Compliance Just Got Easier: Stay ahead of regulatory changes with instant notifications on updates that matter.
['Air Programs']
['Hazardous Air Pollutants']
02/27/2022
Subpart JJJ - National Emission Standards for Hazardous Air Pollutant Emissions: Group IV Polymers and Resins
�63.1310 Applicability and designation of affected sources.
(a) Definition of affected source. The provisions of this subpart apply to each affected source. Affected sources are described in paragraphs (a)(1) through (a)(4) of this section.
(1) An affected source is either an existing affected source or a new affected source. Existing affected source is defined in paragraph (a)(2) of this section, and new affected source is defined in paragraph (a)(3) of this section.
(2) An existing affected source is defined as each group of one or more thermoplastic product process units (TPPU) and associated equipment, as listed in paragraph (a)(4) of this section that is not part of a new affected source, as defined in paragraph (a)(3) of this section, that is manufacturing the same primary product, and that is located at a plant site that is a major source.
(3) A new affected source is defined by the criteria in paragraph (a)(3)(i), (a)(3)(ii), or (a)(3)(iii) of this section. The situation described in paragraph (a)(3)(i) of this section is distinct from those situations described in paragraphs (a)(3)(ii) and (a)(3)(iii) of this section and from any situation described in paragraph (i) of this section.
(i) At a site without HAP emission points before March 29, 1995 (i.e., a �greenfield� site), each group of one or more TPPU and associated equipment, as listed in paragraph (a)(4) of this section, that is manufacturing the same primary product and that is part of a major source on which construction commenced after March 29, 1995;
(ii) A group of one or more TPPU meeting the criteria in paragraph (i)(1)(i) of this section; or
(iii) A reconstructed affected source meeting the criteria in paragraph (i)(2)(i) of this section.
(4) Emission points and equipment. The affected source also includes the emission points and components specified in paragraphs (a)(4)(i) through (vi) of this section that are associated with each applicable group of one or more TPPU constituting an affected source.
(i) Each waste management unit.
(ii) Maintenance wastewater.
(iii) Each heat exchange system.
(iv) Each process contact cooling tower used in the manufacture of poly (ethylene terephthalate) resin (PET) that is associated with a new affected source.
(v) Each process contact cooling tower used in the manufacture of PET using a continuous terephthalic acid high viscosity multiple end finisher process that is associated with an existing affected source.
(vi) Components required by, or utilized as a method of compliance with, this subpart, which may include control devices and recovery devices.
(5) TPPUs and associated equipment, as listed in paragraph (a)(4) of this section, that are located at plant sites that are not major sources are neither affected sources nor part of an affected source.
(b) TPPUs without organic HAP. The owner or operator of a TPPU that is part of an affected source, as defined in paragraph (a) of this section, but that does not use or manufacture any organic HAP shall comply with the requirements of either paragraph (b)(1) or (b)(2) of this section. Such a TPPU is not subject to any other provisions of this subpart and is not required to comply with the provisions of subpart A of this part.
(1) Retain information, data, and analyses used to document the basis for the determination that the TPPU does not use or manufacture any organic HAP. Types of information that could document this determination include, but are not limited to, records of chemicals purchased for the process, analyses of process stream composition, engineering calculations, or process knowledge.
(2) When requested by the Administrator, demonstrate that the TPPU does not use or manufacture any organic HAP.
(c) Emission points not subject to the provisions of this subpart. The affected source includes the emission points listed in paragraphs (c)(1) through (c)(9) of this section, but these emission points are not subject to the requirements of this subpart or to the provisions of subpart A of this part.
(1) Components and equipment that do not contain organic HAP and are located within a TPPU that is part of an affected source;
(2) Stormwater from segregated sewers;
(3) Water from fire-fighting and deluge systems in segregated sewers;
(4) Spills;
(5) Water from safety showers;
(6) Water from testing of deluge systems;
(7) Water from testing of firefighting systems;
(8) Vessels and equipment storing and/or handling material that contain no organic HAP and/or organic HAP as impurities only; and
(9) Equipment that is intended to operate in organic HAP service for less than 300 hours during the calendar year.
(d) Processes excluded from the affected source. The processes specified in paragraphs (d)(1) through (5) of this section are not part of the affected source and are not subject to the requirements of both this subpart and subpart A of this part:
(1) Research and development facilities;
(2) Polymerization processes occurring in a mold;
(3) Processes which manufacture binder systems containing a thermoplastic product for paints, coatings, or adhesives;
(4) Finishing processes including equipment such as compounding units, spinning units, drawing units, extruding units, and other finishing steps; and
(5) Solid state polymerization processes.
(e) Applicability determination of nonthermoplastic equipment included within the boundaries of a TPPU. If a polymer that is not a thermoplastic product is produced within the equipment (i.e., collocated) making up a TPPU and at least 50 percent of that polymer is used in the production of a thermoplastic product manufactured by the same TPPU, then the unit operations involved in the production of that polymer are considered part of the TPPU and are subject to this subpart, with the following exception. Any emission points from such unit operations that are subject to another subpart of this part with an effective date prior to September 5, 1996 shall remain subject to that other subpart of this part and are not subject to this subpart.
(f) Primary product determination and applicability. An owner or operator of a process unit that produces or plans to produce a thermoplastic product shall determine if the process unit is subject to this subpart in accordance with this paragraph. The owner or operator shall initially determine whether a process unit is designated as a TPPU and subject to the provisions of this subpart in accordance with either paragraph (f)(1) or (f)(2) of this section. The owner or operator of a flexible operation unit that was not initially designated as a TPPU, but in which a thermoplastic product is produced, shall conduct an annual re-determination of the applicability of this subpart in accordance with paragraph (f)(3) of this section. Owners or operators that anticipate the production of a thermoplastic product in a process unit that was not initially designated as a TPPU, and in which no thermoplastic products are currently produced, shall determine if the process unit is subject to this subpart in accordance with paragraph (f)(4) of this section. Paragraphs (f)(3) and (f)(5) through (f)(7) of this section discuss compliance only for flexible operation units. Other paragraphs apply to all process units, including flexible operation units, unless otherwise noted. Paragraph (f)(8) of this section contains reporting requirements associated with the applicability determinations. Paragraphs (f)(9) and (f)(10) of this section describe criteria for removing the TPPU designation from a process unit.
(1) Initial determination. The owner or operator shall initially determine if a process unit is subject to the provisions of this subpart based on the primary product of the process unit in accordance with paragraphs (f)(1)(i) through (iii) of this section. If the process unit never uses or manufactures any organic HAP, regardless of the outcome of the primary product determination, the only requirements of this subpart that might apply to the process unit are contained in paragraph (b) of this section. If a flexible operation unit does not use or manufacture any organic HAP during the manufacture of one or more products, paragraph (f)(5)(i) of this section applies to that flexible operation unit.
(i) If a process unit only manufactures one product, then that product shall represent the primary product of the process unit.
(ii) If a process unit produces more than one intended product at the same time, the primary product shall be determined in accordance with paragraph (f)(1)(ii)(A) or (B) of this section.
(A) The product for which the process unit has the greatest annual design capacity on a mass basis shall represent the primary product of the process unit, or
(B) If a process unit has the same maximum annual design capacity on a mass basis for two or more products, and if one of those products is a thermoplastic product, then the thermoplastic product shall represent the primary product of the process unit.
(iii) If a process unit is designed and operated as a flexible operation unit, the primary product shall be determined as specified in paragraphs (f)(1)(iii)(A) or (B) of this section based on the anticipated operations for the 5 years following September 12, 1996 at existing process units, or for the first year after the process unit begins production of any product for new process units. If operations cannot be anticipated sufficiently to allow the determination of the primary product for the specified period, applicability shall be determined (in accordance with paragraph (f)(2) of this section.
(A) If the flexible operation unit will manufacture one product for the greatest operating time over the specified 5 year period for existing process units, or the specified 1 year period for new process units, then that product shall represent the primary product of the flexible operation unit.
(B) If the flexible operation unit will manufacture multiple products equally based on operating time, then the product with the greatest expected production on a mass basis over the specified 5 year period for existing process units, or the specified 1 year period for new process units shall represent the primary product of the flexible operation unit.
(iv) If, according to paragraph (f)(1)(i), (ii), or (iii) of this section, the primary product of a process unit is a thermoplastic product, then that process unit shall be designated as a TPPU. That TPPU and associated equipment, as listed in paragraph (a)(4) of this section is either an affected source or part of an affected source comprised of other TPPU and associated equipment, as listed in paragraph (a)(4) of this section, subject to this subpart with the same primary product at the same plant site that is a major source. If the primary product of a process unit is determined to be a product that is not a thermoplastic product, then that process unit is not a TPPU.
(2) If the primary product cannot be determined for a flexible operation unit in accordance with paragraph (f)(1)(iii) of this section, applicability shall be determined in accordance with this paragraph.
(i) If the owner or operator cannot determine the primary product in accordance with paragraph (f)(1)(iii) of this section, but can determine that a thermoplastic product is not the primary product, then that flexible operation unit is not a TPPU.
(ii) If the owner or operator cannot determine the primary product in accordance with paragraph (f)(1)(iii) of this section, and cannot determine that a thermoplastic product is not the primary product as specified in paragraph (f)(2)(i) of this section, applicability shall be determined in accordance with paragraph (f)(2)(ii)(A) or (f)(2)(ii)(B) of this section.
(A) If the flexible operation unit is an existing process unit, the flexible operation unit shall be designated as a TPPU if a thermoplastic product was produced for 5 percent or greater of the total operating time of the flexible operating unit since March 9, 1999. That TPPU and associated equipment, as listed in paragraph (a)(4) of this section, is either an affected source, or part of an affected source comprised of other TPPU and associated equipment, as listed in paragraph (a)(4) of this section, subject to this subpart with the same primary product at the same plant site that is a major source. For a flexible operation unit that is designated as an TPPU in accordance with this paragraph, the thermoplastic product produced for the greatest amount of time since March 9, 1999 shall be designated as the primary product of the TPPU.
(B) If the flexible operation unit is a new process unit, the flexible operation unit shall be designated as a TPPU if the owner or operator anticipates that a thermoplastic product will be manufactured in the flexible operation unit at any time in the first year after the date the unit begins production of any product. That TPPU and associated equipment, as listed in paragraph (a)(4) of this section, is either an affected source, or part of an affected source comprised of other TPPU and associated equipment, as listed in paragraph (a)(4) of this section, subject to this subpart with the same primary product at the same plant site that is a major source. For a process unit that is designated as a TPPU in accordance with this paragraph, the thermoplastic product that will be produced shall be designated as the primary product of the TPPU. If more than one thermoplastic product will be produced, the owner or operator may select which thermoplastic product is designated as the primary product.
(3) Annual applicability determination for non-TPPUs that have produced a thermoplastic product. Once per year beginning September 12, 2001, the owner or operator of each flexible operation unit that is not designated as a TPPU, but that has produced a thermoplastic product at any time in the preceding 5-year period or since the date that the unit began production of any product, whichever is shorter, shall perform the evaluation described in paragraphs (f)(3)(i) through (f)(3)(iii) of this section. However, an owner or operator that does not intend to produce any thermoplastic product in the future, in accordance with paragraph (f)(9) of this section, is not required to perform the evaluation described in paragraphs (f)(3)(i) through (f)(3)(iii) of this section.
(i) For each product produced in the flexible operation unit, the owner or operator shall calculate the percentage of total operating time over which the product was produced during the preceding 5-year period.
(ii) The owner or operator shall identify the primary product as the product with the highest percentage of total operating time for the preceding 5-year period.
(iii) If the primary product identified in paragraph (f)(3)(ii) is a thermoplastic product, the flexible operation unit shall be designated as a TPPU. The owner or operator shall notify the Administrator no later than 45 days after determining that the flexible operation unit is a TPPU, and shall comply with the requirements of this subpart in accordance with paragraph (i)(1) of this section for the flexible operation unit.
(4) Applicability determination for non-TPPUs that have not produced a thermoplastic product. The owner or operator that anticipates the production of a thermoplastic product in a process unit that is not designated as a TPPU, and in which no thermoplastic products have been produced in the previous 5-year period or since the date that the process unit began production of any product, whichever is shorter, shall determine if the process unit is subject to this subpart in accordance with paragraphs (f)(4)(i) and (ii) of this section. Also, owners or operators who have notified the Administrator that a process unit is not a TPPU in accordance with paragraph (f)(9) of this section, that now anticipate the production of a thermoplastic product in the process unit, shall determine if the process unit is subject to this subpart in accordance with paragraphs (f)(4)(i) and (ii) of this section.
(i) The owner or operator shall use the procedures in paragraph (f)(1) or (f)(2) of this section to determine if the process unit is designated as a TPPU, with the following exception: For existing process units that are determining the primary product in accordance with paragraph (f)(1)(iii) of this section, production shall be projected for the five years following the date that the owner or operator anticipates initiating the production of a thermoplastic product.
(ii) If the unit is designated as a TPPU in accordance with paragraph (f)(4)(i) of this section, the owner or operator shall comply in accordance with paragraph (i)(1) of this section.
(5) Compliance for flexible operation units. Owners or operators of TPPUs that are flexible operation units shall comply with the standards specified for the primary product, with the exceptions provided in paragraphs (f)(5)(i) and (f)(5)(ii) of this section.
(i) Whenever a flexible operation unit manufactures a product in which no organic HAP is used or manufactured, the owner or operator is only required to comply with either paragraph (b)(1) or (b)(2) of this section to demonstrate compliance for activities associated with the manufacture of that product. This subpart does not require compliance with the provisions of subpart A of this part for activities associated with the manufacture of a product that meets the criteria of paragraph (b) of this section.
(ii) Whenever a flexible operation unit manufactures a product that makes it subject to subpart GGG of this part, the owner or operator is not required to comply with the provisions of this subpart during the production of that product.
(6) Owners or operators of TPPUs that are flexible operation units have the option of determining the group status of each emission point associated with the flexible operation unit, in accordance with either paragraph (f)(6)(i) or (f)(6)(ii) of this section, with the exception of batch process vents. For batch process vents, the owner or operator shall determine the group status in accordance with �63.1323.
(i) The owner or operator may determine the group status of each emission point based on emission point characteristics when the primary product is being manufactured. The criteria that shall be used for this group determination are the Group 1 criteria specified for the primary product.
(ii) The owner or operator may determine the group status of each emission point separately for each product produced by the flexible operation unit. For each product, the group status shall be determined using the emission point characteristics when that product is being manufactured and using the Group 1 criteria specified for the primary product. (Note: Under this scenario, it is possible that the group status, and therefore the requirement to achieve emission reductions, for an emission point may change depending on the product being manufactured.)
(7) Owners or operators determining the group status of emission points in flexible operation units based solely on the primary product in accordance with paragraph (f)(6)(i) of this section shall establish parameter monitoring levels, as required, in accordance with either paragraph (f)(7)(i) or (f)(7)(ii) of this section. Owners or operators determining the group status of emission points in flexible operation units based on each product in accordance with paragraph (f)(6)(ii) of this section shall establish parameter monitoring levels, as required, in accordance with paragraph (f)(7)(i) of this section.
(i) Establish separate parameter monitoring levels in accordance with �63.1334(a) for each individual product.
(ii) Establish a single parameter monitoring level (for each parameter required to be monitored at each device subject to monitoring requirements) in accordance with �63.1334(a) that would apply for all products.
(8) Reporting requirements. When it is determined that a process unit is a TPPU and subject to the requirements of this subpart, the Notification of Compliance Status required by �63.1335(e)(5) shall include the information specified in paragraphs (f)(8)(i) and (f)(8)(ii) of this section, as applicable. If it is determined that the process unit is not subject to this subpart, the owner or operator shall either retain all information, data, and analysis used to document the basis for the determination that the primary product is not a thermoplastic product, or, when requested by the Administrator, demonstrate that the process unit is not subject to this subpart.
(i) If the TPPU manufactures only one thermoplastic product, identification of that thermoplastic product.
(ii) If the TPPU is designed and operated as a flexible operation unit, the information specified in paragraphs (f)(8)(ii)(A) through (f)(8)(ii)(D) of this section, as appropriate, shall be submitted.
(A) If a primary product could be determined, identification of the primary product.
(B) Identification of which compliance option, either paragraph (f)(6)(i) or (f)(6)(ii) of this section, has been selected by the owner or operator.
(C) If the option to establish separate parameter monitoring levels for each product in paragraph (f)(7)(i) of this section is selected, the identification of each product and the corresponding parameter monitoring level.
(D) If the option to establish a single parameter monitor level in paragraph (f)(7)(ii) of this section is selected, the parameter monitoring level for each parameter.
(9) TPPUs terminating production of all thermoplastic products. If a TPPU terminates the production of all thermoplastic products and does not anticipate the production of any thermoplastic products in the future, the process unit is no longer a TPPU and is not subject to this subpart after notification is made to the Administrator. This notification shall be accompanied by a rationale for why it is anticipated that no thermoplastic products will be produced in the process unit in the future.
(10) Redetermination of applicability to TPPUs that are flexible operation units. Whenever changes in production occur that could reasonably be expected to change the primary product of a TPPU that is operating as a flexible operation unit from a thermoplastic product to a product that would make the process unit subject to another subpart of this part, the owner or operator shall re-evaluate the status of the process unit as a TPPU in accordance with paragraphs (f)(10)(i) through (iii) of this section.
(i) For each product produced in the flexible operation unit, the owner or operator shall calculate the percentage of total operating time in which the product was produced for the preceding five-year period, or since the date that the process unit began production of any product, whichever is shorter.
(ii) The owner or operator shall identify the primary product as the product with the highest percentage of total operating time for the period.
(iii) If the conditions in (f)(10)(iii)(A) through (C) of this section are met, the flexible operation unit shall no longer be designated as a TPPU and shall no longer be subject to the provisions of this subpart after the date that the process unit is required to be in compliance with the provisions of the other subpart of this part to which it is subject. If the conditions in paragraphs (f)(10)(iii)(A) through (C) of this section are not met, the flexible operation unit shall continue to be considered a TPPU and subject to the requirements of this subpart.
(A) The product identified in (f)(10)(ii) of this section is not a thermoplastic product; and
(B) The production of the product identified in (f)(10)(ii) of this section is subject to another subpart of this part; and
(C) The owner or operator submits a notification to the Administrator of the pending change in applicability.
(g) Storage vessel ownership determination. The owner or operator shall follow the procedures specified in paragraphs (g)(1) through (g)(7) of this section to determine to which process unit a storage vessel shall be assigned. Paragraph (g)(8) of this section specifies when an owner or operator is required to redetermine to which process unit a storage vessel is assigned.
