) Using the calculated fuel mass consumption values, mfuel[cycle], described in paragraph (d) of this section, declare values using the methods described in §1036.535(g)(2) and (3).
(2) We will determine mfuel[cycle] values using the method described in §1036.535(g)(3).
(3) For the transient cycle, calculate engine output speed per unit vehicle speed,

by taking the average engine speed measured during the engine test while the vehicle is moving and dividing it by the average vehicle speed provided by GEM. Note that the engine cycle created by GEM has a flag to indicate when the vehicle is moving.
(4) Determine engine idle speed and torque, by taking the average engine speed and torque measured during the engine test while the vehicle is not moving. Note that the engine cycle created by GEM has a flag to indicate when the vehicle is moving.
(5) For the cruise cycles, calculate the average engine output speed, f nengine, and the average engine output torque (positive torque only), T engine, while the vehicle is moving. Note that the engine cycle created by GEM has a flag to indicate when the vehicle is moving.
(6) Determine positive work according to 40 CFR part 1065, W[cycle], by using the engine speed and engine torque measured during the engine test while the vehicle is moving. Note that the engine cycle created by GEM has a flag to indicate when the vehicle is moving.
(7) The following tables illustrate the GEM data inputs corresponding to the different vehicle configurations for a given duty cycle:
(i) For the transient cycle:

(ii) For the cruise cycles:
| Parameter | Configuration | |||||
| 1 | 2 | 3 | 4 | . . . | n | |
| mfuel[cycle] | ||||||
| f nengine[cycle] | ||||||
| T engine[cycle] | ||||||
| W[cycle] | ||||||
[88 FR 4487, Jan. 24, 2023; 89 FR 29751, Apr. 22, 2024]
§1036.543 Carbon balance error verification.
The optional carbon balance error verification in 40 CFR 1065.543 compares independent assessments of the flow of carbon through the system (engine plus aftertreatment). This procedure applies for each individual interval in §§1036.535(b), (c), and (d), 1036.540, and 1036.545.
[88 FR 4487, Jan. 24, 2023; 89 FR 29752, Apr. 22, 2024]
§1036.545 Powertrain testing.
This section describes the procedure to measure fuel consumption and create engine fuel maps by testing a powertrain that includes an engine coupled with a transmission, drive axle, and hybrid components or any assembly with one or more of those hardware elements. Engine fuel maps are part of demonstrating compliance with Phase 2 and Phase 3 vehicle standards under 40 CFR part 1037; the powertrain test procedure in this section is one option for generating this fuel-mapping information as described in §1036.505. Additionally, this powertrain test procedure is one option for certifying hybrid powertrains to the engine standards in §§1036.104 and 1036.108.
(a) General test provisions. The following provisions apply broadly for testing under this section:
(1) Measure NO X emissions as described in paragraph (k) of this section. Include these measured NO X values any time you report to us your greenhouse gas emissions or fuel consumption values from testing under this section.
(2) The procedures of 40 CFR part 1065 apply for testing in this section except as specified. This section uses engine parameters and variables that are consistent with 40 CFR part 1065.
(3) Powertrain testing depends on models to calculate certain parameters. You can use the detailed equations in this section to create your own models, or use the GEM HIL model contained within GEM Phase 2, Version 4.0 (incorporated by reference, see §1036.810) to simulate vehicle hardware elements as follows:
(i) Create driveline and vehicle models that calculate the angular speed setpoint for the test cell dynamometer, f nref,dyno, based on the torque measurement location. Use the detailed equations in paragraph (f) of this section, the GEM HIL model's driveline and vehicle submodels, or a combination of the equations and the submodels. You may use the GEM HIL model's transmission submodel in paragraph (f) to simulate a transmission only if testing hybrid engines. If the engine is intended for vehicles with automatic transmissions, use the cycle configuration file in GEM to change the transmission state (in-gear or idle) as a function of time as defined by the duty cycles in this part.
(ii) Create a driver model or use the GEM HIL model's driver submodel to simulate a human driver modulating the throttle and brake pedals to follow the test cycle as closely as possible.
(iii) Create a cycle-interpolation model or use the GEM HIL model's cycle submodel to interpolate the duty-cycles and feed the driver model the duty-cycle reference vehicle speed for each point in the duty-cycle.
(4) The powertrain test procedure in this section is designed to simulate operation of different vehicle configurations over specific duty cycles. See paragraphs (h) and (j) of this section.
(5) For each test run, record engine speed and torque as defined in 40 CFR 1065.915(d)(5) with a minimum sampling frequency of 1 Hz. These engine speed and torque values represent a duty cycle that can be used for separate testing with an engine mounted on an engine dynamometer under 40 CFR 1037.551, such as for a selective enforcement audit as described in 40 CFR 1037.301.
(6) For hybrid powertrains with no plug-in capability, correct for the net energy change of the energy storage device as described in 40 CFR 1066.501(a)(3). For plug-in hybrid electric powertrains, follow 40 CFR 1066.501(a)(3) to determine End-of-Test for charge-depleting operation. You must get our approval in advance for your utility factor curve; we will approve it if you can show that you created it, using good engineering judgment, from sufficient in-use data of vehicles in the same application as the vehicles in which the plug-in hybrid electric powertrain will be installed. You may use methodologies described in SAE J2841 to develop the utility factor curve.
(7) The provisions related to carbon balance error verification in §1036.543 apply for all testing in this section. These procedures are optional if you are only performing direct or indirect fuel-flow measurement, but we will perform carbon balance error verification for all testing under this section.
(8) Do not apply accessory loads when conducting a powertrain test to generate inputs to GEM if torque is measured at the axle input shaft or wheel hubs.
(9) If you test a powertrain over the Low Load Cycle specified in §1036.514, control and apply the electrical accessory loads. We recommend using a load bank connected directly to the powertrain's electrical system. You may instead use an alternator with dynamic electrical load control. Use good engineering judgment to account for the efficiency of the alternator or the efficiency of the powertrain to convert the mechanical energy to electrical energy.
(10) The following instruments are required with plug-in hybrid systems to determine required voltages and currents during testing and must be installed on the powertrain to measure these values during testing:
(i) Measure the voltage and current of the battery pack directly with a DC wideband power analyzer to determine power. Measure all current entering and leaving the battery pack. Do not measure voltage upstream of this measurement point. The maximum integration period for determining amp-hours is 0.05 seconds. The power analyzer must have an accuracy for measuring current and voltage of 1% of point or 0.3% of maximum, whichever is greater. The power analyzer must not be susceptible to offset errors while measuring current.
(ii) If safety considerations do not allow for measuring voltage, you may determine the voltage directly from the powertrain ECM.
(11) The following figure provides an overview of testing under this section:
Figure 1 to Paragraph (a)(11) of §1036.545—Overview of Powertrain Testing.