(1) If a storage vessel is already subject to another subpart of 40 CFR part 63 on September 12, 1996, said storage vessel shall be assigned to the process unit subject to the other subpart.
(2) If a storage vessel is dedicated to a single process unit, the storage vessel shall be assigned to that process unit.
(3) If a storage vessel is shared among process units, then the storage vessel shall be assigned to that process unit located on the same plant site as the storage vessel that has the greatest input into or output from the storage vessel (i.e., said process unit has the predominant use of the storage vessel).
(4) If predominant use cannot be determined for a storage vessel that is shared among process units and if only one of those process units is a TPPU subject to this subpart, the storage vessel shall be assigned to said TPPU.
(5) If predominant use cannot be determined for a storage vessel that is shared among process units and if more than one of the process units are TPPUs that have different primary products and that are subject to this subpart, then the owner or operator shall assign the storage vessel to any one of the said TPPUs.
(6) If the predominant use of a storage vessel varies from year to year, then predominant use shall be determined based on the utilization that occurred during the year preceding September 12, 1996 or based on the expected utilization for the 5 years following September 12, 1996 for existing affected sources, whichever is more representative of the expected operations for said storage vessel, and based on the expected utilization for the first 5 years after initial start-up for new affected sources. The determination of predominant use shall be reported in the Notification of Compliance Status, as required by �63.1335(e)(5)(vi).
(7) Where a storage vessel is located at a major source that includes one or more process units which place material into, or receive materials from the storage vessel, but the storage vessel is located in a tank farm (including a marine tank farm), the applicability of this subpart shall be determined according to the provisions in paragraphs (g)(7)(i) through (g)(7)(iv) of this section.
(i) The storage vessel may only be assigned to a process unit that utilizes the storage vessel and does not have an intervening storage vessel for that product (or raw material, as appropriate). With respect to any process unit, an intervening storage vessel means a storage vessel connected by hard-piping both to the process unit and to the storage vessel in the tank farm so that product or raw material entering or leaving the process unit flows into (or from) the intervening storage vessel and does not flow directly into (or from) the storage vessel in the tank farm.
(ii) If there is no process unit at the major source that meets the criteria of paragraph (g)(7)(i) of this section with respect to a storage vessel, this subpart does not apply to the storage vessel.
(iii) If there is only one process unit at the major source that meets the criteria of paragraph (g)(7)(i) of this section with respect to a storage vessel, the storage vessel shall be assigned to that process unit.
(iv) If there are two or more process units at the major source that meet the criteria of paragraph (g)(7)(i) of this section with respect to a storage vessel, the storage vessel shall be assigned to one of those process units according to the provisions of paragraphs (g)(3) through (g)(6) of this section. The predominant use shall be determined among only those process units that meet the criteria of paragraph (g)(7)(i) of this section.
(8) If the storage vessel begins receiving material from (or sending material to) a process unit that was not included in the initial determination, or ceases to receive material from (or send material to) a process unit, the owner or operator shall re-evaluate the applicability of this subpart to the storage vessel.
(h) Recovery operations equipment ownership determination. The owner or operator shall follow the procedures specified in paragraphs (h)(1) through (h)(6) of this section to determine to which process unit recovery operations equipment shall be assigned. Paragraph (h)(7) of this section specifies when an owner or operator is required to redetermine to which process unit the recovery operations equipment is assigned.
(1) If recovery operations equipment is already subject to another subpart of 40 CFR part 63 on September 12, 1996, said recovery operations equipment shall be assigned to the process unit subject to the other subpart.
(2) If recovery operations equipment is dedicated to a single process unit, the recovery operations equipment shall be assigned to that process unit.
(3) If recovery operations equipment is shared among process units, then the recovery operations equipment shall be assigned to that process unit located on the same plant site as the recovery operations equipment that has the greatest input into or output from the recovery operations equipment (i.e., said process unit has the predominant use of the recovery operations equipment).
(4) If predominant use cannot be determined for recovery operations equipment that is shared among process units and if one of those process units is a TPPU subject to this subpart, the recovery operations equipment shall be assigned to said TPPU.
(5) If predominant use cannot be determined for recovery operations equipment that is shared among process units and if more than one of the process units are TPPUs that have different primary products and that are subject to this subpart, then the owner or operator shall assign the recovery operations equipment to any one of said TPPUs.
(6) If the predominant use of recovery operations equipment varies from year to year, then predominant use shall be determined based on the utilization that occurred during the year preceding September 12, 1996 or based on the expected utilization for the 5 years following September 12, 1996 for existing affected sources, whichever is the more representative of the expected operations for said recovery operations equipment, and based on the first 5 years after initial start-up for new affected sources. The determination of predominant use shall be reported in the Notification of Compliance Status, as required by �63.1335(e)(5)(vii).
(7) If a piece of recovery operations equipment begins receiving material from a process unit that was not included in the initial determination, or ceases to receive material from a process unit that was included in the initial determination, the owner or operator shall reevaluate the applicability of this subpart to that recovery operations equipment.
(i) Changes or additions to plant sites. The provisions of paragraphs (i)(1) through (i)(4) of this section apply to owners or operators that change or add to their plant site or affected source. Paragraph (i)(5) of this section provides examples of what are and are not considered process changes for purposes of this paragraph (i) of this section. Paragraph (i)(6) of this section discusses reporting requirements.
(1) Adding a TPPU to a plant site. The provisions of paragraphs (i)(1)(i) and (i)(1)(ii) of this section apply to owners or operators that add one or more TPPUs to a plant site.
(i) If a group of one or more TPPUs that produce the same primary product is added to a plant site, the added group of one or more TPPUs and associated equipment, as listed in paragraph (a)(4) of this section, shall be a new affected source and shall comply with the requirements for a new affected source in this subpart upon initial start-up or by June 19, 2000, whichever is later, except that new affected sources whose primary product, as determined using the procedures specified in paragraph (f) of this section, is poly(ethylene terephthalate) (PET) shall be in compliance with �63.1331 upon initial start-up or February 27, 2001, whichever is later, if the added group of one or more TPPUs meets the criteria in either paragraph (i)(1)(i)(A) or (i)(1)(i)(B) of this section, and the criteria in either paragraph (i)(1)(i)(C) or (i)(1)(i)(D) of this section are met.
(A) The construction of the group of one or more TPPUs commenced after March 29, 1995.
(B) The construction or reconstruction, for process units that have become TPPUs, commenced after March 29, 1995.
(C) The group of one or more TPPUs and associated equipment, as listed in paragraph (a)(4) of this section, has the potential to emit 10 tons per year or more of any HAP or 25 tons per year or more of any combination of HAP, and the primary product of the group of one or more TPPUs is currently produced at the plant site as the primary product of an affected source; or
(D) The primary product of the group of one or more TPPUs is not currently produced at the plant site as the primary product of an affected source and the plant site meets, or after the addition of the group of one or more TPPUs and associated equipment, as listed in paragraph (a)(4) of this section, will meet the definition of a major source.
(ii) If a group of one or more TPPUs that produce the same primary product is added to a plant site, and the group of one or more TPPUs does not meet the criteria specified in paragraph (i)(1)(i) of this section, and the plant site meets, or after the addition will meet, the definition of a major source, the group of one or more TPPUs and associated equipment, as listed in paragraph (a)(4) of this section, shall comply with the requirements for an existing affected source in this subpart upon initial start-up; by June 19, 2001; or by 6 months after notifying the Administrator that a process unit has been designated as a TPPU (in accordance with paragraph (f)(3)(iii) of this section), whichever is later.
(2) Adding emission points or making process changes to existing affected sources. The provisions of paragraphs (i)(2)(i) through (i)(2)(ii) of this section apply to owners or operators that add emission points or make process changes to an existing affected source.
(i) If any components are replaced at an existing affected source such that the criteria specified in paragraphs (i)(2)(i)(A) through (i)(2)(i)(B) of this section are met, the entire affected source shall be a new affected source and shall comply with the requirements for a new affected source upon initial start-up or by June 19, 2000, whichever is later, as provided in �63.6(b), except that new affected sources whose primary product is poly(ethylene terephthalate) (PET) shall be in compliance with �63.1331 upon initial start-up or by February 27, 2001, whichever is later.
(A) The replacement of components meets the definition of reconstruction in �63.1312(b); and
(B) Such reconstruction commenced after March 29, 1995.
(ii) If any components are replaced at an existing affected source such that the criteria specified in paragraphs (i)(2)(i)(A) through (i)(2)(i)(B) of this section are not met, and that replacement of components creates one or more Group 1 emission points (i.e., either newly created Group 1 emission points or emission points that change group status from Group 2 to Group 1) or causes any other emission point to be added (i.e., Group 2 emission points, equipment leak components subject to �63.1331, continuous process vents subject to ��63.1316 through 63.1320, and heat exchange systems subject to �63.1328), the resulting emission point(s) shall be subject to the applicable requirements for an existing affected source. The resulting emission points shall be in compliance by 120 days after the date of initial start-up or by the appropriate compliance date specified in �63.1311 (i.e., February 27, 1998 for most equipment leak components subject to �63.1331, and June 19, 2001 for most emission points other than equipment leaks), whichever is later.
(iii) If an addition or process change (not including a process change that solely replaces components) is made to an existing affected source that creates one or more Group 1 emission points (i.e., either newly created Group 1 emission points or emission points that change group status from Group 2 to Group 1) or causes any other emission point to be added (i.e., Group 2 emission points, equipment leak components subject to �63.1331, continuous process vents subject to ��63.1316 through 63.1320, and heat exchange systems subject to �63.1328), the resulting emission point(s) shall be subject to the applicable requirements for an existing affected source. The resulting emission point(s) shall be in compliance by 120 days after the date of initial start-up or by the appropriate compliance date specified in �63.1311 (i.e., February 27, 1998 for most equipment leak components subject to �63.1331, and June 19, 2001 for most emission points other than equipment leaks), whichever is later.
(iv) If any process change (not including a process change that solely replaces components) is made to an existing affected source that results in baseline emissions (i.e., emissions prior to applying controls for purposes of complying with this subpart) from continuous process vents in the collection of material recovery sections within the affected source at an existing affected source producing PET using a continuous dimethyl terephthalate process changing from less than or equal to 0.12 kg organic HAP per Mg of product to greater than 0.12 kg organic HAP per Mg of product, the continuous process vents shall be subject to the applicable requirements for an existing affected source. The resulting emission point(s) shall be in compliance by 120 days after the date of initial start-up or by June 19, 2001, whichever is later.
(3) Existing affected source requirements for surge control vessels and bottoms receivers that become subject to subpart H requirements. If a process change or addition of an emission point causes a surge control vessel or bottoms receiver to become subject to �63.170 under this paragraph (i), the owner or operator shall be in compliance upon initial start-up or by June 19, 2001, whichever is later.
(4) Existing affected source requirements for compressors that become subject to the requirements of subpart H of this part. If a process change or the addition of an emission point causes a compressor to become subject to �63.164 under this paragraph (i), the owner or operator shall be in compliance upon initial start-up or by the compliance date for that compressor as specified in �63.1311(d)(1) through (d)(4), whichever is later.
(5) Determining what are and are not process changes. For purposes of paragraph (i) of this section, examples of process changes include, but are not limited to, changes in feedstock type, or process catalyst type, or the replacement, removal, or addition of recovery equipment, or equipment changes that increase production capacity. For purposes of paragraph (i) of this section, process changes do not include: Process upsets, unintentional temporary process changes, and changes that do not alter the equipment configuration and operating conditions.
(6) Reporting requirements for owners or operators that change or add to their plant site or affected source. Owners or operators that change or add to their plant site or affected source, as discussed in paragraphs (i)(1) and (i)(2) of this section, shall submit a report as specified in �63.1335(e)(7)(iv).
(j) Applicability of this subpart. (1) The emission limitations set forth in this subpart and the emission limitations referred to in this subpart shall apply at all times except during periods of non-operation of the affected source (or specific portion thereof) resulting in cessation of the emissions to which this subpart applies.
(2) The emission limitations set forth in subpart H of this part, as referred to in �63.1331, shall apply at all times except during periods of non-operation of the affected source (or specific portion thereof) in which the lines are drained and depressurized, resulting in cessation of the emissions to which �63.1331 applies.
(3) The owner or operator shall not shut down items of equipment that are required or utilized for compliance with this subpart during times when emissions (or, where applicable, wastewater streams or residuals) are being routed to such items of equipment, if the shutdown would contravene requirements of this subpart applicable to such items of equipment.
(4) General duty. At all times, the owner or operator must operate and maintain any affected source, including associated air pollution control equipment and monitoring equipment, in a manner consistent with safety and good air pollution control practices for minimizing emissions. The general duty to minimize emissions does not require the owner or operator to make any further efforts to reduce emissions if levels required by the applicable standard have been achieved. Determination of whether a source is operating in compliance with operation and maintenance requirements will be based on information available to the Administrator, which may include, but is not limited to, monitoring results, review of operation and maintenance procedures, review of operation and maintenance records, and inspection of the source.
(k) Affirmative defense for violation of emission standards during malfunction. In response to an action to enforce the standards set forth in this subpart, the owner or operator may assert an affirmative defense to a claim for civil penalties for violations of such standards that are caused by malfunction, as defined at �63.2. Appropriate penalties may be assessed if the owner or operator fails to meet their burden of proving all of the requirements in the affirmative defense. The affirmative defense shall not be available for claims for injunctive relief.
(1) Assertion of affirmative defense. To establish the affirmative defense in any action to enforce such a standard, the owner or operator must timely meet the reporting requirements in paragraph (k)(2) of this section, and must prove by a preponderance of evidence that:
(i) The violation:
(A) Was caused by a sudden, infrequent, and unavoidable failure of air pollution control equipment, process equipment, or a process to operate in a normal or usual manner; and
(B) Could not have been prevented through careful planning, proper design or better operation and maintenance practices; and
(C) Did not stem from any activity orevent that could have been foreseen and avoided, or planned for; and
(D) Was not part of a recurring pattern indicative of inadequate design, operation, or maintenance; and
(ii) Repairs were made as expeditiously as possible when a violation occurred; and
(iii) The frequency, amount, and duration of the violation (including any bypass) were minimized to the maximum extent practicable; and
(iv) If the violation resulted from a bypass of control equipment or a process, then the bypass was unavoidable to prevent loss of life, personal injury, or severe property damage; and
(v) All possible steps were taken to minimize the impact of the violation on ambient air quality, the environment, and human health; and
(vi) All emissions monitoring and control systems were kept in operation if at all possible, consistent with safety and good air pollution control practices; and
(vii) All of the actions in response to the violation were documented by properly signed, contemporaneous operating logs; and
(viii) At all times, the affected source was operated in a manner consistent with good practices for minimizing emissions; and
(ix) A written root cause analysis has been prepared, the purpose of which is to determine, correct, and eliminate the primary causes of the malfunction and the violation resulting from the malfunction event at issue. The analysis shall also specify, using best monitoring methods and engineering judgment, the amount of any emissions that were the result of the malfunction.
(2) Report. The owner or operator seeking to assert an affirmative defense shall submit a written report to the Administrator, with all necessary supporting documentation, that explains how it has met the requirements set forth in paragraph (k)(1) of this section. This affirmative defense report shall be included in the first periodic compliance report, deviation report, or excess emission report otherwise required after the initial occurrence of the violation of the relevant standard (which may be the end of any applicable averaging period). If such compliance report, deviation report, or excess emission report is due less than 45 days after the initial occurrence of the violation, the affirmative defense report may be included in the second compliance report, deviation report, or excess emission report due after the initial occurrence of the violation of the relevant standard.
[61 FR 48229, Sept. 12, 1996, as amended at 65 FR 38094, June 19, 2000; 66 FR 36937, July 16, 2001; 71 FR 20460, Apr. 20, 2006; 79 FR 17363, Mar. 27, 2014]
�63.1311 Compliance dates and relationship of this subpart to existing applicable rules.
(a) Affected sources are required to achieve compliance on or before the dates specified in paragraphs (b) through (d) of this section. Paragraph (e) of this section provides information on requesting compliance extensions. Paragraphs (f) through (n) of this section discuss the relationship of this subpart to subpart A of this part and to other applicable rules. Where an override of another authority of the Act is indicated in this subpart, only compliance with the provisions of this subpart is required. Paragraph (o) of this section specifies the meaning of time periods.
(b) New affected sources that commence construction or reconstruction after March 29, 1995 shall be in compliance with this subpart (except �63.1331(a)(9)(iii)) upon initial start-up or by June 19, 2000, whichever is later, except that new affected sources whose primary product, as determined using the procedures specified in �63.1310(f), is PET shall be in compliance with �63.1331 (except �63.1331(a)(9)(iii)) upon initial start-up or August 6, 2002, whichever is later. New affected sources that commenced construction or reconstruction after March 25, 1995, but on or before January 9, 2012, shall be in compliance with the pressure relief device monitoring requirements of �63.1331(a)(9)(iii) no later than March 27, 2017. New affected sources that commenced construction or reconstruction after January 9, 2012, shall be in compliance with the pressure relief device monitoring requirements of �63.1331(a)(9)(iii) upon initial startup or by March 27, 2014, whichever is later.
(c) Existing affected sources shall be in compliance with this subpart (except for �63.1331 for which compliance is covered by paragraph (d) of this section) no later than June 19, 2001, as provided in �63.6(c), unless an extension has been granted as specified in paragraph (e) of this section, except that the compliance date for the provisions contained in �63.1329 is extended to March 27, 2014, for existing affected sources whose primary product, as determined using the procedures specified in �63.1310(f), is PET using a continuous terephthalic acid high viscosity multiple end finisher process.
(d) Except as provided for in paragraphs (d)(1) through (7) of this section, existing affected sources shall be in compliance with �63.1331 no later than June 19, 2001, unless an extension has been granted pursuant to paragraph (e) of this section.
(1) Compliance with the compressor provisions of �63.164 shall occur no later than February 27, 1998, for any compressor meeting one or more of the criteria in paragraphs (d)(1)(i) through (d)(1)(iv) of this section, if the work can be accomplished without a process unit shutdown:
(i) The seal system will be replaced;
(ii) A barrier fluid system will be installed;
(iii) A new barrier fluid will be utilized which requires changes to the existing barrier fluid system; or
(iv) The compressor will be modified to permit connecting the compressor to a fuel gas system or a closed vent system or modified so that emissions from the compressor can be routed to a process.
(2) Compliance with the compressor provisions of �63.164 shall occur no later than March 12, 1998 for any compressor meeting all the criteria in paragraphs (d)(2)(i) through (d)(2)(iv) of this section:
(i) The compressor meets one or more of the criteria specified in paragraphs (d)(1)(i) through (d)(1)(iv) of this section;
(ii) The work can be accomplished without a process unit shutdown ;
(iii) The additional time is actually necessary due to the unavailability of parts beyond the control of the owner or operator; and
(iv) The owner or operator submits the request for a compliance extension to the appropriate Environmental Protection Agency (EPA) Regional Office at the address listed in �63.13 no later than June 16, 1997. The request for a compliance extension shall contain the information specified in �63.6(i)(6)(i)(A), (B), and (D). Unless the EPA Regional Office objects to the request for a compliance extension within 30 days after receipt of the request, the request shall be deemed approved.
(3) If compliance with the compressor provisions of �63.164 cannot reasonably be achieved without a process unit shutdown, the owner or operator shall achieve compliance no later than September 12, 1998. The owner or operator who elects to use this provision shall submit a request for a compliance extension in accordance with the requirements of paragraph (d)(2)(iv) of this section.
(4) Compliance with the compressor provisions of �63.164 shall occur not later than September 12, 1999 for any compressor meeting one or more of the criteria in paragraphs (d)(4)(i) through (d)(4)(iii) of this section. The owner or operator who elects to use these provisions shall submit a request for an extension of compliance in accordance with the requirements of paragraph (d)(2)(iv) of this section.
(i) Compliance cannot be achieved without replacing the compressor;
(ii) Compliance cannot be achieved without recasting the distance piece; or
(iii) Design modifications are required to connect to a closed-vent or recovery system.
(5) Compliance with the provisions of �63.170 shall occur no later than June 19, 2001.
(6) Notwithstanding paragraphs (d)(1) through (5) of this section, existing affected sources whose primary product, as determined using the procedures specified in �63.1310(f), is PET shall be in compliance with �63.1331 (except �63.1331(a)(9)(iii)) no later than August 6, 2002.
(7) Compliance with the pressure relief device monitoring provisions of �63.1331(a)(9)(iii) shall occur no later than March 27, 2017.
(e) Pursuant to Section 112(i)(3)(B) of the Act, an owner or operator may request an extension allowing the existing affected source up to 1 additional year to comply with Section 112(d) standards. For purposes of this subpart, a request for an extension shall be submitted to the permitting authority as part of the operating permit application or to the Administrator as a separate submittal or as part of the Precompliance Report. Requests for extensions shall be submitted no later than 120 days prior to the compliance dates specified in paragraphs (b) through (d) of this section, or as specified elsewhere in this subpart, except as provided in paragraph (e)(3) of this section. The dates specified in �63.6(i) for submittal of requests for extensions shall not apply to this subpart.
(1) A request for an extension of compliance shall include the data described in �63.6(i)(6)(i) (A),(B), and (D).
(2) The requirements in �63.6(i)(8) through �63.6(i)(14) shall govern the review and approval of requests for extensions of compliance with this subpart.
(3) An owner or operator may submit a compliance extension request after the date specified in paragraph (e) of this section, provided that the need for the compliance extension arose after that date, and the need arose due to circumstances beyond reasonable control of the owner or operator. This request shall include, in addition to the information specified in paragraph (e)(1) of this section, a statement of the reasons additional time is needed and the date when the owner or operator first learned of the circumstances necessitating a request for compliance extension under this paragraph (e)(3).
(f) Table 1 of this subpart specifies the provisions of subpart A of this part that apply and those that do not apply to owners and operators of affected sources subject to this subpart.
(g)(1) After the compliance dates specified in this section, an affected source subject to this subpart that is also subject to the provisions of subpart I of this part, is required to comply only with the provisions of this subpart. After the compliance dates specified in this section, said affected source shall no longer be subject to subpart I of this part.
(2) Said affected sources that elected to comply with subpart I of this part through a quality improvement program, as specified in �63.175 or �63.176 or both, may elect to continue these programs without interruption as a means of complying with this subpart. In other words, becoming subject to this subpart does not restart or reset the �compliance clock� as it relates to reduced burden earned through a quality improvement program.
(h) After the compliance dates specified in this section, a storage vessel that is assigned to an affected source subject to this subpart and that is also subject to the provisions of 40 CFR part 60, subpart Kb, is required to comply only with the provisions of this subpart. After the compliance dates specified in this section, said storage vessel shall no longer be subject to 40 CFR part 60, subpart Kb.
(i)(1) Except as provided in paragraphs (i)(2) and (i)(3) of this section, after the compliance dates specified in this section, affected sources producing PET using a continuous terephthalic acid process, producing PET using a continuous dimethyl terephthalate process, or producing polystyrene resin using a continuous process subject to this subpart that are also subject to the provisions of 40 CFR part 60, subpart DDD, are required to comply only with the provisions of this subpart. After the compliance dates specified in this section, said sources shall no longer be subject to 40 CFR part 60, subpart DDD.
(2) Existing affected sources producing PET using a continuous terephthalic acid high viscosity multiple end finisher process shall continue to be subject to 40 CFR 60.562-1(c)(2)(ii)(C). Once said affected source becomes subject to and achieves compliance with �63.1329(c) of this subpart, said affected source is no longer subject to the provisions of 40 CFR part 60, subpart DDD.
(3) Existing affected sources producing PET using a continuous terephthalic acid process, but not using a continuous terephthalic acid high viscosity multiple end finisher process, that are subject to and complying with 40 CFR 60.562-1(c)(2)(ii)(B) shall continue to comply with said section. Existing affected sources producing PET using a continuous dimethyl terephthalic process that are subject to and complying with 40 CFR 60.562-1(c)(1)(ii)(B) shall continue to comply with said section.
(j) Owners or operators of affected sources subject to this subpart that are also subject to the provisions of subpart Q of this part shall comply with both subparts.
(k) After the compliance dates specified in this section, an affected source subject to this subpart that is also subject to the provisions of 40 CFR part 60, subpart VV, is required to comply only with the provisions of this subpart. After the compliance dates specified in this section, said source shall no longer be subject to 40 CFR part 60, subpart VV.
(l) After the compliance dates specified in this section, a distillation operation that is assigned to an affected source subject to this subpart that is also subject to the provisions of 40 CFR part 60, subpart NNN, is required to comply only with the provisions of this subpart. After the compliance dates specified in this section, the distillation operation shall no longer be subject to 40 CFR part 60, subpart NNN.
(m) Applicability of other regulations for monitoring, recordkeeping or reporting with respect to combustion devices, recovery devices, or recapture devices. After the compliance dates specified in this subpart, if any combustion device, recovery device or recapture device subject to this subpart is also subject to monitoring, recordkeeping, and reporting requirements in 40 CFR part 264 subpart AA or CC, or is subject to monitoring and recordkeeping requirements in 40 CFR part 265 subpart AA or CC and the owner or operator complies with the periodic reporting requirements under 40 CFR part 264 subpart AA or CC that would apply to the device if the facility had final-permitted status, the owner or operator may elect to comply either with the monitoring, recordkeeping and reporting requirements of this subpart, or with the monitoring, recordkeeping and reporting requirements in 40 CFR parts 264 and/or 265, as described in this paragraph, which shall constitute compliance with the monitoring, recordkeeping and reporting requirements of this subpart. The owner or operator shall identify which option has been selected in the Notification of Compliance Status required by �63.1335(e)(5).
(n) Applicability of other requirements for heat exchange systems or waste management units. Paragraphs (n)(1) and (n)(2) of this section address instances in which certain requirements from other regulations also apply for the same heat exchange system(s) or waste management unit(s) that are subject to this subpart.
(1) After the applicable compliance date specified in this subpart, if a heat exchange system subject to this subpart is also subject to a standard identified in paragraphs (n)(1)(i) or (ii) of this section, compliance with the applicable provisions of the standard identified in paragraphs (n)(1)(i) or (ii) of this section shall constitute compliance with the applicable provisions of this subpart with respect to that heat exchange system.
(i) Subpart F of this part.
(ii) A subpart of this part which requires compliance with �63.104 (e.g., subpart U of this part).
(2) After the applicable compliance date specified in this subpart, if any waste management unit subject to this subpart is also subject to a standard identified in paragraph (n)(2)(i) or (ii) of this section, compliance with the applicable provisions of the standard identified in paragraph (n)(2)(i) or (ii) of this section shall constitute compliance with the applicable provisions of this subpart with respect to that waste management unit.
(i) Subpart G of this part.
(ii) A subpart of this part which requires compliance with ��63.132 through 63.147.
(o) All terms in this subpart that define a period of time for completion of required tasks (e.g., weekly, monthly, quarterly, annual), unless specified otherwise in the section or paragraph that imposes the requirement, refer to the standard calendar periods.
(1) Notwithstanding time periods specified in this subpart for completion of required tasks, such time periods may be changed by mutual agreement between the owner or operator and the Administrator, as specified in subpart A of this part (e.g., a period could begin on the compliance date or another date, rather than on the first day of the standard calendar period). For each time period that is changed by agreement, the revised period shall remain in effect until it is changed. A new request is not necessary for each recurring period.
(2) Where the period specified for compliance is a standard calendar period, if the initial compliance date occurs after the beginning of the period, compliance shall be required according to the schedule specified in paragraphs (o)(2)(i) or (o)(2)(ii) of this section, as appropriate.
(i) Compliance shall be required before the end of the standard calendar period within which the compliance deadline occurs, if there remain at least 3 days for tasks that must be performed weekly, at least 2 weeks for tasks that must be performed monthly, at least 1 month for tasks that must be performed each quarter, or at least 3 months for tasks that must be performed annually; or
(ii) In all other cases, compliance shall be required before the end of the first full standard calendar period after the period within which the initial compliance deadline occurs.
(3) In all instances where a provision of this subpart requires completion of a task during each of multiple successive periods, an owner or operator may perform the required task at any time during the specified period, provided that the task is conducted at a reasonable interval after completion of the task during the previous period.
[61 FR 48229, Sept. 12, 1996, as amended at 62 FR 1838, Jan. 14, 1997; 62 FR 30995, June 6, 1997; 63 FR 9945, Feb. 27, 1998; 63 FR 15315, Mar. 31, 1998; 64 FR 11547, Mar. 9, 1999; 64 FR 30409, June 8, 1999; 64 FR 35028, June 30, 1999; 65 FR 38100, June 19, 2000; 66 FR 11236, Feb. 23, 2001; 66 FR 11546, Feb. 26, 2001; 66 FR 36937, July 16, 2001; 66 FR 40907, Aug. 6, 2001; 79 FR 17364, Mar. 27, 2014]
�63.1312 Definitions.
(a) The following terms used in this subpart shall have the meaning given them in �63.2, �63.101, �63.111, �63.161, or the Act, as specified after each term:
Act (�63.2)
Administrator (�63.2)
Automated monitoring and recording system (�63.111)
Boiler (�63.111)
Bottoms receiver (�63.161)
By compound (�63.111)
By-product (�63.101)
Car-seal (�63.111)
Closed-vent system (�63.111)
Combustion device (�63.111)
Commenced (�63.2)
Compliance date (�63.2)
Connector (�63.161)
Continuous monitoring system (�63.2)
Distillation unit (�63.111)
Duct work (�63.161)
Emission limitation (Section 302(k) of the Act)
Emission standard (�63.2)
Emissions averaging (�63.2)
EPA (�63.2)
Equipment leak (�63.101)
External floating roof (�63.111)
Fill or filling (�63.111)
First attempt at repair (�63.161)
Fixed capital cost (�63.2)
Flame zone (�63.111)
Floating roof (�63.111)
Flow indicator (�63.111)
Fuel gas system (�63.101)
Halogens and hydrogen halides (�63.111)
Hard-piping (�63.111)
Hazardous air pollutant (�63.2)
Impurity (�63.101)
In organic hazardous air pollutant service or in organic HAP service (�63.161)
Incinerator (�63.111)
Instrumentation system (�63.161)
Internal floating roof (�63.111)
Lesser quantity (�63.2)
Major source (�63.2)
Malfunction (�63.2)
Oil-water separator or organic-water separator (�63.111)
Open-ended valve or line (�63.161)
Operating permit (�63.101)
Organic monitoring device (�63.111)
Owner or operator (�63.2)
Performance evaluation (�63.2)
Performance test (�63.2)
Permitting authority (�63.2)
Plant site (�63.101)
Potential to emit (�63.2)
Pressure release (�63.161)
Pressure relief device or valve (�63.161)
Primary fuel (�63.111)
Process heater (�63.111)
Process unit shutdown (�63.161)
Process wastewater (�63.101)
Process wastewater stream (�63.111)
Reactor (�63.111)
Recapture device (�63.101)
Repaired (�63.161)
Research and development facility (�63.101)
Routed to a process or route to a process (�63.161)
Run (�63.2)
Secondary fuel (�63.111)
Sensor (�63.161)
Specific gravity monitoring device (�63.111)
State (�63.2)
Stationary Source (�63.2)
Surge control vessel (�63.161)
Temperature monitoring device (�63.111)
Test method (�63.2)
Treatment process (�63.111)
Unit operation (�63.101)
Visible emission (�63.2)
(b) All other terms used in this subpart shall have the meaning given them in this section. If a term is defined in �63.2, �63.101, �63.111, or �63.161 and in this section, it shall have the meaning given in this section for purposes of this subpart.
Acrylonitrile butadiene styrene latex resin (ABS latex) means ABS produced through an emulsion process; however, the product is not coagulated or dried as typically occurs in an emulsion process.
Acrylonitrile butadiene styrene resin (ABS) means styrenic terpolymers consisting primarily of acrylonitrile, 1,3-butadiene, and styrene monomer units. ABS is usually composed of a styrene-acrylonitrile copolymer continuous phase with dispersed butadiene derived rubber.
Acrylonitrile styrene acrylate resin (ASA) means a resin formed using acrylic ester-based elastomers to impact-modify styrene acrylonitrile resin matrices.
Affected source is defined in �63.1310(a).
Affirmative defense means in the context of an enforcement proceeding, a response or defense put forward by a defendant, regarding which the defendant has the burden of proof, and the merits of which are independently and objectively evaluated in a judicial or administrative proceeding.
Aggregate batch vent stream means a gaseous emission stream containing only the exhausts from two or more batch process vents that are ducted, hardpiped, or otherwise connected together for a continuous flow.
Alpha methyl styrene acrylonitrile resin (AMSAN) means copolymers consisting primarily of alpha methyl styrene and acrylonitrile.
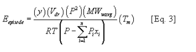
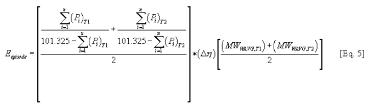
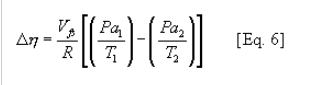
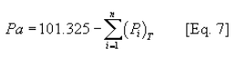
Annual average batch vent concentration is determined using Equation 1, as described in �63.1323(h)(2) for halogenated compounds.
Annual average batch vent flow rate is determined by the procedures in �63.1323(e)(3).
Annual average concentration, as used in the wastewater provisions, means the flow-weighted annual average concentration, as determined according to the procedures specified in �63.144(b), with the exceptions noted in �63.1330, for the purposes of this subpart.
Annual average flow rate, as used in the wastewater provisions, means the annual average flow rate, as determined according to the procedures specified in �63.144(c), with the exceptions noted in �63.1330, for the purposes of this subpart.
Average batch vent concentration is determined by the procedures in �63.1323(b)(5)(iii) for HAP concentrations and is determined by the procedures in �63.1323(h)(1)(iii) for organic compounds containing halogens and hydrogen halides.
Average batch vent flow rate is determined by the procedures in �63.1323(e)(1) and (e)(2).
Batch cycle means the operational step or steps, from start to finish, that occur as part of a batch unit operation.
Batch emission episode means a discrete emission venting episode associated with a single batch unit operation. Multiple batch emission episodes may occur from a single batch unit operation.
Batch mass input limitation means an enforceable restriction on the total mass of HAP or material that can be input to a batch unit operation in one year.
Batch mode means the discontinuous bulk movement of material through a unit operation. Mass, temperature, concentration, and other properties may vary with time. For a unit operation operated in a batch mode (i.e., batch unit operation), the addition of material and withdrawal of material do not typically occur simultaneously.
Batch process means, for the purposes of this subpart, a process where the reactor(s) is operated in a batch mode.
Batch process vent means a process vent with annual organic HAP emissions greater than 225 kilograms per year from a batch unit operation within an affected source. Annual organic HAP emissions are determined as specified in �63.1323(b) at the location specified in �63.1323(a)(2).
Batch unit operation means a unit operation operated in a batch mode.
Combined vent stream, as used in reference to batch process vents, continuous process vents, and aggregate batch vent streams, means the emissions from a combination of two or more of the aforementioned types of process vents. The primary occurrence of a combined vent stream is the combined emissions from a continuous process vent and a batch process vent.
Combustion device burner means a device designed to mix and ignite fuel and air to provide a flame to heat and oxidize waste organic vapors in a combustion device.
Compounding unit means a unit operation which blends, melts, and resolidifies solid polymers for the purpose of incorporating additives, colorants, or stabilizers into the final thermoplastic product. A unit operation whose primary purpose is to remove residual monomers from polymers is not a compounding unit.
Construction means the on-site fabrication, erection, or installation of an affected source. Construction also means the on-site fabrication, erection, or installation of a process unit or combination of process units which subsequently becomes an affected source or part of an affected source, due to a change in primary product.
Continuous mode means the continuous movement of material through a unit operation. Mass, temperature, concentration, and other properties typically approach steady-state conditions. For a unit operation operated in a continuous mode (i.e., continuous unit operation), the simultaneous addition of raw material and withdrawal of product is typical.
Continuous process means, for the purposes of this subpart, a process where the reactor(s) is operated in a continuous mode.
Continuous process vent means a process vent containing greater than 0.005 weight percent total organic HAP from a continuous unit operation within an affected source. The total organic HAP weight percent is determined after the last recovery device, as described in �63.115(a), and is determined as specified in �63.115(c).
Continuous record means documentation, either in hard copy or computer readable form, of data values measured at least once every 15 minutes and recorded at the frequency specified in �63.1335(d) or �63.1335(h).
Continuous recorder means a data recording device that either records an instantaneous data value at least once every 15 minutes or records 1-hour or more frequent block average values.
Continuous unit operation means a unit operation operated in a continuous mode.
Control device is defined in �63.111, except that the term �continuous process vents subject to �63.1315� shall apply instead of the term �process vents,� for the purpose of this subpart.
Drawing unit means a unit operation which converts polymer into a different shape by melting or mixing the polymer and then pulling it through an orifice to create a continuously extruded product.