(b) Test configuration. Select a powertrain for testing as described in §1036.235 or 40 CFR 1037.235 as applicable. Set up the engine according to 40 CFR 1065.110 and 1065.405(b). Set the engine's idle speed to idle speed defined in 40 CFR 1037.520(h)(1).
(1) The default test configuration consists of a powertrain with all components upstream of the axle. This involves connecting the powertrain's output shaft directly to the dynamometer or to a gear box with a fixed gear ratio and measuring torque at the axle input shaft. You may instead set up the dynamometer to connect at the wheel hubs and measure torque at that location. The preceding sentence may apply if your powertrain configuration requires it, such as for hybrid powertrains or if you want to represent the axle performance with powertrain test results. You may alternatively test the powertrain with a chassis dynamometer if you measure speed and torque at the powertrain's output shaft or wheel hubs.
(2) For testing hybrid engines, connect the engine's crankshaft directly to the dynamometer and measure torque at that location.
(c) Powertrain temperatures during testing. Cool the powertrain during testing so temperatures for oil, coolant, block, head, transmission, battery, and power electronics are within the manufacturer's expected ranges for normal operation. You may use electronic control module outputs to comply with this paragraph (c). You may use auxiliary coolers and fans.
(d) Engine break in. Break in the engine according to 40 CFR 1065.405(c), the axle assembly according to 40 CFR 1037.560, and the transmission according to 40 CFR 1037.565. You may instead break in the powertrain as a complete system using the engine break in procedure in 40 CFR 1065.405(c).
(e) Dynamometer setup. Set the dynamometer to operate in speed-control mode (or torque-control mode for hybrid engine testing at idle, including idle portions of transient duty cycles). Record data as described in 40 CFR 1065.202. Command and control the dynamometer speed at a minimum of 5 Hz, or 10 Hz for testing hybrid engines. Run the vehicle model to calculate the dynamometer setpoints at a rate of at least 100 Hz. If the dynamometer's command frequency is less than the vehicle model dynamometer setpoint frequency, subsample the calculated setpoints for commanding the dynamometer setpoints.
(f) Driveline and vehicle model. Use the GEM HIL model's driveline and vehicle submodels or the equations in this paragraph (f) to calculate the dynamometer speed setpoint, f nref,dyno, based on the torque measurement location. For all powertrains, configure GEM with the accessory load set to zero. For hybrid engines, configure GEM with the applicable accessory load as specified in §§1036.505, 1036.514, and 1036.525. For all powertrains and hybrid engines, configure GEM with the tire slip model disabled.
(1) Driveline model with a transmission in hardware. For testing with torque measurement at the axle input shaft or wheel hubs, calculate, f nref,dyno, using the GEM HIL model's driveline submodel or the following equation:

Eq. 1036.545-1
Where:
k a[speed] = drive axle ratio as determined in paragraph (h) of this section. Set k a[speed] equal to 1.0 if torque is measured at the wheel hubs.
v refi = simulated vehicle reference speed as calculated in paragraph (f)(3) of this section.
r [speed] = tire radius as determined in paragraph (h) of this section.
(2) Driveline model with a simulated transmission. For testing with the torque measurement at the engine's crankshaft, f nref,dyno is the dynamometer target speed from the GEM HIL model's transmission submodel. You may request our approval to change the transmission submodel, as long as the changes do not affect the gear selection logic. Before testing, initialize the transmission model with the engine's measured torque curve and the applicable steady-state fuel map from the GEM HIL model. You may request our approval to input your own steady-state fuel map. For example, this request for approval could include using a fuel map that represents the combined performance of the engine and hybrid components. Configure the torque converter to simulate neutral idle when using this procedure to generate engine fuel maps in §1036.505 or to perform the Supplemental Emission Test (SET) testing under §1036.510. You may change engine commanded torque at idle to better represent CITT for transient testing under §1036.512. You may change the simulated engine inertia to match the inertia of the engine under test. We will evaluate your requests under this paragraph (f)(2) based on your demonstration that the adjusted testing better represents in-use operation.
(i) The transmission submodel needs the following model inputs:
(A) Torque measured at the engine's crankshaft.
(B) Engine estimated torque determined from the electronic control module or by converting the instantaneous operator demand to an instantaneous torque in N·m.
(C) Dynamometer mode when idling (speed-control or torque-control).
(D) Measured engine speed when idling.
(E) Transmission output angular speed, f ni,transmission, calculated as follows:

Eq. 1036.545-2
Where:
k a[speed] = drive axle ratio as determined in paragraph (h) of this section.
v refi = simulated vehicle reference speed as calculated in paragraph (f)(3) of this section.
r [speed] = tire radius as determined in paragraph (h) of this section.
(ii) The transmission submodel generates the following model outputs:
(A) Dynamometer target speed.
(B) Dynamometer idle load.
(C) Transmission engine load limit.
(D) Engine speed target.
(3) Vehicle model. Calculate the simulated vehicle reference speed, ν refi, using the GEM HIL model's vehicle submodel or the equations in this paragraph (f)(3):

Eq. 1036.545-3
Where:
i = a time-based counter corresponding to each measurement during the sampling period.
Let v ref1 = 0; start calculations at i = 2. A 10-minute sampling period will generally involve 60,000 measurements.
T = instantaneous measured torque at the axle input, measured at the wheel hubs, or simulated by the GEM HIL model's transmission submodel. For configurations with multiple torque measurements, such as when measuring torque at the wheel hubs, T is the sum of all torque measurements.
Eff axle = axle efficiency. Use Eff axle = 0.955 for T ≥ 0, and use Eff axle = 1/0.955 for T < 0.
Use Eff axle = 1.0 if torque is measured at the wheel hubs.
M = vehicle mass for a vehicle class as determined in paragraph (h) of this section.
g = gravitational constant = 9.80665 m/s 2 .
C rr = coefficient of rolling resistance for a vehicle class as determined in paragraph (h) of this section.
G -1 = the percent grade interpolated at distance, D -1, from the duty cycle in 40 CFR part 1037, appendix D, corresponding to measurement (i -1).

Eq. 1036.545-4
ρ = air density at reference conditions. Use ρ = 1.1845 kg/m 3 .
C = drag area for a vehicle class as determined in paragraph (h) of this section.
F brake, -1 = instantaneous braking force applied by the driver model.
F grade , -1 = M · g · sin(atan(G -1 ))
Eq. 1036.545-5
Δt = the time interval between measurements. For example, at 100 Hz, Δt = 0.0100 seconds.
M rotating = inertial mass of rotating components. Let M rotating = 340 kg for vocational Light HDV or vocational Medium HDV. See paragraph (h) of this section for tractors and for vocational Heavy HDV.
(4) Example. The following example illustrates a calculation of f nref,dyno using paragraph (f)(1) of this section where torque is measured at the axle input shaft. This example is for a vocational Light HDV or vocational Medium HDV with 6 speed automatic transmission at B speed (test 4 in table 1 to paragraph (h)(2)(ii) of this section).
k aB = 4.0
r B = 0.399 m
T 999 = 500.0 N·m
C rr = 7.7 N/kN = 7.7·10 −3 N/N
M = 11408 kg
C dA = 5.4 m 2
G 999 = 0.39% = 0.0039

F brake,999 = 0 N
v ref,999 = 20.0 m/s
F grade,999 = 11408 · 9.81 · sin(atan(0.0039)) = 436.5 N
Δ t = 0.0100 s
M rotating = 340 kg
v ref1000 =