Emission point means an individual continuous process vent, batch process vent, storage vessel, waste management unit, equipment leak, heat exchange system, or process contact cooling tower, or equipment subject to �63.149.
Emulsion process means a process where the monomer(s) is dispersed in droplets throughout the water phase with the aid of an emulsifying agent such as soap or a synthetic emulsifier. The polymerization occurs either within the emulsion droplet or in the aqueous phase.
Equipment means, for the purposes of the provisions in �63.1331 and the requirements in subpart H that are referred to in �63.1331, each pump, compressor, agitator, pressure relief device, sampling connection system, open-ended valve or line, valve, connector, surge control vessel, bottoms receiver, and instrumentation system in organic hazardous air pollutant service; and any control devices or systems required by subpart H of this part.
Existing affected source is defined in �63.1310(a)(3).
Existing process unit means any process unit that is not a new process unit.
Expandable polystyrene resin (EPS) means a polystyrene bead to which a blowing agent has been added using either an in-situ suspension process or a post-impregnation suspension process.
Extruding unit means a unit operation which converts polymer into a different shape by melting or mixing the polymer and then forcing it through an orifice to create a continuously extruded product.
Flexible operation unit means a process unit that manufactures different chemical products, polymers, or resins periodically by alternating raw materials or operating conditions. These units are also referred to as campaign plants or blocked operations.
Group 1 batch process vent means a batch process vent releasing annual organic HAP emissions greater than the level specified in �63.1323(d) and with a cutoff flow rate, calculated in accordance with �63.1323(f), greater than or equal to the annual average batch vent flow rate. Annual organic HAP emissions and annual average batch vent flow rate are determined at the exit of the batch unit operation, as described in �63.1323(a)(2). Annual organic HAP emissions are determined as specified in �63.1323(b), and annual average batch vent flow rate is determined as specified in �63.1323(e).
Group 2 batch process vent means a batch process vent that does not fall within the definition of a Group 1 batch process vent.
Group 1 continuous process vent means a continuous process vent releasing a gaseous emission stream that has a total resource effectiveness index value, calculated according to �63.115, less than or equal to 1.0 unless the continuous process vent is associated with existing thermoplastic product process units that produce methyl methacrylate butadiene styrene resin, then said vent falls within the Group 1 definition if the released emission stream has a total resource effectiveness index value less than or equal to 3.7.
Group 2 continuous process vent means a continuous process vent that does not fall within the definition of a Group 1 continuous process vent.
Group 1 storage vessel means a storage vessel at an existing affected source that meets the applicability criteria specified in Table 2 or Table 3 of this subpart, or a storage vessel at a new affected source that meets the applicability criteria specified in Table 4 or Table 5 of this subpart.
Group 2 storage vessel means a storage vessel that does not fall within the definition of a Group 1 storage vessel.
Group 1 wastewater stream means a wastewater stream consisting of process wastewater from an existing or new affected source that meets the criteria for Group 1 status in �63.132(c) and/or that meets the criteria for Group 1 status in �63.132(d), with the exceptions listed in �63.1330(b)(8) for the purposes of this subpart (i.e., for organic HAP as defined in this section).
Group 2 wastewater stream means any process wastewater stream that does not meet the definition of a Group 1 wastewater stream.
Halogenated aggregate batch vent stream means an aggregate batch vent stream determined to have a total mass emission rate of halogen atoms contained in organic compounds of 3,750 kilograms per year or greater determined by the procedures specified in �63.1323(h).
Halogenated batch process vent means a batch process vent determined to have a mass emission rate of halogen atoms contained in organic compounds of 3,750 kilograms per year or greater determined by the procedures specified in �63.1323(h).
Halogenated continuous process vent means a continuous process vent determined to have a mass emission rate of halogen atoms contained in organic compounds of 0.45 kilograms per hour or greater determined by the procedures specified in �63.115(d)(2)(v).
Heat exchange system means any cooling tower system or once-through cooling water system (e.g., river or pond water) designed and intended to operate to not allow contact between the cooling medium and process fluid or gases (i.e., a noncontact system). A heat exchange system can include more than one heat exchanger and can include recirculating or once-through cooling systems.
Highest-HAP recipe for a product means the recipe of the product with the highest total mass of HAP charged to the reactor during the production of a single batch of product.
Initial start-up means the first time a new or reconstructed affected source begins production of a thermoplastic product, or, for equipment added or changed as described in �63.1310(i), the first time the equipment is put into operation to produce a thermoplastic product. Initial start-up does not include operation solely for testing equipment. Initial start-up does not include subsequent start-ups of an affected source or portion thereof following malfunctions or shutdowns or following changes in product for flexible operation units or following recharging of equipment in batch operation. Further, for purposes of �63.1311 and �63.1331, initial start-up does not include subsequent start-ups of affected sources or portions thereof following malfunctions or process unit shutdowns.
Maintenance wastewater is defined in �63.101, except that the term �thermoplastic product process unit� shall apply wherever the term �chemical manufacturing process unit� is used. Further, the generation of wastewater from the routine rinsing or washing of equipment in batch operation between batches is not maintenance wastewater, but is considered to be process wastewater, for the purposes of this subpart.
Mass process means a polymerization process carried out through the use of thermal energy. Mass processes do not utilize emulsifying or suspending agents, but may utilize catalysts or other additives.
Material recovery section means, for PET plants, the equipment that recovers by-product methanol from any process section for use, reuse, or sale, or the equipment that separates materials containing by-product methanol from any process section for off-site purification or treatment with the intent to recover methanol for reuse. For polystyrene plants, material recovery section means the equipment that recovers unreacted styrene from any process section for use, reuse, or sale, or the equipment that separates materials containing unreacted styrene from any process section for off-site purification or treatment with the intent to recover styrene for reuse. Equipment used to store recovered materials (i.e., ethylene glycol, methanol, or styrene) is not included. Equipment designed to recover or separate materials from the polymer product is to be included in this process section, provided that at the time of initial compliance some of the unreacted or by-product material is recovered for return to the TPPU, or sale, or provided that some of the separated material is sent for off-site purification or treatment with the intent to recover the unreacted or by-product material for reuse. Otherwise, such equipment is to be assigned to one of the other process sections, as appropriate. If equipment is used to recover unreacted or by-product material and return it directly to the same piece of process equipment from which it was emitted, then that recovery equipment is considered part of the process section that contains the process equipment. On the other hand, if equipment is used to recover unreacted or by-product material and return it to a different piece of process equipment in the same process section, that recovery equipment is considered part of a material recovery section. Equipment used for the on-site recovery of ethylene glycol from PET plants, however, is not included in the material recovery section; such equipment is to be included in the polymerization reaction section. Equipment used for the on-site recovery of both ethylene glycol and any other materials from PET plants is not included in the material recovery section; this equipment is to be included in the polymerization reaction section. Such equipment includes both contact and non-contact condensers removing ethylene glycol from vapor streams coming out of polymerization vessels.
Maximum true vapor pressure is defined in �63.111, except that the terms �transfer� or �transferred� shall not apply for purposes of this subpart.
Methyl methacrylate acrylonitrile butadiene styrene resin (MABS) means styrenic polymers containing methyl methacrylate, acrylonitrile, butadiene, and styrene. MABS is prepared by dissolving or dispersing polybutadiene rubber in a mixture of methyl methacrylate-acrylonitrile-styrene and butadiene monomer. The graft polymerization is carried out by a bulk or a suspension process.
Methyl methacrylate butadiene styrene resin (MBS) means styrenic polymers containing methyl methacrylate, butadiene, and styrene. Production of MBS is achieved using an emulsion process in which methyl methacrylate and styrene are grafted onto a styrene-butadiene rubber.
Multicomponent system means, as used in conjunction with batch process vents, a stream whose liquid and/or vapor contains more than one compound.
New process unit means a process unit for which the construction or reconstruction commenced after March 29, 1995.
Nitrile resin means a resin produced through the polymerization of acrylonitrile, methyl acrylate, and butadiene latex using an emulsion process.
On-site or On site means, with respect to records required to be maintained by this subpart or required by another subpart referenced by this subpart, that records are stored at a location within a major source which encompasses the affected source. On-site includes, but is not limited to, storage at the affected source or TPPU to which the records pertain, or storage in central files elsewhere at the major source.
Operating day means the period defined by the owner or operator in the Notification of Compliance Status required by �63.1335(e)(5). The operating day is the period for which daily average monitoring values and batch cycle daily average monitoring values are determined.
Organic hazardous air pollutant(s) (organic HAP) means one or more of the chemicals listed in Table 6 of this subpart or any other chemical which is:
(1) Knowingly produced or introduced into the manufacturing process other than as an impurity; and
(2) Listed in Table 2 of subpart F of this part.
PET using a dimethyl terephthalate process means the manufacturing of PET based on the esterification of dimethyl terephthalate with ethylene glycol to form the intermediate monomer bis-(2-hydroxyethyl)-terephthalate that is subsequently polymerized to form PET.
PET using a terephthalic acid process means the manufacturing of PET based on the esterification reaction of terephthalic acid with ethylene glycol to form the intermediate monomer bis-(2-hydroxyethyl)-terephthalate that is subsequently polymerized to form PET.
Poly(ethylene terephthalate) resin (PET) means a polymer or copolymer comprised of at least 50 percent bis-(2-hydroxyethyl)-terephthalate by weight.
Polymerization reaction section means the equipment designed to cause monomer(s) to react to form polymers, including equipment designed primarily to cause the formation of short polymer chains (e.g., oligomers or low molecular weight polymers), but not including equipment designed to prepare raw materials for polymerization (e.g., esterification vessels). For the purposes of these standards, the polymerization reaction section begins with the equipment used to transfer the materials from the raw materials preparation section and ends with the last vessel in which polymerization occurs. Equipment used for the on-site recovery of ethylene glycol from PET plants is included in this process section, rather than in the material recovery process section.
Polystyrene resin means a thermoplastic polymer or copolymer comprised of at least 80 percent styrene or para-methylstyrene by weight.
Primary product is defined in and determined by the procedures specified in �63.1310(f).
Process contact cooling tower system means a cooling tower system that is designed and operated to allow contact between the cooling medium and process fluid or gases.
Process section means the equipment designed to accomplish a general but well-defined task in polymers production. Process sections include, but are not limited to, raw materials preparation, polymerization reaction, and material recovery. A process section may be dedicated to a single TPPU or common to more than one TPPU.
Process unit means a collection of equipment assembled and connected by hardpiping or duct work, used to process raw materials and to manufacture a product.
Process vent means a gaseous emission stream from a unit operation that is discharged to the atmosphere either directly or after passing through one or more control, recovery, or recapture devices. Unit operations that may have process vents are condensers, distillation units, reactors, or other unit operations within the TPPU. Process vents exclude pressure releases, gaseous streams routed to a fuel gas system(s), and leaks from equipment regulated under �63.1331. A gaseous emission stream is no longer considered to be a process vent after the stream has been controlled and monitored in accordance with the applicable provisions of this subpart.
Product means a polymer produced using the same monomers and varying in additives (e.g., initiators, terminators, etc.); catalysts; or in the relative proportions of monomers, that is manufactured by a process unit. With respect to polymers, more than one recipe may be used to produce the same product. As an example, styrene acrylonitrile resin and methyl methacrylate butadiene styrene resin each represent a different product. Product also means a chemical that is not a polymer, that is manufactured by a process unit. By-products, isolated intermediates, impurities, wastes, and trace contaminants are not considered products.
Raw materials preparation section means the equipment at a polymer manufacturing plant designed to prepare raw materials, such as monomers and solvents, for polymerization. For the purposes of the standards in this subpart, this process section includes the equipment used to transfer raw materials from storage and/or the equipment used to transfer recovered material from the material recovery process sections to the raw material preparation section, and ends with the last piece of equipment that prepares the material for polymerization. The raw materials preparation section may include equipment that is used to purify, dry, or otherwise treat raw materials or raw and recovered materials together; to activate catalysts; or to promote esterification including the formation of some short polymer chains (oligomers). The raw materials preparation section does not include equipment that is designed primarily to accomplish the formation of oligomers, the treatment of recovered materials alone, or the storage of raw or recovered materials.
Recipe means a specific composition, from among the range of possible compositions that may occur within a product, as defined in this section. A recipe is determined by the proportions of monomers and, if present, other reactants and additives that are used to make the recipe. For example, acrylonitrile butadiene styrene latex resin (ABS latex) without additives; ABS latex with an additive; and ABS latex with different proportions of acrylonitrile to butadiene are all different recipes of the same product, ABS latex.
Reconstruction means the replacement of components of an affected source or of a previously unaffected stationary source that becomes an affected source as a result of the replacement, to such an extent that:
(1) The fixed capital cost of the new components exceeds 50 percent of the fixed capital cost that would be required to construct a comparable new source; and
(2) It is technologically and economically feasible for the reconstructed source to meet the provisions of this subpart.
Recovery device means:
(1) An individual unit of equipment capable of and normally used for the purpose of recovering chemicals for:
(i) Use;
(ii) Reuse;
(iii) Fuel value (i.e., net heating value); or
(iv) For sale for use, reuse, or fuel value (i.e., net heating value).
(2) Examples of equipment that may be recovery devices include absorbers, carbon adsorbers, condensers, oil-water separators or organic-water separators, or organic removal devices such as decanters, strippers, or thin-film evaporation units. For the purposes of the monitoring, recordkeeping, or reporting requirements of this subpart, recapture devices are considered recovery devices.
Recovery operations equipment means the equipment used to separate the components of process streams. Recovery operations equipment includes distillation units, condensers, etc. Equipment used for wastewater treatment and recovery or recapture devices used as control devices shall not be considered recovery operations equipment.
Residual is defined in �63.111, except that when the definition in �63.111 uses the term �Table 9 compounds,� the term �organic HAP listed in Table 6 of subpart JJJ� shall apply for purposes of this subpart.
Shutdown means for purposes including, but not limited to, periodic maintenance, replacement of equipment, or repair, the cessation of operation of an affected source, a TPPU(s) within an affected source, a waste management unit or unit operation within an affected source, or equipment required or used to comply with this subpart, or the emptying or degassing of a storage vessel. For purposes of the wastewater provisions of �63.1330, shutdown does not include the routine rinsing or washing of equipment in batch operation between batches. For purposes of the batch process vent provisions in ��63.1321 through 63.1327, the cessation of equipment in batch operation is not a shutdown, unless the equipment undergoes maintenance, is replaced, or is repaired.
Solid state polymerization process means a unit operation which, through the application of heat, furthers the polymerization (i.e., increases the intrinsic viscosity) of polymer chips.
Start-up means the setting into operation of an affected source, a TPPU(s) within an affected source, a waste management unit or unit operation within an affected source, or equipment required or used to comply with this subpart, or a storage vessel after emptying and degassing. For both continuous and batch processes, start-up includes initial start-up and operation solely for testing equipment. For both continuous and batch processes, start-up does not include the recharging of equipment in batch operation. For continuous processes, start-up includes transitional conditions due to changes in product for flexible operation units. For batch processes, start-up does not include transitional conditions due to changes in product for flexible operation units.
Steady-state conditions means that all variables (temperatures, pressures, volumes, flow rates, etc.) in a process do not vary significantly with time; minor fluctuations about constant mean values may occur.
Storage vessel means a tank or other vessel that is used to store liquids that contain one or more organic HAP. Storage vessels do not include:
(1) Vessels permanently attached to motor vehicles such as trucks, railcars, barges, or ships;
(2) Pressure vessels designed to operate in excess of 204.9 kilopascals and without emissions to the atmosphere;
(3) Vessels with capacities smaller than 38 cubic meters;
(4) Vessels and equipment storing and/or handling material that contains no organic HAP and/or organic HAP as impurities only;
(5) Wastewater storage tanks; and
(6) Surge control vessels and bottoms receivers.
Styrene acrylonitrile resin (SAN) means copolymers consisting primarily of styrene and acrylonitrile monomer units.
Supplemental combustion air means the air that is added to a vent stream after the vent stream leaves the unit operation. Air that is part of the vent stream as a result of the nature of the unit operation is not considered supplemental combustion air. Air required to operate combustion device burner(s) is not considered supplemental combustion air. Air required to ensure the proper operation of catalytic oxidizers, to include the intermittent addition of air upstream of the catalyst bed to maintain a minimum threshold flow rate through the catalyst bed or to avoid excessive temperatures in the catalyst bed, is not considered to be supplemental combustion air.
Suspension process means a polymerization process where the monomer(s) is in a state of suspension, with the help of suspending agents, in a medium other than water (typically an organic solvent). The resulting polymers are not soluble in the reactor medium.
Thermoplastic product means one of the following types of products:
(1) ABS latex;
(2) ABS using a batch emulsion process;
(3) ABS using a batch suspension process;
(4) ABS using a continuous emulsion process;
(5) ABS using a continuous mass process;
(6) ASA/AMSAN;
(7) EPS;
(8) MABS;
(9) MBS;
(10) nitrile resin;
(11) PET using a batch dimethyl terephthalate process;
(12) PET using a batch terephthalic acid process;
(13) PET using a continuous dimethyl terephthalate process;
(14) PET using a continuous terephthalic acid process;
(15) PET using a continuous terephthalic acid high viscosity multiple end finisher process;
(16) Polystyrene resin using a batch process;
(17) Polystyrene resin using a continuous process;
(18) SAN using a batch process; or
(19) SAN using a continuous process.
Thermoplastic product process unit (TPPU) means a collection of equipment assembled and connected by hard-piping or ductwork, used to process raw materials and to manufacture a thermoplastic product as its primary product. This collection of equipment includes unit operations; recovery operations equipment, process vents; equipment identified in �63.149; storage vessels, as determined in �63.1310(g); and the equipment that is subject to the equipment leak provisions as specified in �63.1331. Utilities, lines and equipment not containing process fluids, and other non-process lines, such as heating and cooling systems which do not combine their materials with those in the processes they serve, are not part of the thermoplastic product process unit. A thermoplastic product process unit consists of more than one unit operation.
Total organic compounds (TOC) means those compounds excluding methane and ethane measured according to the procedures of Method 18 or Method 25A, 40 CFR part 60, appendix A.
Total resource effectiveness index value or TRE index value means a measure of the supplemental total resource requirement per unit reduction organic HAP associated with a continuous process vent stream, based on vent stream flow rate, emission rate of organic HAP, net heating value, and corrosion properties (whether or not the continuous process vent stream contains halogenated compounds), as quantified by the equations given under �63.115.
Vent stream, as used in reference to batch process vents, continuous process vents, and aggregate batch vent streams, means the emissions from one or more process vents.
Waste management unit is defined in �63.111, except that where the definition in �63.111 uses the term �chemical manufacturing process unit,� the term �TPPU� shall apply for purposes of this subpart.
Wastewater means water that:
(1) Contains either:
(i) An annual average concentration of organic HAP listed on Table 6 of this subpart, except for ethylene glycol, of at least 5 parts per million by weight and has an annual average flow rate of 0.02 liter per minute or greater; or
(ii) An annual average concentration of organic HAP listed on Table 6 of this subpart, except for ethylene glycol, of at least 10,000 parts per million by weight at any flow rate; and
(2) Is discarded from a TPPU that is part of an affected source. Wastewater is process wastewater or maintenance wastewater.
Wastewater stream means a stream that contains wastewater as defined in this section.
[61 FR 48229, Sept. 12, 1996, as amended at 64 FR 11547, Mar. 9, 1999; 65 FR 38102, June 19, 2000; 66 FR 36937, July 16, 2001; 79 FR 17364, Mar. 27, 2014]
�63.1313 Emission standards.
(a) Except as allowed under paragraphs (b) through (d) of this section, the owner or operator of an existing or new affected source shall comply with the provisions in:
(1) Section 63.1314 for storage vessels;
(2) Section 63.1315, or ��63.1316 through 63.1320, as appropriate, for continuous process vents;
(3) Section 63.1321 for batch process vents;
(4) Section 63.1328 for heat exchange systems;
(5) Section 63.1329 for process contact cooling towers;
(6) Section 63.1330 for wastewater;
(7) Section 63.1331 for equipment leaks;
(8) Section 63.1333 for additional test methods and procedures;
(9) Section 63.1334 for parameter monitoring levels and excursions; and
(10) Section 63.1335 for general recordkeeping and reporting requirements.
(b) When emissions of different kinds (i.e., emissions from continuous process vents subject to either �63.1315 or ��63.1316 through 63.1320, batch process vents, aggregate batch vent streams, storage vessels, process wastewater, and/or in-process equipment subject to �63.149) are combined, and at least one of the emission streams would be classified as Group 1 in the absence of combination with other emission streams, the owner or operator shall comply with the requirements of either paragraph (b)(1) or (b)(2) of this section, as appropriate. For purposes of this paragraph (b), combined emission streams containing one or more batch process vents and containing one or more continuous process vents subject to �63.1315, �63.1316(b)(1)(i)(A), �63.1316(b)(1)(ii), �63.1316(b)(2)(i), �63.1316(b)(2)(ii), or �63.1316(c)(1), excluding �63.1316(c)(1)(ii), may comply with either paragraph (b)(1) or (b)(2) of this section, as appropriate. For purposes of this paragraph (b), the owner or operator of an affected source with combined emission streams containing one or more batch process vents but not containing one or more continuous process vents subject to �63.1315, �63.1316(b)(1)(i)(A), �63.1316(b)(1)(ii), �63.1316(b)(2)(i), �63.1316(b)(2)(ii), or �63.1316(c)(1), excluding �63.1316(c)(1)(ii), shall comply with paragraph (b)(3) of this section.
(1) Comply with the applicable requirements of this subpart for each kind of emission in the stream as specified in paragraphs (a)(1) through (a)(7) of this section.
(2) Comply with the first set of requirements, identified in paragraphs (b)(2)(i) through (b)(2)(vi) of this section, which applies to any individual emission stream that is included in the combined stream, where either that emission stream would be classified as Group 1 in the absence of combination with other emission streams, or the owner or operator chooses to consider that emission stream to be Group 1 for purposes of this paragraph. Compliance with the first applicable set of requirements identified in paragraphs (b)(2)(i) through (b)(2)(vi) of this section constitutes compliance with all other requirements in paragraphs (b)(2)(i) through (b)(2)(vi) of this section applicable to other types of emissions in the combined stream.
(i) The requirements of this subpart for Group 1 continuous process vents subject to �63.1315, including applicable monitoring, recordkeeping, and reporting;
(ii) The requirements of �63.1316(b)(1)(i)(A), �63.1316(b)(1)(ii), �63.1316(b)(2)(i), �63.1316(b)(2)(ii), or �63.1316(c)(1), excluding �63.1316(c)(1)(ii), as appropriate, for control of emissions from continuous process vents subject to the control requirements of �63.1316, including applicable monitoring, recordkeeping, and reporting requirements;
(iii) The requirements of �63.119(e), as specified in �63.1314, for control of emissions from Group 1 storage vessels, including applicable monitoring, recordkeeping, and reporting;
(iv) The requirements of �63.139, as specified in �63.1330, for control devices used to control emissions from waste management units, including applicable monitoring, recordkeeping, and reporting;
(v) The requirements of �63.139, as specified in �63.1330, for closed vent systems for control of emissions from in-process equipment subject to �63.149, as specified in �63.1330, including applicable monitoring, recordkeeping, and reporting; or
(vi) The requirements of this subpart for aggregate batch vent streams subject to �63.1321(c), including applicable monitoring, recordkeeping, and reporting.
(3) The owner or operator of an affected source with combined emission streams containing one or more batch process vents but not containing one or more continuous process vents subject to �63.1315, �63.1316(b)(1)(i)(A), �63.1316(b)(1)(ii), �63.1316(b)(2)(i), �63.1316(b)(2)(ii), or �63.1316(c)(1), excluding �63.1316(c)(1)(ii), shall comply with paragraph (b)(3)(i) and (b)(3)(ii) of this section.
(i) The owner or operator of the affected source shall comply with �63.1321 for the batch process vent(s).
(ii) The owner or operator of the affected source shall comply with either paragraph (b)(1) or (b)(2) of this section, as appropriate, for the remaining emission streams.
(c) Instead of complying with ��63.1314, 63.1315, 63.1316 through 63.1320, 63.1321, and 63.1330, the owner or operator of an existing affected source may elect to control any or all of the storage vessels, batch process vents, aggregate batch vent streams, continuous process vents, and wastewater streams and associated waste management units within the affected source to different levels using an emissions averaging compliance approach that uses the procedures specified in �63.1332. The restrictions concerning which emission points may be included in an emissions average, including how many emission points may be included, are specified in �63.1332(a)(1). An owner or operator electing to use emissions averaging shall still comply with the provisions of ��63.1314, 63.1315, 63.1316 through 63.1320, 63.1321, and 63.1330 for affected source emission points not included in the emissions average.
(d) A State may decide not to allow the use of the emissions averaging compliance approach specified in paragraph (c) of this section.
[61 FR 48229, Sept. 12, 1996, as amended at 65 FR 38106, June 19, 2000]
�63.1314 Storage vessel provisions.
(a) This section applies to each storage vessel that is assigned to an affected source, as determined by �63.1310(g). Except as provided in paragraphs (b) through (d) of this section, the owner or operator of an affected source shall comply with the requirements of ��63.119 through 63.123 and 63.148 for those storage vessels, with the differences noted in paragraphs (a)(1) through (a)(17) of this section for the purposes of this subpart.
(1) When the term �storage vessel� is used in ��63.119 through 63.123, the definition of this term in �63.1312 shall apply for the purposes of this subpart.
(2) When the term �Group 1 storage vessel� is used in ��63.119 through 63.123, the definition of this term in �63.1312 shall apply for the purposes of this subpart.
(3) When the term �Group 2 storage vessel� is used in ��63.119 through 63.123, the definition of this term in �63.1312 shall apply for the purposes of this subpart.
(4) When the emissions averaging provisions of �63.150 are referred to in ��63.119 and 63.123, the emissions averaging provisions contained in �63.1332 shall apply for the purposes of this subpart.
(5) When December 31, 1992, is referred to in �63.119, March 29, 1995 shall apply instead, for the purposes of this subpart.
(6) When April 22, 1994, is referred to in �63.119, June 19, 2000 shall apply instead, for the purposes of this subpart.
(7) Each owner or operator of an affected source shall comply with this paragraph (a)(7) instead of �63.120(d)(1)(ii) for the purposes of this subpart. If the control device used to comply with �63.119(e) is also used to comply with any of the requirements found in �63.1315, �63.1316, �63.1322, or �63.1330, the performance test required in or accepted by the applicable requirements of ��63.1315, 63.1316, 63.1322, and 63.1330 is acceptable for demonstrating compliance with �63.119(e) for the purposes of this subpart. The owner or operator is not required to prepare a design evaluation for the control device as described in �63.120(d)(1)(i), if the performance test meets the criteria specified in paragraphs (a)(7)(i) and (a)(7)(ii) of this section.
(i) The performance test demonstrates that the control device achieves greater than or equal to the required control efficiency specified in �63.119(e)(1) or �63.119(e)(2), as applicable; and
(ii) The performance test is submitted as part of the Notification of Compliance Status required by �63.1335(e)(5).
(8) When the term �range� is used in ��63.120(d)(3), 63.120(d)(5), and 63.122(g)(2), the term �level� shall apply instead, for the purposes of this subpart.
(9) For purposes of this subpart, the monitoring plan required by �63.120(d)(2) shall specify for which control devices the owner or operator has selected to follow the procedures for continuous monitoring specified in �63.1334. For those control devices for which the owner or operator has selected to not follow the procedures for continuous monitoring specified in �63.1334, the monitoring plan shall include a description of the parameter or parameters to be monitored to ensure that the control device is being properly operated and maintained, an explanation of the criteria used for selection of that parameter (or parameters), and the frequency with which monitoring will be performed (e.g., when the liquid level in the storage vessel is being raised), as specified in �63.120(d)(2)(i).
(10) For purposes of this subpart, the monitoring plan required by �63.122(b) shall be included in the Notification of Compliance Status required by �63.1335(e)(5).
(11) When the Notification of Compliance Status requirements contained in �63.152(b) are referred to in ��63.120, 63.122, and 63.123, the Notification of Compliance Status requirements contained in �63.1335(e)(5) shall apply for the purposes of this subpart.
(12) When the Periodic Report requirements contained in �63.152(c) are referred to in ��63.120 and 63.122, the Periodic Report requirements contained in �63.1335(e)(6) shall apply for the purposes of this subpart.
(13) When other reports as required in �63.152(d) are referred to in �63.122, the reporting requirements contained in �63.1335(e)(7) shall apply for the purposes of this subpart.
(14) When the Initial Notification requirements contained in �63.151(b) are referred to in �63.122, the owner or operator of an affected source subject to this subpart need not comply for the purposes of this subpart.
(15) When the determination of equivalence criteria in �63.102(b) is referred to in �63.121(a), the provisions in �63.6(g) shall apply for the purposes of this subpart.
(16) When �63.119(a) requires compliance according to the schedule provisions in �63.100, owners and operators of affected sources shall instead comply with the requirements in ��63.119(a)(1) through 63.119(a)(4) by the compliance date for storage vessels, which is specified in �63.1311.
(17) In �63.120(e)(1), instead of the reference to �63.11(b), the requirements of �63.1333(e) shall apply.
(b) Owners or operators of Group 1 storage vessels that are assigned to a new affected source producing SAN using a continuous process shall control emissions to the levels indicated in paragraphs (b)(1) and (b)(2) of this section.
(1) For storage vessels with capacities greater than or equal to 2,271 cubic meters (m 3) containing a liquid mixture having a vapor pressure greater than or equal to 0.5 kilopascal (kPa) but less than 0.7 kPa, emissions shall be controlled by at least 90 percent relative to uncontrolled emissions.
(2) For storage vessels with capacities less than 151 m 3 containing a liquid mixture having a vapor pressure greater than or equal to 10 kPa, emissions shall be controlled by at least 98 percent relative to uncontrolled emissions.
(3) For all other storage vessels designated as Group 1 storage vessels, emissions shall be controlled to the level designated in �63.119.
(c) Owners or operators of Group 1 storage vessels that are assigned to a new or existing affected source producing ASA/AMSAN shall control emissions by at least 98 percent relative to uncontrolled emissions.
(d) The provisions of this subpart do not apply to storage vessels containing ethylene glycol at existing or new affected sources and storage vessels containing styrene at existing affected sources.
[61 FR 48229, Sept. 12, 1996, as amended at 64 FR 11547, Mar. 9, 1999; 65 FR 38107, June 19, 2000]
�63.1315 Continuous process vents provisions.
(a) For each continuous process vent located at an affected source, the owner or operator shall comply with the requirements of ��63.113 through 63.118, with the differences noted in paragraphs (a)(1) through (19) of this section for the purposes of this subpart, except as provided in paragraphs (b) through (e) of this section.
(1) When the term �process vent� is used in ��63.113 through 63.118, the term �continuous process vent,� and the definition of this term in �63.1312 shall apply for the purposes of this subpart.
(2) When the term �Group 1 process vent� is used in ��63.113 through 63.118, the term �Group 1 continuous process vent,� and the definition of this term in �63.1312 shall apply for the purposes of this subpart.
(3) When the term �Group 2 process vent� is used in ��63.113 through 63.118, the term �Group 2 continuous process vent,� and the definition of this term in �63.1312 shall apply for the purposes of this subpart.
(4) When December 31, 1992 is referred to in �63.113, apply the date March 29, 1995, for the purposes of this subpart.
(5) When �63.151(f), alternative monitoring parameters, and �63.152(e), submission of an operating permit, are referred to in ��63.114(c) and 63.117(e), �63.1335(f), alternative monitoring parameters, and �63.1335(e)(8), submission of an operating permit, respectively, shall apply for the purposes of this subpart.
(6) When the Notification of Compliance Status requirements contained in �63.152(b) are referred to in ��63.114, 63.117, and 63.118, the Notification of Compliance Status requirements contained in �63.1335(e)(5) shall apply for the purposes of this subpart.
(7) When the Periodic Report requirements contained in �63.152(c) are referred to in ��63.117 and 63.118, the Periodic Report requirements contained in �63.1335(e)(6) shall apply for the purposes of this subpart.
(8) When the definition of excursion in �63.152(c)(2)(ii)(A) is referred to in �63.118(f)(2), the definition of excursion in �63.1334(f) of this subpart shall apply for the purposes of this subpart.
(9) When �63.114(e) or �63.117(f) specifies that an owner or operator shall submit the information required in �63.152(b) in order to establish the parameter monitoring range, the owner or operator of an affected source shall comply with the provisions of �63.1335(e)(5) for purposes of reporting information related to establishment of the parameter monitoring level for purposes of this subpart. Further, the term �level� shall apply when the term �range� is used in ��63.114, 63.117, and 63.118.
(10) When reports of process changes are required under �63.118(g), (h), (i), or (j), paragraphs (a)(10)(i) through (a)(10)(iv) of this section shall apply for the purposes of this subpart. In addition, for the purposes of this subpart, paragraph (a)(10)(v) of this section applies, and �63.118(k) does not apply to owners or operators of affected sources.
(i) For the purposes of this subpart, whenever a process change, as defined in �63.115(e), is made that causes a Group 2 continuous process vent to become a Group 1 continuous process vent, the owner or operator shall submit a report within 180 days after the process change is made or with the next Periodic Report, whichever is later. A description of the process change shall be submitted with the report of the process change, and the owner or operator of the affected source shall comply with the Group 1 provisions in ��63.113 through 63.118 in accordance with �63.1310(i)(2)(ii) or (i)(2)(iii), as applicable.
(ii) Whenever a process change, as defined in �63.115(e), is made that causes a Group 2 continuous process vent with a TRE greater than 4.0 to become a Group 2 continuous process vent with a TRE less than 4.0, the owner or operator shall submit a report within 180 days after the process change is made or with the next Periodic Report, whichever is later. A description of the process change shall be submitted with the report of the process change, and the owner or operator shall comply with the provisions in �63.113(d) by the dates specified in �63.1311.
(iii) Whenever a process change, as defined in �63.115(e), is made that causes a Group 2 continuous process vent with a flow rate less than 0.005 standard cubic meter per minute to become a Group 2 continuous process vent with a flow rate of 0.005 standard cubic meter per minute or greater and a TRE index value less than or equal to 4.0, the owner or operator shall submit a report within 180 days after the process change is made or with the next Periodic Report, whichever is later. A description of the process change shall be submitted with the report of the process change, and the owner or operator shall comply with the provisions in �63.113(d) by the dates specified in �63.1311.
(iv) Whenever a process change, as defined in �63.115(e), is made that causes a Group 2 continuous process vent with an organic HAP concentration less than 50 parts per million by volume to become a Group 2 continuous process vent with an organic HAP concentration of 50 parts per million by volume or greater and a TRE index value less than or equal to 4.0, the owner or operator shall submit a report within 180 days after the process change is made or with the next Periodic Report, whichever is later. A description of the process change shall be submitted with the report of the process change, and the owner or operator shall comply with the provisions in �63.113(d) by the dates specified in �63.1311.
(v) The owner or operator is not required to submit a report of a process change if one of the conditions listed in paragraphs (a)(10)(v)(A), (a)(10)(v)(B), (a)(10)(v)(C), or (a)(10)(v)(D) of this section is met.
(A) The process change does not meet the definition of a process change in �63.115(e);
(B) The vent stream flow rate is recalculated according to �63.115(e) and the recalculated value is less than 0.005 standard cubic meter per minute;
(C) The organic HAP concentration of the vent stream is recalculated according to �63.115(e) and the recalculated value is less than 50 parts per million by volume; or
(D) The TRE index value is recalculated according to �63.115(e) and the recalculated value is greater than 4.0, or for the affected sources producing methyl methacrylate butadiene styrene resin the recalculated value is greater than 6.7.
(11) When the provisions of �63.116(c)(3) and (c)(4) specify that Method 18, 40 CFR part 60, appendix A shall be used, Method 18 or Method 25A, 40 CFR part 60, appendix A may be used for the purposes of this subpart. The use of Method 25A, 40 CFR part 60, appendix A shall conform with the requirements in paragraphs (a)(11)(i) and (a)(11)(ii) of this section.
(i) The organic HAP used as the calibration gas for Method 25A, 40 CFR part 60, appendix A shall be the single organic HAP representing the largest percent by volume of the emissions.
(ii) The use of Method 25A, 40 CFR part 60, appendix A is acceptable if the response from the high-level calibration gas is at least 20 times the standard deviation of the response from the zero calibration gas when the instrument is zeroed on the most sensitive scale.
(12) When �63.118, periodic reporting and recordkeeping requirements, refers to �63.152(f), the recordkeeping requirements in �63.1335(d) shall apply for purposes of this subpart.
(13) If a batch process vent or aggregate batch vent stream is combined with a continuous process vent, the owner or operator of the affected source containing the combined vent stream shall comply with paragraph (a)(13)(i); with paragraph (a)(13)(ii) and with paragraph (a)(13)(iii) or (iv); or with paragraph (a)(13)(v) of this section, as appropriate.