(g) Driver model. Use the GEM HIL model's driver submodel or design a driver model to simulate a human driver modulating the throttle and brake pedals. In either case, tune the model to follow the test cycle as closely as possible meeting the following specifications:
(1) The driver model must meet the following speed requirements:
(i) For operation over the highway cruise cycles, the speed requirements described in 40 CFR 1066.425(b) and (c).
(ii) For operation over the Heavy-Duty Transient Test Cycle specified in 40 CFR part 1037, appendix A, the SET as defined §1036.510, the Federal Test Procedure (FTP) as defined in §1036.512, and the Low Load Cycle (LLC) as defined in §1036.514, the speed requirements described in 40 CFR 1066.425(b) and (c).
(iii) The exceptions in 40 CFR 1066.425(b)(4) apply to the highway cruise cycles, the Heavy-Duty Transient Test Cycle specified in 40 CFR part 1037, appendix A, SET, FTP, and LLC.
(iv) If the speeds do not conform to these criteria, the test is not valid and must be repeated.
(2) Send a brake signal when operator demand is zero and vehicle speed is greater than the reference vehicle speed from the test cycle. Include a delay before changing the brake signal to prevent dithering, consistent with good engineering judgment.
(3) Allow braking only if operator demand is zero.
(4) Compensate for the distance driven over the duty cycle over the course of the test. Use the following equation to perform the compensation in real time to determine your time in the cycle:

Eq. 1036.545-6
Where:
vehicle = measured vehicle speed.
cycle = reference speed from the test cycle. If cycle, i -1 < 1.0 m/s, set cycle, i -1 = vehicle, i -1.
(h) Vehicle configurations to evaluate for generating fuel maps as defined in §1036.505. Configure the driveline and vehicle models from paragraph (f) of this section in the test cell to test the powertrain. Simulate multiple vehicle configurations that represent the range of intended vehicle applications using one of the following options:
(1) For known vehicle configurations, use at least three equally spaced axle ratios or tire sizes and three different road loads (nine configurations), or at least four equally spaced axle ratios or tire sizes and two different road loads (eight configurations). Select axle ratios to represent the full range of expected vehicle installations. Select axle ratios and tire sizes such that the ratio of engine speed to vehicle speed covers the range of ratios of minimum and maximum engine speed to vehicle speed when the transmission is in top gear for the vehicles in which the powertrain will be installed. Note that you do not have to use the same axle ratios and tire sizes for each GEM regulatory subcategory. You may determine appropriate C rr, C d A, and mass values to cover the range of intended vehicle applications or you may use the C rr, C d A, and mass values specified in paragraph (h)(2) of this section.
(2) If vehicle configurations are not known, determine the vehicle model inputs for a set of vehicle configurations as described in §1036.540(c)(3) with the following exceptions:
(i) In the equations of §1036.540(c)(3)(i), k topgear is the actual top gear ratio of the powertrain instead of the transmission gear ratio in the highest available gear given in table 1 to paragraph (c)(2) of §1036.540.
(ii) Test at least eight different vehicle configurations for powertrains that will be installed in Spark-ignition HDE, vocational Light HDV, and vocational Medium HDV using the following table instead of table 2 to paragraph (c)(3)(ii) of §1036.540:
TABLE 1 TO PARAGRAPH (h)(2)(ii) OF § 1036.545—VEHICLE CONFIGURATIONS FOR TESTING SPARK-IGNITION HDE, AND MEDIUM HDE

(iii) Select and test vehicle configurations as described in §1036.540(c)(3)(iii) for powertrains that will be installed in vocational Heavy HDV and tractors using the following tables instead of tables 3 and 4 to paragraph (c)(3)(iii) of §1036.540:
TABLE 2 TO PARAGRAPH (h)(2)(iii) OF § 1036.545—VEHICLE CONFIGURATIONS FOR TESTING GENERAL PURPOSE TRACTORS AND VOCATIONAL HEAVY HDV

TABLE 3 TO PARAGRAPH (h)(2)(iii) of § 1036.545—VEHICLE CONFIGURATIONS FOR TESTING HEAVY HDE INSTALLED IN HEAVY-HAUL TRACTORS

(3) For hybrid powertrain systems where the transmission will be simulated, use the transmission parameters defined in §1036.540(c)(2) to determine transmission type and gear ratio. Use a fixed transmission efficiency of 0.95. The GEM HIL transmission model uses a transmission parameter file for each test that includes the transmission type, gear ratios, lockup gear, torque limit per gear from §1036.540(c)(2) and the values from §1036.505(b)(4) and (c).
(i) [Reserved]
(j) Duty cycles to evaluate. Operate the powertrain over each of the duty cycles specified in 40 CFR 1037.510(a)(2), and for each applicable vehicle configuration from paragraph (h) of this section. Determine cycle-average powertrain fuel maps by testing the powertrain using the procedures in §1036.540(d) with the following exceptions:
(1) Understand “engine” to mean “powertrain”.
(2) Warm up the powertrain as described in §1036.520(d).
(3) Within 90 seconds after concluding the warm-up, start the transition to the preconditioning cycle as described in paragraph (j)(5) of this section.
(4) For plug-in hybrid engines, precondition the battery and then complete all back-to-back tests for each vehicle configuration according to 40 CFR 1066.501(a)(3) before moving to the next vehicle configuration. The following figure illustrates a charge-depleting test sequence with engine operation during two duty cycles, which are used for criteria pollutant determination:
Figure 2 to Paragraph (j)(4) of §1036.545—Generic Charge-Depleting Test Sequence