(i) If a batch process vent or aggregate batch vent stream is combined with a Group 1 continuous process vent prior to the combined vent stream being routed to a control device, the owner or operator of the affected source containing the combined vent stream shall comply with the requirements in paragraph (a)(13)(i)(A) or (B) of this section.
(A) All requirements for a Group 1 process vent stream in ��63.113 through 63.118, except as otherwise provided in this section. As specified in �63.1333(a)(1), performance tests shall be conducted at maximum representative operating conditions. For the purpose of conducting a performance test on a combined vent stream, maximum representative operating conditions shall be when batch emission episodes are occurring that result in the highest organic HAP emission rate (for the combined vent stream) that is achievable during one of the periods listed in �63.1333(a)(1)(i) or �63.1333(a)(1)(ii), without causing any of the situations described in paragraphs (a)(13)(i)(A)(1) through (3) to occur.
(1) Causing damage to equipment.
(2) Necessitating that the owner or operator make product that does not meet an existing specification for sale to a customer; or
(3) Necessitating that the owner or operator make product in excess of demand.
(B) Comply with the provisions in �63.1313(b)(1), as allowed under �63.1313(b).
(ii) If a batch process vent or aggregate batch vent stream is combined with a continuous process vent prior to the combined vent stream being routed to a recovery device, the TRE index value for the combined vent stream shall be calculated at the exit of the last recovery device. The TRE shall be calculated during periods when one or more batch emission episodes are occurring that result in the highest organic HAP emission rate (in the combined vent stream that is being routed to the recovery device) that is achievable during the 6-month period that begins 3 months before and ends 3 months after the TRE calculation, without causing any of the situations described in paragraphs (a)(13)(ii)(A) through (C) to occur.
(A) Causing damage to equipment.
(B) Necessitating that the owner or operator make product that does not meet an existing specification for sale to a customer; or
(C) Necessitating that the owner or operator make product in excess of demand.
(iii) If the combined vent stream described in paragraph (a)(10)(ii) of this section meets the requirements in paragraphs (a)(13)(iii)(A), (B), and (C) of this section, the combined vent stream shall be subject to the requirements for Group 1 process vents in ��63.113 through 63.118, except as otherwise provided in this section, as applicable. Performance tests for the combined vent stream shall be conducted at maximum operating conditions, as described in paragraph (a)(13)(i) of this section.
(A) The TRE index value of the combined stream is less than or equal to 1.0;
(B) The flow rate of the combined vent stream is greater than or equal to 0.005 standard cubic meter per minute; and
(C) The total organic HAP concentration is greater than or equal to 50 parts per million by volume for the combined vent stream.
(iv) If the combined vent stream described in paragraph (a)(10)(ii) of this section meets the requirements in paragraph (a)(13)(iv)(A), (B), or (C) of this section, the combined vent stream shall be subject to the requirements for Group 2 process vents in ��63.113 through 63.118, except as otherwise provided in this section, as applicable.
(A) The TRE index value of the combined vent stream is greater than 1.0;
(B) The flow rate of the combined vent stream is less than 0.005 standard cubic meter per minute; or
(C) The total organic HAP concentration is less than 50 parts per million by volume for the combined vent stream.
(v) If a batch process vent or aggregate batch vent stream is combined with a Group 2 continuous process vent, the owner or operator shall comply with the requirements in either paragraph (a)(13)(v)(A) or (a)(13)(v)(B) of this section.
(A) The owner or operator shall comply with the requirements in ��63.113 through 63.118 for Group 1 process vents; or
(B) The owner or operator shall comply with �63.1322(e)(2) for batch process vents and aggregate batch vent streams.
(14) If any gas stream that originates outside of an affected source that is subject to this subpart is normally conducted through the same final recovery device as any continuous process vent stream subject to this subpart, the owner or operator of the affected source with the combined vent stream shall comply with all requirements in ��63.113 through 63.118 of subpart G of this part, except as otherwise noted in this section, as applicable.
(i) Instead of measuring the vent stream flow rate at the sampling site specified in �63.115(b)(1), the sampling site for vent stream flow rate shall be prior to the final recovery device and prior to the point at which the gas stream that is not controlled under this subpart is introduced into the combined vent stream.
(ii) Instead of measuring total organic HAP or TOC concentrations at the sampling site specified in �63.115(c)(1), the sampling site for total organic HAP or TOC concentration shall be prior to the final recovery device and prior to the point at which the gas stream that is not controlled under this subpart is introduced into the combined vent stream.
(iii) The efficiency of the final recovery device (determined according to paragraph (a)(14)(iv) of this section) shall be applied to the total organic HAP or TOC concentration measured at the sampling site described in paragraph (a)(14)(ii) of this section to determine the exit concentration. This exit concentration of total organic HAP or TOC shall then be used to perform the calculations outlined in �63.115(d)(2)(iii) and �63.115(d)(2)(iv), for the combined vent stream exiting the final recovery device.
(iv) The efficiency of the final recovery device is determined by measuring the total organic HAP or TOC concentration using Method 18 or 25A, 40 CFR part 60, appendix A, at the inlet to the final recovery device after the introduction of any gas stream that is not controlled under this subpart, and at the outlet of the final recovery device.
(15) When �63.115(c)(3)(ii)(B) and (d)(2)(iv) and �63.116(c)(3)(ii)(B) and (c)(4)(ii)(C) refer to Table 2 of subpart F of this part, the owner or operator is only required to consider organic HAP listed on Table 6 of this subpart for purposes of this subpart.
(16) The compliance date for continuous process vents subject to the provisions of this section is specified in �63.1311.
(17) In �63.116(a), instead of the reference to �63.11(b), the requirements in �63.1333(e) shall apply.
(18) When a combustion device is used to comply with the 20 parts per million by volume outlet concentration standard specified in �63.113(a)(2), the correction to 3 percent oxygen is only required when supplemental combustion air is used to combust the emissions, for the purposes of this subpart. In addition, the correction to 3 percent oxygen specified in �63.116(c)(3) and (c)(3)(iii) is only required when supplemental combustion air is used to combust the emissions, for the purposes of this subpart. Finally, when a combustion device is used to comply with the 20 parts per million by volume outlet concentration standard specified in �63.113(a)(2), an owner or operator shall record and report the outlet concentration required in �63.117(a)(4)(ii) and (a)(4)(iv) corrected to 3 percent oxygen when supplemental combustion air is used to combust the emissions, for the purposes of this subpart. When supplemental combustion air is not used to combust the emissions, an owner or operator may record and report the outlet concentration required in �63.117(a)(4)(ii) and (a)(4)(iv) on an uncorrected basis or corrected to 3 percent oxygen, for the purposes of this subpart.
(19) During periods of startup or shutdown, as an alternative to using the procedures specified in �63.116, an owner or operator of an affected source or emission unit subject to an emission limit expressed as mass emissions per mass product may demonstrate compliance with the limit in accordance with paragraph (a)(19)(i), (ii), or (iii) of this section.
(i) Keep records establishing that the raw material introduced and product discharged rates were both zero.
(ii) Divide the organic HAP emission rate during startup or shutdown by the rate of polymer produced from the most recent performance test associated with a production rate greater than zero according to �63.1318(b)(1). Keep records of this calculation.
(iii) Keep records establishing that the operating parameters of the control device used to comply with the emission limit in �63.113(a)(1) or (2) were maintained at the level established to meet the emission limit at maximum representative operating conditions.
(b) Owners or operators of existing affected sources producing MBS shall comply with either paragraph (b)(1) or (b)(2) of this section.
(1) Comply with paragraph (a) of this section, as specified in paragraphs (b)(1)(i) and (b)(1)(ii).
(i) As specified in �63.1312, Group 1 continuous process vents at MBS existing affected sources are those with a total resource effectiveness value less than or equal to 3.7.
(ii) When complying with this paragraph (b) and the term �TRE of 4.0� is used, or related terms indicating a TRE index value of 4.0, referred to in ��63.113 through 63.118, are used, the term �TRE of 6.7,� shall apply instead, for the purposes of this subpart. The TRE range of 3.7 to 6.7 for continuous process vents at existing affected sources producing MBS corresponds to the TRE range of 1.0 to 4.0 for other continuous process vents, as it applies to monitoring, recordkeeping, and reporting.
(2) Not allow organic HAP emissions from the collection of continuous process vents at the affected source to be greater than 0.000590 kg organic HAP/Mg of product. Compliance with this paragraph (b)(2) shall be determined using the procedures specified in �63.1333(b). During periods of startup or shutdown, as an alternative to using the procedures specified in �63.1333(b), an owner or operator of an affected source or emission unit subject to an emission limit expressed as mass emissions per mass product may demonstrate compliance with the limit in accordance with paragraph (b)(2)(i), (ii), or (iii) of this section.
(i) Keep records establishing that the raw material introduced and product discharged rates were both zero.
(ii) Divide the organic HAP emission rate during startup or shutdown by the rate of polymer produced from the most recent performance test associated with a production rate greater than zero according to �63.1333(b). Keep records of this calculation.
(iii) Keep records establishing that the operating parameters of the control device used to comply with the emission limit in paragraph (b)(2) of this section were maintained at the level established to meet the emission limit at maximum representative operating conditions.
(c) Owners or operators of new affected sources producing SAN using a batch process shall comply with the applicable requirements in �63.1321.
(d) Affected sources producing PET or polystyrene using a continuous process are subject to the emissions control provisions of �63.1316, the monitoring provisions of �63.1317, the testing and compliance demonstration provisions of �63.1318, the recordkeeping provisions of �63.1319, and the reporting provisions of �63.1320. However, in some instances as specified in �63.1316, select continuous process vents present at affected sources producing PET or polystyrene using a continuous process are subject to the provisions of this section.
(e) Owners or operators of affected sources producing ASA/AMSAN shall reduce organic HAP emissions from each continuous process vent, each batch process vent, and each aggregate batch vent stream by 98 weight-percent and shall comply with either paragraph (e)(1), (e)(2), or (e)(3), as appropriate. Where batch process vents or aggregate batch vent streams are combined with continuous process vents, the provisions of paragraph (a)(13) of this section shall apply for the purposes of this paragraph (e).
(1) For each continuous process vent, comply with paragraph (a) of this section as specified in paragraphs (e)(1)(i) through (e)(1)(ii) of this section.
(i) For purpose of this section, each continuous process vent shall be considered to be a Group 1 continuous process vent and the owner or operator of that continuous process vent shall comply with the requirements for a Group 1 continuous process vent.
(ii) For purposes of this section, the group determination procedure required by �63.115 shall not apply.
(2) For each batch process vent, comply with ��63.1321 through 63.1327 as specified in paragraphs (e)(2)(i) through (e)(2)(ii) of this section.
(i) For purpose of this section, each batch process vent shall be considered to be a Group 1 batch process vent and the owner or operator of that batch process vent shall comply with the requirements for a Group 1 batch process vent contained in ��63.1321 through 63.1327, except that each batch process vent shall be controlled to reduce organic HAP emissions by 98 weight-percent.
(ii) For purposes of this section, the group determination procedure required by �63.1323 shall not apply.
(3) For each aggregate batch vent stream, comply with ��63.1321 through 63.1327 as specified in paragraphs (e)(3)(i) through (e)(3)(ii) of this section.
(i) For purpose of this section, each aggregate batch vent stream shall be considered to be a Group 1 aggregate batch vent stream and the owner or operator of that aggregate batch vent stream shall comply with the requirements for a Group 1 aggregate batch vent stream contained in ��63.1321 through 63.1327, except that each aggregate batch vent stream shall be controlled to reduce organic HAP emissions by 98 weight-percent.
(ii) For purposes of this section, the group determination procedure required by �63.1323 shall not apply.
[61 FR 48229, Sept. 12, 1996, as amended at 64 FR 11547, Mar. 9, 1999; 65 FR 38107, June 19, 2000; 66 FR 36938, July 16, 2001; 79 FR 17364, Mar. 27, 2014]
�63.1316 PET and polystyrene affected sources - emissions control provisions.
(a) The owner or operator of an affected source producing PET using a continuous process shall comply with paragraph (b) of this section. The owner or operator of an affected source producing polystyrene using a continuous process shall comply with paragraph (c) of this section. As specified in paragraphs (b) and (c) of this section, owners or operators shall comply with �63.1315 for certain continuous process vents and with �63.1321 for all batch process vents. The owner or operator of an affected source producing PET using a batch process or producing polystyrene using a batch process shall comply with �63.1315 for continuous process vents and with �63.1321 for batch process vents, instead of the provisions of ��63.1316 through 63.1320.
(b) The owner or operator of an affected source producing PET using a continuous process shall comply with the requirements specified in paragraphs (b)(1) or (b)(2) of this section, as appropriate, and are not required to comply with the requirements specified in 40 CFR part 60, subpart DDD. Compliance can be based on either organic HAP or TOC.
(1) The owner or operator of an affected source producing PET using a continuous dimethyl terephthalate process shall comply with paragraphs (b)(1)(i) through (b)(1)(iv) of this section.
(i) The owner or operator of an existing affected source with organic HAP emissions greater than 0.12 kg organic HAP per Mg of product from continuous process vents in the collection of material recovery sections (i.e., methanol recovery) within the affected source shall comply with either paragraph (b)(1)(i)(A), (b)(1)(i)(B), or (b)(1)(i)(C) of this section. Emissions from continuous process vents in the collection of material recovery sections within the affected source shall be determined by the procedures specified in �63.1318(b). The owner or operator of a new affected source shall comply with either paragraph (b)(1)(i)(A), (b)(1)(i)(B), or (b)(1)(i)(C) of this section.
(A) Organic HAP emissions from all continuous process vents in each individual material recovery section shall, as a whole, be no greater than 0.018 kg organic HAP per Mg of product from the associated TPPU(s)); or alternatively, organic HAP emissions from all continuous process vents in the collection of material recovery sections within the affected source shall, as a whole, be no greater than 0.018 kg organic HAP per Mg product from all associated TPPU. During periods of startup or shutdown, as an alternative to using the procedures specified in �63.1318(b)(1), an owner or operator of an affected source or emission unit subject to an emission limit expressed as mass emissions per mass product may demonstrate compliance with the limit in accordance with paragraphs (b)(1)(i)(A)(1), (2), or (3) of this section.
(1) Keep records establishing that the raw material introduced and product discharged rates were both zero.
(2) Divide the organic HAP emission rate during startup or shutdown by the rate of polymer produced from the most recent performance test associated with a production rate greater than zero according to �63.1318(b)(1). Keep records of this calculation.
(3) Keep records establishing that the operating parameters of the control device used to comply with the emission limit in paragraph (b)(1)(i)(A) of this section were maintained at the level established to meet the emission limit at maximum representative operating conditions.
(B) As specified in �63.1318(d), the owner or operator shall maintain the daily average outlet gas stream temperature from each final condenser in a material recovery section at a temperature of +3�C (+37�F) or less (i.e., colder); or
(C) Comply with paragraph (b)(1)(v) of this section.
(ii) Limit organic HAP emissions from continuous process vents in the collection of polymerization reaction sections within the affected source by complying with either paragraph (b)(1)(ii)(A) or (b)(1)(ii)(B) of this section.
(A) Organic HAP emissions from all continuous process vents in each individual polymerization reaction section (including emissions from any equipment used to further recover ethylene glycol, but excluding emissions from process contact cooling towers) shall, as a whole, be no greater than 0.02 kg organic HAP per Mg of product from the associated TPPU(s); or alternatively, organic HAP emissions from all continuous process vents in the collection of polymerization reaction sections within the affected source shall, as a whole, be no greater than 0.02 kg organic HAP per Mg product from all associated TPPU(s). During periods of startup or shutdown, as an alternative to using the procedures specified in �63.1318(b)(1), an owner or operator of an affected source or emission unit subject to an emission limit expressed as mass emissions per mass product may demonstrate compliance with the limit in accordance with paragraphs (b)(1)(ii)(A)(1), (2), or (3) of this section.
(1) Keep records establishing that the raw material introduced and product discharged rates were both zero.
(2) Divide the organic HAP emission rate during startup or shutdown by the rate of polymer produced from the most recent performance test associated with a production rate greater than zero according to �63.1318(b)(1). Keep records of this calculation.
(3) Keep records establishing that the operating parameters of the control device used to comply with the emission limit in paragraph (b)(1)(ii)(A) of this section were maintained at the level established to meet the emission limit at maximum representative operating conditions.
(B) Comply with paragraph (b)(1)(v) of this section.
(iii) Continuous process vents not included in a material recovery section, as specified in paragraph (b)(1)(i) of this section, and not included in a polymerization reaction section, as specified in paragraph (b)(1)(ii) of this section, shall comply with �63.1315.
(iv) Batch process vents shall comply with �63.1321.
(v) Comply with one of the following:
(A) Reduce the emissions in a combustion device to achieve 98 weight percent reduction or to achieve a concentration of 20 parts per million by volume (ppmv) on a dry basis, whichever is less stringent. If an owner or operator elects to comply with the 20 ppmv standard, the concentration shall include a correction to 3 percent oxygen only when supplemental combustion air is used to combust the emissions;
(B) Combust the emissions in a boiler or process heater with a design heat input capacity of 150 million Btu/hr or greater by introducing the emissions into the flame zone of the boiler or process heater; or
(C) Combust the emissions in a flare that complies with the requirements of �63.1333(e).
(2) The owner or operator of an affected source producing PET using a continuous terephthalic acid process shall comply with paragraphs (b)(2)(i) through (b)(2)(iv) of this section.
(i) Limit organic HAP emissions from continuous process vents in the collection of raw material preparation sections within the affected source by complying with either paragraph (b)(2)(i)(A) or (b)(2)(i)(B) of this section.
(A) Organic HAP emissions from all continuous process vents associated with the esterification vessels in each individual raw materials preparation section shall, as a whole, be no greater than 0.04 kg organic HAP per Mg of product from the associated TPPU(s); or alternatively, organic HAP emissions from all continuous process vents associated with the esterification vessels in the collection of raw material preparation sections within the affected source shall, as a whole, be no greater than 0.04 kg organic HAP per Mg of product from all associated TPPU(s). Other continuous process vents (i.e., those not associated with the esterification vessels) in the collection of raw materials preparation sections within the affected source shall comply with �63.1315. During periods of startup or shutdown, as an alternative to using the procedures specified in �63.1318(b)(1), an owner or operator of an affected source or emission unit subject to an emission limit expressed as mass emissions per mass product may demonstrate compliance with the limit in accordance with paragraphs (b)(2)(i)(A)(1), (2), or (3) of this section.
(1) Keep records establishing that the raw material introduced and product discharged rates were both zero.
(2) Divide the organic HAP emission rate during startup or shutdown by the rate of polymer produced from the most recent performance test associated with a production rate greater than zero according to �63.1318(b)(1). Keep records of this calculation.
(3) Keep records establishing that the operating parameters of the control device used to comply with the emission limit in paragraph (b)(2)(i)(A) of this section were maintained at the level established to meet the emission limit at maximum representative operating conditions.
(B) Comply with paragraph (b)(2)(v) of this section.
(ii) Limit organic HAP emissions from continuous process vents in the collection of polymerization reaction sections within the affected source by complying with either paragraph (b)(2)(ii)(A) or (b)(2)(ii)(B) of this section.
(A) Organic HAP emissions from all continuous process vents in each individual polymerization reaction section (including emissions from any equipment used to further recover ethylene glycol, but excluding emissions from process contact cooling towers) shall, as a whole, be no greater than 0.02 kg organic HAP per Mg of product from the associated TPPU(s); or alternatively, organic HAP emissions from all continuous process vents in the collection of polymerization reaction sections within the affected source shall, as a whole, be no greater than 0.02 kg organic HAP per Mg of product from all associated TPPU(s). During periods of startup or shutdown, as an alternative to using the procedures specified in �63.1318(b)(1), an owner or operator of an affected source or emission unit subject to an emission limit expressed as mass emissions per mass product may demonstrate compliance with the limit in accordance with paragraphs (b)(2)(ii)(A)(1), (2), or (3) of this section.
(1) Keep records establishing that the raw material introduced and product discharged rates were both zero.
(2) Divide the organic HAP emission rate during startup or shutdown by the rate of polymer produced from the most recent performance test associated with a production rate greater than zero according to �63.1318(b)(1). Keep records of this calculation.
(3) Keep records establishing that the operating parameters of the control device used to comply with the emission limit in paragraph (b)(2)(ii)(A) of this section were maintained at the level established to meet the emission limit at maximum representative operating conditions.
(B) Comply with paragraph (b)(2)(v) of this section.
(iii) Continuous process vents not included in a raw materials preparation section, as specified in paragraphs (b)(2)(i) of this section, and not included in a polymerization reaction section, as specified in paragraph (b)(2)(ii) of this section, shall comply with �63.1315.
(iv) Batch process vents shall comply with �63.1321.
(v) Comply with one of the following:
(A) Reduce the emissions in a combustion device to achieve 98 weight percent reduction or to achieve a concentration of 20 parts per million by volume (ppmv) on a dry basis, whichever is less stringent. If an owner or operator elects to comply with the 20 ppmv standard, the concentration shall include a correction to 3 percent oxygen only when supplemental combustion air is used to combust the emissions;
(B) Combust the emissions in a boiler or process heater with a design heat input capacity of 150 million Btu/hr or greater by introducing the emissions into the flame zone of the boiler or process heater; or
(C) Combust the emissions in a flare that complies with the requirements of �63.1333(e).
(c) The owner or operator of an affected source producing polystyrene resin using a continuous process shall comply with the requirements specified in paragraphs (c)(1) through (c)(3) of this section, as appropriate, instead of the requirements specified in 40 CFR part 60, subpart DDD. Compliance can be based on either organic HAP or TOC.
(1) Limit organic HAP emissions from continuous process vents in the collection of material recovery sections within the affected source by complying with either paragraph (c)(1)(i), (c)(1)(ii), or (c)(1)(iii) of this section.
(i) Organic HAP emissions from all continuous process vents in each individual material recovery section shall, as a whole, be no greater than 0.0036 kg organic HAP per Mg of product from the associated TPPU(s); or alternatively, organic HAP emissions from all continuous process vents in the collection of material recovery sections within the affected source shall, as a whole, be no greater than 0.0036 kg organic HAP per Mg of product from all associated TPPU(s). During periods of startup or shutdown, as an alternative to using the procedures specified in �63.1318(b)(1), an owner or operator of an affected source or emission unit subject to an emission limit expressed as mass emissions per mass product may demonstrate compliance with the limit in accordance with paragraphs (c)(1)(i)(A), (B), or (C) of this section.
(A) Keep records establishing that the raw material introduced and product discharged rates were both zero.
(B) Divide the organic HAP emission rate during startup or shutdown by the rate of polymer produced from the most recent performance test associated with a production rate greater than zero according to �63.1318(b)(1). Keep records of this calculation.
(C) Keep records establishing that the operating parameters of the control device used to comply with the emission limit in paragraph (c)(1)(i) of this section were maintained at the level established to meet
(ii) As specified in �63.1318(d), the owner or operator shall maintain the daily average outlet gas stream temperature from each final condenser in a material recovery section at a temperature of ?25�C (?13�F) or less (i.e., colder); or
(iii) Comply with one of the following:
(A) Reduce the emissions in a combustion device to achieve 98 weight percent reduction or to achieve a concentration of 20 parts per million by volume (ppmv) on a dry basis, whichever is less stringent. If an owner or operator elects to comply with the 20 ppmv standard, the concentration shall include a correction to 3 percent oxygen only when supplemental combustion air is used to combust the emissions;
(B) Combust the emissions in a boiler or process heater with a design heat input capacity of 150 million Btu/hr or greater by introducing the emissions into the flame zone of the boiler or process heater; or
(C) Combust the emissions in a flare that complies with the requirements of �63.1333(e).
(2) Limit organic HAP emissions from continuous process vents not included in a material recovery section, as specified in paragraph (c)(1)(i) of this section, by complying with �63.1315.
(3) Batch process vents shall comply with �63.1321.
[61 FR 48229, Sept. 12, 1996, as amended at 64 FR 11548, Mar. 9, 1999; 65 FR 38110, June 19, 2000; 66 FR 36938, July 16, 2001; 79 FR 17365, Mar. 27, 2014]
�63.1317 PET and polystyrene affected sources - monitoring provisions.
Continuous process vents using a control or recovery device to comply with �63.1316 shall comply with the applicable monitoring provisions specified for continuous process vents in �63.1315(a), except that references to group determinations (i.e., total resource effectiveness) do not apply and owners or operators are not required to comply with �63.113.
[65 FR 38111, June 19, 2000]
�63.1318 PET and polystyrene affected sources - testing and compliance demonstration provisions.
(a) Except as specified in paragraphs (b) through (d) of this section, continuous process vents using a control or recovery device to comply with �63.1316 shall comply with the applicable testing and compliance provisions for continuous process vents specified in �63.1315(a) except that, for purposes of this paragraph (a), references to group determinations (i.e., total resource effectiveness) do not apply and owners or operators are not required to comply with �63.113.
(b) PET affected sources using a dimethyl terephthalate process - Applicability determination procedure. Owners or operators shall calculate organic HAP emissions from the collection of material recovery sections at an existing affected source producing PET using a continuous dimethyl terephthalate process to determine whether �63.1316(b)(1)(i) is applicable using the procedures specified in either paragraph (b)(1) or (b)(2) of this section.
(1) Use Equation 1 of this subpart to determine mass emissions per mass product as specified in paragraphs (b)(1)(i) and (b)(1)(ii) of this section. During periods of startup or shutdown, as an alternative to using Equation 1 of this subpart, the owner or operator may divide the emission rate of total organic HAP or TOC during startup or shutdown by the rate of polymer produced from the most recent performance test associated with a production rate greater than zero to determine compliance with the emission limit.

where:
ER = Emission rate of total organic HAP or TOC, kg/Mg product.
Ei = Emission rate of total organic HAP or TOC in continuous process vent i, kg/hr.
Pp = The rate of polymer produced, kg/hr.
n = Number of continuous process vents in the collection of material recovery sections at the affected source.
0.001 = Conversion factor, kg to Mg.
(i) The mass emission rate for each continuous process vent, Ei, shall be determined according to the procedures specified in �63.116(c)(4). The sampling site for determining whether �63.1316(b)(1)(i) is applicable shall be at the outlet of the last recovery or control device. When the provisions of �63.116(c)(4) specify that Method 18, 40 CFR part 60, appendix A shall be used, Method 18 or Method 25A, 40 CFR part 60, appendix A may be used for the purposes of this subpart. The use of Method 25A, 40 CFR part 60, appendix A shall comply with paragraphs (b)(1)(i)(A) and (b)(1)(i)(B) of this section.
(A) The organic HAP used as the calibration gas for Method 25A, 40 CFR part 60, appendix A shall be the single organic HAP representing the largest percent by volume of the emissions.
(B) The use of Method 25A, 40 CFR part 60, appendix A is acceptable if the response from the high-level calibration gas is at least 20 times the standard deviation of the response from the zero calibration gas when the instrument is zeroed on the most sensitive scale.
(ii) The rate of polymer produced, Pp (kg/hr), shall be determined by dividing the weight (kg) of polymer pulled from the process line during the performance test by the number of hours taken to perform the performance test. The weight of polymer pulled shall be determined by direct measurement or by an alternate methodology, such as materials balance. If an alternate methodology is used, a description of the methodology, including all procedures, data, and assumptions shall be submitted as part of the Notification of Compliance Status required by �63.1335(e)(5).
(2) Use engineering assessment, as described in �63.1323(b)(6)(i), to demonstrate that mass emissions per mass product are less than or equal to 0.07 kg organic HAP/Mg product. If engineering assessment shows that mass emissions per mass product are greater than 0.07 kg organic HAP/Mg product and the owner or operator wishes to demonstrate that mass emissions per mass product are less than the threshold emission rate of 0.12 kg organic HAP/Mg product, the owner or operator shall use the procedures specified in paragraph (b)(1) of this section.
(c) Compliance with mass emissions per mass product standards. Owners or operators complying with �63.1316(b)(1)(i)(A), (b)(1)(ii), (b)(2)(i), (b)(2)(ii), and (c)(1)(i) shall demonstrate compliance with the mass emissions per mass product requirements using the procedures specified in paragraph (b)(1) of this section. During periods of startup or shutdown, as an alternative to using the procedures specified in paragraph (b)(1) of this section, the owner or operator may divide the emission rate of total organic HAP or TOC during startup or shutdown by the rate of polymer produced from the most recent performance test associated with a production rate greater than zero to comply with the emission limit.
(d) Compliance with Temperature Limits for Final Condensers. Owners or operators complying with �63.1316(b)(1)(i)(B) or �63.1316(c)(1)(ii) shall demonstrate continuous compliance based on an average exit temperature determined for each operating day. Calculation of the daily average exit temperature shall follow the provisions of �63.1335(d)(3). The provisions of �63.1334(f) and (g) shall apply for the purposes of determining whether or not an owner or operator is to be deemed out of compliance for a given operating day.
[61 FR 48229, Sept. 12, 1996, as amended at 65 FR 38111, June 19, 2000; 66 FR 36938, July 16, 2001; 79 FR 17366, Mar. 27, 2014]
�63.1319 PET and polystyrene affected sources - recordkeeping provisions.
(a) Except as specified in paragraphs (b) and (c) of this section, owners or operators using a control or recovery device to comply with �63.1316 shall comply with the applicable recordkeeping provisions specified in �63.1315(a), except that, for the purposes of this paragraph (a), references to group determinations (i.e., total resource effectiveness) do not apply, and owners or operators are not required to comply with �63.113.
(b) Records demonstrating compliance with the applicability determination procedure for PET affected sources using a dimethyl terephthalate process. Owners or operators complying with �63.1316(b)(1)(i) by demonstrating that mass emissions per mass product are less than or equal to the level specified in �63.1316(b)(1)(i) (i.e., 0.12 kg organic HAP per Mg of product) shall keep the following records.
(1) Results of the mass emissions per mass product calculation specified in �63.1318(b).
(2) Records of any change in process operation that increases the mass emissions per mass product.
(c) Records demonstrating compliance with temperature limits for final condensers. Owners or operators of continuous process vents complying with �63.1316(b)(1)(i)(B) or �63.1316(c)(1)(ii) shall keep records of the daily averages required by �63.1318, per the recordkeeping provisions specified in �63.1335(d).
[61 FR 48229, Sept. 12, 1996, as amended at 65 FR 38111, June 19, 2000; 66 FR 36938, July 16, 2001; 79 FR 17366, Mar. 27, 2014]
�63.1320 PET and polystyrene affected sources - reporting provisions.
(a) Except as specified in paragraph (b) of this section, owners and operators using a control or recovery device to comply with �63.1316 shall comply with the applicable reporting provisions specified in �63.1315(a), except that, for the purposes of this paragraph (a), references to group determinations (i.e., total resource effectiveness) do not apply, and owners or operators are not required to comply with �63.113.
(b) Reporting for PET Affected Sources Using a Dimethyl Terephthalate Process. Owners or operators complying with �63.1316 by demonstrating that mass emissions per mass product are less than or equal to the level specified in �63.1316(b)(1)(i) (i.e., 0.12 kg organic HAP per Mg of product) shall comply with paragraphs (b)(1) through (b)(3) of this section.
(1) Include the information specified in �63.1319(b)(2) in each Periodic Report, required by �63.1335(e)(6), as appropriate.
(2) Include the information specified in �63.1319(b)(1) in the Notification of Compliance Status, required by �63.1335(e)(5).
(3) Whenever a process change, as defined in �63.115(e), is made that causes emissions from continuous process vents in the collection of material recovery sections (i.e., methanol recovery) within the affected source to be greater than 0.12 kg organic HAP per Mg of product, the owner or operator shall submit a report within 180 days after the process change is made or the information regarding the process change is known to the owner or operator. This report may be included in the next Periodic Report. The report shall include the information specified in �63.1319(b)(1) and a description of the process change.
[65 FR 38112, June 19, 2000, as amended at 66 FR 36938, July 16, 2001]
�63.1321 Batch process vents provisions.
(a) Batch process vents. Except as specified in paragraphs (b) through (d) of this section, owners and operators of new and existing affected sources with batch process vents shall comply with the requirements in ��63.1322 through 63.1327. The batch process vent group status shall be determined in accordance with �63.1323. Owners or operators of batch process vents classified as Group 1 shall comply with the reference control technology requirements for Group 1 batch process vents in �63.1322, the monitoring requirements in �63.1324, the performance test methods and procedures to determine compliance in �63.1325, the recordkeeping requirements in �63.1326, and the reporting requirements in �63.1327. Owners or operators of all Group 2 batch process vents shall comply with the applicable reference control technology requirements in �63.1322, the applicable recordkeeping requirements in �63.1326, and the applicable reporting requirements in �63.1327.
(b) New SAN batch affected sources. Owners and operators of new SAN affected sources using a batch process shall comply with the requirements of �63.1322 through �63.1327 for batch process vents and aggregate batch vent streams except as specified in paragraphs (b)(1) through (b)(2) of this section. For continuous process vents, owners and operators shall comply with the requirements of �63.1322 through �63.1327 except as specified in paragraph (b)(3) of this section.
(1) For batch process vents, the determination of group status (i.e., Group 1/Group 2) under �63.1323 is not required.
(2) For batch process vents and aggregate batch vent streams, the control requirements for individual batch process vents or aggregate batch vent streams (e.g., 90 percent emission reduction) as specified in �63.1322(a)(1), (a)(2), (b)(1), and (b)(2) shall not apply.
(3) Continuous process vents using a control or recovery device to comply with �63.1322(a)(3) are subject to the applicable requirements in �63.1315(a), as appropriate, except as specified in paragraphs (b)(3)(i) and (b)(3)(ii) of this section.
(i) Said continuous process vents are not subject to the group determination procedures of �63.115 for the purposes of this subpart.
(ii) Said continuous process vents are not subject to the reference control technology provisions of �63.113 for the purposes of this subpart.
(c) Aggregate batch vent streams. Aggregate batch vent streams, as defined in �63.1312, are subject to the control requirements specified in �63.1322(b), as well as the monitoring, testing, recordkeeping, and reporting requirements specified in ��63.1324 through 63.1327 for aggregate batch vent streams.
(d) Owners and operators of affected sources producing ASA/AMSAN shall comply with the provisions of �63.1315(e).
[61 FR 48229, Sept. 12, 1996, as amended at 64 FR 11549, Mar. 9, 1999; 65 FR 38112, June 19, 2000]
�63.1322 Batch process vents - reference control technology.
(a) Batch process vents. The owner or operator of a Group 1 batch process vent, as determined using the procedures in �63.1323, shall comply with the requirements of either paragraph (a)(1) or (a)(2) of this section, except as provided for in paragraph (a)(3) of this section. Compliance may be based on either organic HAP or TOC.
(1) For each batch process vent, reduce organic HAP emissions using a flare.
(i) The owner or operator shall comply with the requirements of �63.1333(e) for the flare.
(ii) Halogenated batch process vents, as defined in �63.1312, shall not be vented to a flare.
(2) For each batch process vent, reduce organic HAP emissions for the batch cycle by 90 weight percent using a control device. Owners or operators may achieve compliance with this paragraph (a)(2) through the control of selected batch emission episodes or the control of portions of selected batch emission episodes. Documentation demonstrating how the 90 weight percent emission reduction is achieved is required by �63.1325(c)(2).
(3) The owner or operator of a new affected source producing SAN using a batch process shall reduce organic HAP emissions from the collection of batch process vents, aggregate batch vent streams, and continuous process vents by 84 weight percent. Compliance with this paragraph (a)(3) shall be demonstrated using the procedures specified in �63.1333(c).
(b) Aggregate batch vent streams. The owner or operator of an aggregate batch vent stream that contains one or more Group 1 batch process vents shall comply with the requirements of either paragraph (b)(1) or (b)(2) of this section, except as provided for in paragraph (b)(3) of this section. Compliance may be based on either organic HAP or TOC.
(1) For each aggregate batch vent stream, reduce organic HAP emissions using a flare.
(i) The owner or operator shall comply with the requirements of �63.1333(e) for the flare.
(ii) Halogenated aggregate batch vent streams, as defined in �63.1312, shall not be vented to a flare.
(2) For each aggregate batch vent stream, reduce organic HAP emissions by 90 weight percent or to a concentration of 20 parts per million by volume, whichever is less stringent, on a continuous basis using a control device. For purposes of complying with the 20 parts per million by volume outlet concentration standard, the outlet concentration shall be calculated on a dry basis. When a combustion device is used for purposes of complying with the 20 parts per million by volume outlet concentration standard, the concentration shall be corrected to 3 percent oxygen if supplemental combustion air is used to combust the emissions. If supplemental combustion air is not used, a correction to 3 percent oxygen is not required.
(3) The owner or operator of a new affected source producing SAN using a batch process shall comply with paragraph (a)(3) of this section.