(5) If the preceding duty cycle does not end at 0 mi/hr, transition between duty cycles by decelerating at a rate of 2 mi/hr/s at 0% grade until the vehicle reaches zero speed. Shut off the powertrain. Prepare the powertrain and test cell for the next duty-cycle.
(6) Start the next duty-cycle within 60 to 180 seconds after shutting off the powertrain.
(i) To start the next duty-cycle, for hybrid powertrains, key on the vehicle and then start the duty-cycle. For conventional powertrains key on the vehicle, start the engine, wait for the engine to stabilize at idle speed, and then start the duty-cycle.
(ii) If the duty-cycle does not start at 0 mi/hr, transition to the next duty cycle by accelerating at a target rate of 1 mi/hr/s at 0% grade. Stabilize for 10 seconds at the initial duty cycle conditions and start the duty-cycle.
(7) Calculate cycle work using GEM or the speed and torque from the driveline and vehicle models from paragraph (f) of this section to determine the sequence of duty cycles.
(8) Calculate the mass of fuel consumed for idle duty cycles as described in paragraph (n) of this section.
(k) Measuring NOX emissions. Measure NO X emissions for each sampling period in grams. You may perform these measurements using a NO X emission-measurement system that meets the requirements of 40 CFR part 1065, subpart J. If a system malfunction prevents you from measuring NO X emissions during a test under this section but the test otherwise gives valid results, you may consider this a valid test and omit the NO X emission measurements; however, we may require you to repeat the test if we determine that you inappropriately voided the test with respect to NO X emission measurement.
(l) [Reserved]
(m) Measured output speed validation. For each test point, validate the measured output speed with the corresponding reference values. If speed is measured at more than one location, the measurements at each location must meet validation requirements. If the range of reference speed is less than 10 percent of the mean reference speed, you need to meet only the standard error of the estimate in table 4 to this paragraph (m). You may delete points when the vehicle is stopped. If your speed measurement is not at the location of ƒ nref, correct your measured speed using the constant speed ratio between the two locations. Apply cycle-validation criteria for each separate transient or highway cruise cycle based on the following parameters:
| Parameter a | Speed control |
|---|---|
| Slope, a 1 | 0.990 ≤ a 1 ≤ 1.010. |
| Absolute value of intercept, | a 0 | | ≤2.0% of maximum ƒ nref speed. |
| Standard error of the estimate, SEE | ≤2.0% of maximum ƒ nref speed. |
| Coefficient of determination, r 2 | ≥0.990. |
| a Determine values for specified parameters as described in 40 CFR 1065.514(e) by comparing measured and reference values for ƒ nref,dyno. | |
(n) Fuel consumption at idle. Record measurements using direct and/or indirect measurement of fuel flow. Determine the fuel-consumption rates at idle for the applicable duty cycles described in 40 CFR 1037.510(a)(2) as follows:
(1) Direct fuel flow measurement. Determine the corresponding mean values for mean idle fuel mass flow rate, m fuelidle, for each duty cycle, as applicable. Use of redundant direct fuel-flow measurements require our advance approval.
(2) Indirect fuel flow measurement. Record speed and torque and measure emissions and other inputs needed to run the chemical balance in 40 CFR 1065.655(c). Determine the corresponding mean values for each duty cycle. Use of redundant indirect fuel-flow measurements require our advance approval. Measure background concentration as described in §1036.535(b)(4)(ii). We recommend setting the CVS flow rate as low as possible to minimize background, but without introducing errors related to insufficient mixing or other operational considerations. Note that for this testing 40 CFR 1065.140(e) does not apply, including the minimum dilution ratio of 2:1 in the primary dilution stage. Calculate the idle fuel mass flow rate for each duty cycle, m fuelidle, for each set of vehicle settings, as follows:

Eq. 1036.545-7
Where:
M C = molar mass of carbon.
w Cmeas = carbon mass fraction of fuel (or mixture of test fuels) as determined in 40 CFR 1065.655(d), except that you may not use the default properties in 40 CFR 1065.655(e)(5) to determine α, β, and w C for liquid fuels.
n exh = the mean raw exhaust molar flow rate from which you measured emissions according to 40 CFR 1065.655.
χ Ccombdry = the mean concentration of carbon from fuel and any injected fluids in the exhaust per mole of dry exhaust.
χ H2Oexhdry = the mean concentration of H 2 O in exhaust per mole of dry exhaust.
m CO2DEF = the mean CO 2 mass emission rate resulting from diesel exhaust fluid decomposition over the duty cycle as determined in §1036.535(b)(9). If your engine does not use diesel exhaust fluid, or if you choose not to perform this correction, set equal to 0.
M CO2 = molar mass of carbon dioxide.
Example:
M C = 12.0107 g/mol
w Cmeas = 0.867
n exh = 25.534 mol/s
χ Ccombdry = 2.805·10 −3 mol/mol
χ H2Oexhdry = 3.53·10 −2 mol/mol
m CO2DEF = 0.0726 g/s
M CO2 = 44.0095

(o) Create GEM inputs. Use the results of powertrain testing to determine GEM inputs for the different simulated vehicle configurations as follows:
(1) Correct the measured or calculated fuel masses, m fuel[cycle], and mean idle fuel mass flow rates, m fuelidle, if applicable, for each test result to a mass-specific net energy content of a reference fuel as described in §1036.535(e), replacing m fuel with m fuel[cycle] where applicable in Eq. 1036.535-4.
(2) Declare fuel masses, m fuel[cycle] and m fuelidle . Determine m fuel[cycle] using the calculated fuel mass consumption values described in §1036.540(d)(12). In addition, declare mean fuel mass flow rate for each applicable idle duty cycle, m fuelidle . These declared values may not be lower than any corresponding measured values determined in this section. If you use both direct and indirect measurement of fuel flow, determine the corresponding declared values as described in §1036.535(g)(2) and (3). These declared values, which serve as emission standards, collectively represent the powertrain fuel map for certification.
(3) For engines designed for plug-in hybrid electric vehicles, the mass of fuel for each cycle, m fuel[cycle], is the utility factor-weighted fuel mass, m fuelUF[cycle]. This is determined by calculating m fuel for the full charge-depleting and charge-sustaining portions of the test and weighting the results, using the following equation:

Eq. 1036.545-8
Where:
i = an indexing variable that represents one test interval.
N = total number of charge-depleting test intervals.
m fuel[cycle]CD = total mass of fuel in the charge-depleting portion of the test for each test interval, i , starting from i = 1, including the test interval(s) from the transition phase.
UF DCD = utility factor fraction at distance D CD from Eq. 1036.510-11 as determined by interpolating the approved utility factor curve for each test interval, i, starting from i = 1. Let UF DCD0 = 0
j = an indexing variable that represents one test interval.
M = total number of charge-sustaining test intervals.
m fuel[cycle]CS = total mass of fuel over the charge-sustaining portion of the test for each test interval, j , starting from j = 1.
UF RCD = utility factor fraction at the full charge-depleting distance, R CD, as determined by interpolating the approved utility factor curve. R CD is the cumulative distance driven over N charge-depleting test intervals.

Eq. 1036.545-9
Where:
k = an indexing variable that represents one recorded velocity value.
Q = total number of measurements over the test interval.
v = vehicle velocity at each time step, k , starting from k = 1. For tests completed under this section, v is the vehicle velocity as determined by Eq. 1036.545-1. Note that this should include charge- depleting test intervals that start when the engine is not yet operating.
Δ t = 1/ƒ record
ƒ record = the record rate.
Example for the 55 mi/hr cruise cycle:
Q = 8790
1 = 55.0 mi/hr
2 = 55.0 mi/hr
3 = 55.1 mi/hr
ƒ record = 10 Hz
Δ t = 1/10 Hz = 0.1 s

(4) For the transient cycle specified in 40 CFR 1037.510(a)(2)(i), calculate powertrain output speed per unit of vehicle speed using one of the following methods:
(i) For testing with torque measurement at the axle input shaft:

Eq. 1036.545-10
Example:

(ii) For testing with torque measurement at the wheel hubs, use Eq. 1036.545-8 setting k a equal to 1.
(iii) For testing with torque measurement at the engine's crankshaft:

Eq. 1036.545-11
Where:
f nengine = average engine speed when vehicle speed is at or above 0.100 m/s.
v ref = average simulated vehicle speed at or above 0.100 m/s.
Example:

(5) Calculate engine idle speed, by taking the average engine speed measured during the transient cycle test while the vehicle speed is below 0.100 m/s. (Note: Use all the charge-sustaining test intervals when determining engine idle speed for plug-in hybrid powertrains.)ƒ
(6) For the cruise cycles specified in 40 CFR 1037.510(a)(2)(ii), calculate the average powertrain output speed, ƒ npowertrain, and the average powertrain output torque (positive torque only), T powertrain, at vehicle speed at or above 0.100 m/s. (Note: Use all the charge-sustaining and charge-depleting test intervals when determining ƒ npowertrain and T powertrain for plug-in hybrid powertrains.)
(7) Calculate positive work, W [cycle], as the work over the duty cycle at the axle input shaft, wheel hubs, or the engine's crankshaft, as applicable, when vehicle speed is at or above 0.100 m/s. For plug-in hybrid powertrains, calculate W [cycle] by calculating the positive work over each of the charge-sustaining and charge-depleting test intervals and then averaging them together. If speed and torque are measured at more than one location, determine W [cycle] by integrating the sum of the power calculated from measured speed and torque measurements at each location.
(8) The following tables illustrate the GEM data inputs corresponding to the different vehicle configurations for a given duty cycle:
(i) For the transient cycle:
Table 5 to Paragraph (o)(8)(i) of §1036.545—Example of Output Matrix for Transient Cycle Vehicle Configurations

(ii) For the cruise cycles:
Table 6 to Paragraph ((o)(8)(ii) of §1036.545—Generic Example of Output Matrix for Cruise Cycle Vehicle Configurations

(p) Determine usable battery energy. Determine usable battery energy (UBE) for plug-in hybrid powertrains using one of the following procedures:
(1) Select a representative vehicle configuration from paragraph (h) of this section. Measure DC discharge energy, E DCD, in DC watt-hours and measure DC discharge current per hour, C D, for the charge-depleting test intervals of the Heavy-Duty Transient Test Cycle in 40 CFR part 1037, appendix A. The measurement period must include all the current flowing into and out of the battery pack during the charge-depleting test intervals, including current associated with regenerative braking. Eq. 1036.545-12 shows how to calculate E DCD, but the power analyzer specified in paragraph (a)(10)(i) of this section will typically perform this calculation internally. Battery voltage measurements made by the powertrain's on-board sensors (such as those available with a diagnostic port) may be used for calculating E DCD if they are equivalent to those from the power analyzer.

Eq. 1036.545-12
Where:
i = an indexing variable that represents one individual measurement.
N = total number of measurements.
V = battery DC bus voltage.
I = battery current.
Δ t = 1/ƒ record
ƒ record = the data recording frequency.
Example:
N = 13360
V 1 = 454.0
V 2 = 454. 0
I 1 = 0
I 2 = 0
ƒ record = 20 Hz
Δ t = 1/20 = 0.05 s

(2) Determine a declared UBE that is at or below the corresponding value determined in paragraph (p)(1) of this section, including those from redundant measurements. This declared UBE serves as UBE certified determined under 40 CFR 1037.115(f).
[89 FR 29752, Apr. 22, 2024]
§1036.550 Calculating greenhouse gas emission rates.
This section describes how to calculate official emission results for CO 2, CH 4, and N 2 O.
(a) Calculate brake-specific emission rates for each applicable duty cycle as specified in 40 CFR 1065.650. Apply infrequent regeneration adjustment factors as described in §1036.580.
(b) Adjust CO 2 emission rates calculated under paragraph (a) of this section for measured test fuel properties as specified in this paragraph (b). This adjustment is intended to make official emission results independent of differences in test fuels within a fuel type. Use good engineering judgment to develop and apply testing protocols to minimize the impact of variations in test fuels.
(1) Determine your test fuel's mass-specific net energy content, E mfuelmeas, also known as lower heating value, in MJ/kg, expressed to at least three decimal places. Determine E mfuelmeas as follows:
(i) For liquid fuels, determine E mfuelmeas according to ASTM D4809 (incorporated by reference, see §1036.810). Have the sample analyzed by at least three different labs and determine the final value of your test fuel's E mfuelmeas as the median of all the lab test results as described in 40 CFR 1065.602(m). If you have results from three different labs, we recommend you screen them to determine if additional observations are needed. To perform this screening, determine the absolute value of the difference between each lab result and the average of the other two lab results. If the largest of these three resulting absolute value differences is greater than 0.297 MJ/kg, we recommend you obtain additional results prior to determining the final value of E mfuelmeas.
(ii) For gaseous fuels, determine E mfuelmeas according to ASTM D3588 (incorporated by reference, see §1036.810).
(2) Determine your test fuel's carbon mass fraction, w C, as described in 40 CFR 1065.655(d), expressed to at least three decimal places; however, you must measure fuel properties for α and β rather than using the default values specified in 40 CFR 1065.655(e).
(i) For liquid fuels, have the sample analyzed by at least three different labs, determine w C for each result as described in 40 CFR 1065.655(d), and determine the final value of your test fuel's w C as the median (as described in 40 CFR 1065.602(m)) of all the w C values. If you have results from three different labs, we recommend you screen them to determine if additional observations are needed. To perform this screening, determine the absolute value of the difference between each w C value and the average of the other two w C values. If the largest of these three resulting absolute value differences is greater than 1.56 percent carbon, we recommend you obtain additional results prior to determining the final value of w C.
(ii) For gaseous fuels, have the sample analyzed by a single lab and use that result as your test fuel's w C.
(3) If, over a period of time, you receive multiple fuel deliveries from a single stock batch of test fuel, you may use constant values for mass-specific energy content and carbon mass fraction, consistent with good engineering judgment. To use these constant values, you must demonstrate that every subsequent delivery comes from the same stock batch and that the fuel has not been contaminated.
(4) Correct measured CO 2 emission rates as follows:

Where:
e CO2 = the calculated CO 2 emission result.
E mfuelmeas = the mass-specific net energy content of the test fuel as determined in paragraph (b)(1) of this section. Note that dividing this value by w Cmeas (as is done in this equation) equates to a carbon-specific net energy content having the same units as E mfuelCref.
E mfuelCref = the reference value of carbon-mass-specific net energy content for the appropriate fuel type, as determined in Table 1 in this section.
w Cmeas = 0.870 kgC/kg
Example:
e CO2 = 630.0 g/hp·hr
E mfuelmeas = 42.528 MJ/kg
E mfuelCref = 49.3112 MJ/kgC
w Cmeas = 0.870

e CO2cor = 624.5 g/hp·hr
| Fuel type a | Reference fuel carbon-mass-specific net energy content, E mfuelCref (MJ/kgC) b | Reference fuel carbon mass fraction, w Cref b |
|---|---|---|
| Diesel fuel | 49.3112 | 0.874 |
| Gasoline | 50.4742 | 0.846 |
| Natural gas | 66.2910 | 0.750 |
| LPG | 56.5218 | 0.820 |
| Dimethyl ether | 55.3886 | 0.521 |
| High-level ethanol-gasoline blends | 50.3211 | 0.576 |
| a For fuels that are not listed, you must ask us to approve reference fuel properties. | ||
| b For multi-fuel streams, such as natural gas with diesel fuel pilot injection, use good engineering judgment to determine blended values for E mfuelCref and w Cref using the values in this table. | ||
(c) Your official emission result for each pollutant equals your calculated brake-specific emission rate multiplied by all applicable adjustment factors, other than the deterioration factor.
[88 FR 4487, Jan. 24, 2023; 89 FR 29763, Apr. 22, 2024]
§1036.555 Test procedures to verify deterioration factors.
Sections 1036.240 through 1036.246 describe certification procedures to determine, verify, and apply deterioration factors. This section describes the measurement procedures for verifying deterioration factors using PEMS with in-use vehicles.
(a) Use PEMS to collect 1 Hz data throughout a shift-day of driving. Collect all the data elements needed to determine brake-specific emissions. Calculate emission results using moving average windows as described in §1036.530.
(b) Collect data as needed to perform the calculations specified in paragraph (a) of this section and to submit the test report specified in §1036.246(d).
[88 FR 4487, Jan. 24, 2023]
§1036.580 Infrequently regenerating aftertreatment devices.
For engines using aftertreatment technology with infrequent regeneration events that may occur during testing, take one of the following approaches to account for the emission impact of regeneration on criteria pollutant and greenhouse gas emissions:
(a) You may use the calculation methodology described in 40 CFR 1065.680 to adjust measured emission results. Do this by developing an upward adjustment factor and a downward adjustment factor for each pollutant based on measured emission data and observed regeneration frequency as follows:
(1) Adjustment factors should generally apply to an entire engine family, but you may develop separate adjustment factors for different configurations within an engine family. Use the adjustment factors from this section for all testing for the engine family.
(2) You may use carryover data to establish adjustment factors for an engine family as described in §1036.235(d), consistent with good engineering judgment.
(3) Identify the value of F[cycle] in each application for the certification for which it applies.
(4) Calculate separate adjustment factors for each required duty cycle.
(b) You may ask us to approve an alternate methodology to account for regeneration events. We will generally limit approval to cases where your engines use aftertreatment technology with extremely infrequent regeneration and you are unable to apply the provisions of this section.
(c) You may choose to make no adjustments to measured emission results if you determine that regeneration does not significantly affect emission levels for an engine family (or configuration) or if it is not practical to identify when regeneration occurs. You may omit adjustment factors under this paragraph (c) for N 2 O, CH 4, or other individual pollutants under this paragraph (c) as appropriate. If you choose not to make adjustments under paragraph (a) or (b) of this section, your engines must meet emission standards for all testing, without regard to regeneration.
(d) If your engine family includes engines with one or more emergency AECDs approved under §1036.115(h)(4), do not consider additional regenerations resulting from those AECDs when developing adjustments to measured values under paragraph (a) or (b) of this section.
[88 FR 4487, Jan. 24, 2023; 89 FR 29763, Apr. 22, 2024]