(c) Halogenated emissions. Halogenated Group 1 batch process vents, halogenated aggregate batch vent streams, and halogenated continuous process vents that are combusted as part of complying with paragraph (a)(2), (a)(3), (b)(2), or (b)(3) of this section, as appropriate, shall be controlled according to either paragraph (c)(1) or (c)(2) of this section.
(1) If a combustion device is used to comply with paragraph (a)(2), (a)(3), (b)(2), or (b)(3) of this section for a halogenated batch process vent, halogenated aggregate batch vent stream, or halogenated continuous process vent, said emissions exiting the combustion device shall be ducted to a halogen reduction device that reduces overall emissions of hydrogen halides and halogens by at least 99 percent before discharge to the atmosphere.
(2) A halogen reduction device may be used to reduce the halogen atom mass emission rate of said emissions to less than 3,750 kg/yr for batch process vents or aggregate batch vent streams and to less than 0.45 kilograms per hour for continuous process vents prior to venting to any combustion control device, and thus make the batch process vent, aggregate batch vent stream, or continuous process vent nonhalogenated. The nonhalogenated batch process vent, aggregate batch vent stream, or continuous process vent shall then comply with the requirements of either paragraph (a) or (b) of this section, as appropriate.
(d) If a boiler or process heater is used to comply with the percent reduction requirement specified in paragraph (a)(2), (a)(3), (b)(2), or (b)(3) of this section, the batch process vent, aggregate batch vent stream, or continuous process vent shall be introduced into the flame zone of such a device.
(e) Combination of batch process vents or aggregate batch vent streams with continuous process vents. If a batch process vent or aggregate batch vent stream is combined with a continuous process vent, the owner or operator shall determine whether the combined vent stream is subject to the provisions of ��63.1321 through 63.1327 according to paragraphs (e)(1) and (e)(2) of this section.
(1) A batch process vent or aggregate batch vent stream combined with a continuous process vent is not subject to the provisions of ��63.1321 through 63.1327, if the requirements in paragraph (e)(1)(i) and in either paragraph (e)(1)(ii) or (e)(1)(iii) are met.
(i) The only emissions to the atmosphere from the batch process vent or aggregate batch vent stream prior to being combined with the continuous process vent are from equipment subject to �63.1331.
(ii) The batch process vent or aggregate batch vent stream is combined with a Group 1 continuous process vent prior to the combined vent stream being routed to a control device. In this paragraph (e)(1)(ii), the definition of control device as it relates to continuous process vents shall be used. Furthermore, the combined vent stream discussed in this paragraph (e)(1)(ii) shall be subject to �63.1315(a)(13)(i).
(iii) The batch process vent or aggregate batch vent stream is combined with a continuous process vent prior to being routed to a recovery device. In this paragraph (e)(1)(iii), the definition of recovery device as it relates to continuous process vents shall be used. Furthermore, the combined vent stream discussed in this paragraph (e)(1)(iii) shall be subject to �63.1315(a)(13)(ii).
(2) If the batch process vent or aggregate batch vent stream is combined with a Group 2 continuous process vent, the group status of the batch process vent shall be determined prior to its combination with the Group 2 continuous process vent, in accordance with �63.1323, and the combined vent stream shall be subject to the requirements for aggregate batch vent streams in ��63.1321 through 63.1327.
(f) Group 2 batch process vents with annual emissions greater than or equal to the level specified in �63.1323(d). The owner or operator of a Group 2 batch process vent with annual emissions greater than or equal to the level specified in �63.1323(d) shall comply with the provisions of paragraph (f)(1), (f)(2), or (h) of this section.
(1) The owner or operator of an affected source shall comply with the requirements in paragraphs (f)(1)(i) through (f)(1)(iv) of this section.
(i) The owner or operator shall establish a batch mass input limitation that ensures the Group 2 batch process vent does not become a Group 1 batch process vent.
(ii) Over the course of the affected source's �year,� as reported in the Notification of Compliance Status in accordance with �63.1335(e)(5)(viii), the owner or operator shall not charge a mass of HAP or material to the batch unit operation that is greater than the level established as the batch mass input limitation.
(iii) The owner or operator shall comply with the recordkeeping requirements in �63.1326(d)(2), and the reporting requirements in �63.1327(a)(3), (b), and (c).
(iv) The owner or operator shall comply with �63.1323(i) when process changes are made.
(2) Comply with the requirements of this subpart for Group 1 batch process vents.
(g) Group 2 batch process vents with annual emissions less than the level specified in �63.1323(d). The owner or operator of a Group 2 batch process vent with annual emissions less than the level specified in �63.1323(d) shall comply with paragraphs (g)(1), (g)(2), (g)(3), or (g)(4) of this section.
(1) The owner or operator of the affected source shall comply with the requirements in paragraphs (g)(1)(i) through (g)(1)(iv) of this section.
(i) The owner or operator shall establish a batch mass input limitation that ensures emissions do not exceed the level specified in �63.1323(d).
(ii) Over the course of the affected source's �year,� as reported in the Notification of Compliance Status in accordance with �63.1335(e)(5)(viii), the owner or operator shall not charge a mass of HAP or material to the batch unit operation that is greater than the level established as the batch mass input limitation.
(iii) The owner or operator shall comply with the recordkeeping requirements in �63.1326(d)(1), and the reporting requirements in �63.1327(a)(2), (b), and (c).
(iv) The owner or operator of the affected source shall comply with �63.1323(i) when process changes are made.
(2) Comply with the requirements of paragraph (f)(1) of this section;
(3) Comply with the requirements of paragraph (f)(2) of this section; or
(4) Comply with the requirements of paragraph (h) of this section.
(h) Owners or operators of Group 2 batch process vents are not required to establish a batch mass input limitation if the batch process vent is Group 2 at the conditions specified in paragraphs (h)(1) and (h)(2) of this section and if the owner or operator complies with the recordkeeping provisions in ��63.1326(a)(1) through (3), 63.1326(a)(9), and 63.1326(a)(4) through (6) as applicable, and the reporting requirements in �63.1327(a)(5), (a)(6), and (b).
(1) Emissions for the single highest-HAP recipe (considering all products that are produced in the batch unit operation) are used in the group determination; and
(2) The group determination assumes that the batch unit operation is operating at the maximum design capacity of the TPPU for 12 months.
[61 FR 48229, Sept. 12, 1996, as amended at 64 FR 11549, Mar. 9, 1999; 65 FR 38112, June 19, 2000; 66 FR 36938, July 16, 2001]
�63.1323 Batch process vents - methods and procedures for group determination.
(a) General requirements. Except as provided in paragraph (a)(3) of this section and in �63.1321(b)(1), the owner or operator of batch process vents at affected sources shall determine the group status of each batch process vent in accordance with the provisions of this section. This determination may be based on either organic HAP or TOC emissions.
(1) The procedures specified in paragraphs (b) through (g) of this section shall be followed to determine the group status of each batch process vent. This determination shall be made in accordance with either paragraph (a)(1)(i) or (a)(1)(ii) of this section.
(i) An owner or operator may choose to determine the group status of a batch process vent based on the expected mix of products. For each product, emission characteristics of the single highest-HAP recipe, as defined in paragraph (a)(1)(iii) of this section, for that product shall be used in the procedures in paragraphs (b) through (i) of this section.
(ii) An owner or operator may choose to determine the group status of a batch process vent based on annualized production of the single highest-HAP recipe, as defined in paragraph (a)(1)(iii) of this section, considering all products produced or processed in the batch unit operation. The annualized production of the highest-HAP recipe shall be based exclusively on the production of the single highest-HAP recipe of all products produced or processed in the batch unit operation for a 12 month period. The production level used may be the actual production rate. It is not necessary to assume a maximum production rate (i.e., 8,760 hours per year at maximum design production).
(iii) The single highest-HAP recipe for a product means the recipe of the product with the highest total mass of HAP charged to the reactor during the production of a single batch of product.
(2) The annual uncontrolled organic HAP or TOC emissions and annual average batch vent flow rate shall be determined at the exit from the batch unit operation. For the purposes of these determinations, the primary condenser operating as a reflux condenser on a reactor or distillation column, the primary condenser recovering monomer, reaction products, by-products, or solvent from a stripper operated in batch mode, and the primary condenser recovering monomer, reaction products, by-products, or solvent from a distillation operation operated in batch mode shall be considered part of the batch unit operation. All other devices that recover or oxidize organic HAP or TOC vapors shall be considered control devices as defined in �63.1312.
(3) The owner or operator of a batch process vent complying with the flare provisions in �63.1322(a)(1) or �63.1322(b)(1) or routing the batch process vent to a control device to comply with the requirements in �63.1322(a)(2) or �63.1322(b)(2) is not required to perform the batch process vent group determination described in this section, but shall comply with all requirements applicable to Group 1 batch process vents for said batch process vent.
(b) Determination of annual emissions. The owner or operator shall calculate annual uncontrolled TOC or organic HAP emissions for each batch process vent using the methods described in paragraphs (b)(1) through (b)(8) of this section. To estimate emissions from a batch emissions episode, owners or operators may use either the emissions estimation equations in paragraphs (b)(1) through (b)(4) of this section, or direct measurement as specified in paragraph (b)(5) of this section. Engineering assessment may be used to estimate emissions from a batch emission episode only under the conditions described in paragraph (b)(6) of this section. In using the emissions estimation equations in paragraphs (b)(1) through (b)(4) of this section, individual component vapor pressure and molecular weight may be obtained from standard references. Methods to determine individual HAP partial pressures in multicomponent systems are described in paragraph (b)(9) of this section. Other variables in the emissions estimation equations may be obtained through direct measurement, as defined in paragraph (b)(5) of this section, through engineering assessment, as defined in paragraph (b)(6)(ii) of this section, by process knowledge, or by any other appropriate means. Assumptions used in determining these variables must be documented. Once emissions for the batch emission episode have been determined using either the emissions estimation equations, direct measurement, or engineering assessment, emissions from a batch cycle shall be calculated in accordance with paragraph (b)(7) of this section, and annual emissions from the batch process vent shall be calculated in accordance with paragraph (b)(8) of this section.
(1) TOC or organic HAP emissions from the purging of an empty vessel shall be calculated using Equation 2 of this subpart. Equation 2 of this subpart does not take into account evaporation of any residual liquid in the vessel.

Where:
Eepisode = Emissions, kg/episode.
Vves = Volume of vessel, m 3.
P = TOC or total organic HAP partial pressure, kPa.
MWwavg = Weighted average molecular weight of TOC or organic HAP in vapor, determined in accordance with paragraph (b)(4)(i)(D) of this section, kg/kmol.
R = Ideal gas constant, 8.314 m 3�kPa/kmol�K.
T = Temperature of vessel vapor space, K.
m = Number of volumes of purge gas used.
(2) TOC or organic HAP emissions from the purging of a filled vessel shall be calculated using Equation 3 of this subpart.

Where:
Eepisode = Emissions, kg/episode.
y = Saturated mole fraction of all TOC or organic HAP in vapor phase.
Vdr = Volumetric gas displacement rate, m 3/min.
P = Pressure in vessel vapor space, kPa.
MWwavg = Weighted average molecular weight of TOC or organic HAP in vapor, determined in accordance with paragraph (b)(4)(i)(D) of this section, kg/kmol.
R = Ideal gas constant, 8.314 m 3�kPa/kmol�K.
T = Temperature of vessel vapor space, K.
Pi = Vapor pressure of TOC or individual organic HAP i, kPa.
xi = Mole fraction of TOC or organic HAP i in the liquid.
n = Number of organic HAP in stream. Note: Summation not applicable if TOC emissions are being estimated.
Tm = Minutes/episode.
(3) Emissions from vapor displacement due to transfer of material into or out of a vessel shall be calculated using Equation 4 of this subpart.

where:
Eepisode = Emissions, kg/episode.
y = Saturated mole fraction of all TOC or organic HAP in vapor phase.
V = Volume of gas displaced from the vessel, m 3.
P = Pressure in vessel vapor space, kPa.
MWwavg = Weighted average molecular weight of TOC or organic HAP in vapor, determined in accordance with paragraph (b)(4)(i)(D) of this section, kg/kmol.
R = Ideal gas constant, 8.314 m 3?kPa/kmol?K.
T = Temperature of vessel vapor space, K.
(4) Emissions caused by the heating of a vessel shall be calculated using the procedures in either paragraphs (b)(4)(i), (b)(4)(ii), or (b)(4)(iii) of this section, as appropriate.
(i) If the final temperature to which the vessel contents is heated is lower than 50 K below the boiling point of the HAP in the vessel, then emissions shall be calculated using the equations in paragraphs (b)(4)(i)(A) through (b)(4)(i)(D) of this section.
(A) Emissions caused by heating of a vessel shall be calculated using Equation 5 of this subpart. The assumptions made for this calculation are atmospheric pressure of 760 millimeters of mercury (mm Hg) and the displaced gas is always saturated with volatile organic compounds (VOC) vapor in equilibrium with the liquid mixture.

Where:
Eepisode = Emissions, kg/episode.
(Pi)T1, (Pi)T2 = Partial pressure (kPa) of TOC or each organic HAP i in the vessel headspace at initial (T1) and final (T2) temperature.
n = Number of organic HAP in stream. Note: Summation not applicable if TOC emissions are being estimated.
?? = Number of kilogram-moles (kg-moles) of gas displaced, determined in accordance with paragraph (b)(4)(i)(B) of this section.
101.325 = Constant, kPa.
(MWWAVG, T1), (MWWAVG, T2) = Weighted average molecular weight of TOC or total organic HAP in the displaced gas stream, determined in accordance with paragraph (b)(4)(i)(D) of this section, kg/kmol.
(B) The moles of gas displaced, ??, is calculated using Equation 6 of this subpart.

Where:
?? = Number of kg-moles of gas displaced.
Vfs = Volume of free space in the vessel, m 3.
R = Ideal gas constant, 8.314 m 3�kPa/kmol�K.
Pa1 = Initial noncondensible gas partial pressure in the vessel, kPa.
Pa2 = Final noncondensible gas partial pressure, kPa.
T1 = Initial temperature of vessel, K.
T2 = Final temperature of vessel, K.
(C) The initial and final pressure of the noncondensible gas in the vessel shall be calculated using Equation 7 of this subpart.

Where:
Pa = Initial or final partial pressure of noncondensible gas in the vessel headspace, kPa.
101.325 = Constant, kPa.
(Pi)T = Partial pressure of TOC or each organic HAP i in the vessel headspace, kPa, at the initial or final temperature (T1 or T2).
n = Number of organic HAP in stream. Note: Summation not applicable if TOC emissions are being estimated.
(D) The weighted average molecular weight of TOC or organic HAP in the displaced gas, MWwavg, shall be calculated using Equation 8 of this subpart.

where:
C = TOC or organic HAP component
n = Number of TOC or organic HAP components in stream.
(ii) If the vessel contents are heated to a temperature greater than 50 K below the boiling point, then emissions from the heating of a vessel shall be calculated as the sum of the emissions calculated in accordance with paragraphs (b)(4)(ii)(A) and (b)(4)(ii)(B) of this section.
(A) For the interval from the initial temperature to the temperature 50 K below the boiling point, emissions shall be calculated using Equation 5 of this subpart, where T2 is the temperature 50 K below the boiling point.
(B) For the interval from the temperature 50 K below the boiling point to the final temperature, emissions shall be calculated as the summation of emissions for each 5 K increment, where the emissions for each increment shall be calculated using Equation 5 of this subpart.
(1) If the final temperature of the heatup is at or lower than 5 K below the boiling point, the final temperature for the last increment shall be the final temperature for the heatup, even if the last increment is less than 5 K.
(2) If the final temperature of the heatup is higher than 5 K below the boiling point, the final temperature for the last increment shall be the temperature 5 K below the boiling point, even if the last increment is less than 5 K.
(3) If the vessel contents are heated to the boiling point and the vessel is not operating with a condenser, the final temperature for the final increment shall be the temperature 5 K below the boiling point, even if the last increment is less than 5 K.
(iii) If the vessel is operating with a condenser, and the vessel contents are heated to the boiling point, the primary condenser, as specified in paragraph (a)(2) of this section, is considered part of the process. Emissions shall be calculated as the sum of emissions calculated using Equation 5 of this subpart, which calculates emissions due to heating the vessel contents to the temperature of the gas existing the condenser, and emissions calculated using Equation 4 of this subpart, which calculates emissions due to the displacement of the remaining saturated noncondensible gas in the vessel. The final temperature in Equation 5 of this subpart shall be set equal to the exit gas temperature of the condenser. Equation 4 of this subpart shall be used as written below in Equation 4a of this subpart, using free space volume, and T is set equal to the condenser exit gas temperature.

where:
Eepisode = Emissions, kg/episode.
y = Saturated mole fraction of all TOC or organic HAP in vapor phase.
Vfs = Volume of the free space in the vessel, m 3.
P = Pressure in vessel vapor space, kPa.
MWwavg = Weighted average molecular weight of TOC or organic HAP in vapor, determined in accordance with paragraph (b)(4)(i)(D) of this section, kg/kmol.
R = Ideal gas constant, 8.314 m 3?kPa/kmol?K.
T = Temperature of condenser exit stream, K.
(5) The owner or operator may estimate annual emissions for a batch emission episode by direct measurement. If direct measurement is used, the owner or operator shall either perform a test for the duration of a representative batch emission episode or perform a test during only those periods of the batch emission episode for which the emission rate for the entire episode can be determined or for which the emissions are greater than the average emission rate of the batch emission episode. The owner or operator choosing either of these options shall develop an emission profile for the entire batch emission episode, based on either process knowledge or test data collected, to demonstrate that test periods are representative. Examples of information that could constitute process knowledge include calculations based on material balances and process stoichiometry. Previous test results may be used provided the results are still relevant to the current batch process vent conditions. Performance tests shall follow the procedures specified in paragraphs (b)(5)(i) through (b)(5)(iii) of this section. The procedures in either paragraph (b)(5)(iv) or (b)(5)(v) of this section shall be used to calculate the emissions per batch emission episode.
(i) Method 1 or 1A, 40 CFR part 60, appendix A as appropriate, shall be used for selection of the sampling sites if the flow measuring device is a pitot tube. No traverse is necessary when Method 2A or 2D, 40 CFR part 60, appendix A is used to determine gas stream volumetric flow rate.
(ii) Annual average batch vent flow rate shall be determined as specified in paragraph (e) of this section.
(iii) Method 18 or Method 25A, 40 CFR part 60, appendix A, shall be used to determine the concentration of TOC or organic HAP, as appropriate. Alternatively, any other method or data that has been validated according to the applicable procedures in Method 301 of appendix A of this part may be used. The use of Method 25A, 40 CFR part 60, appendix A shall conform with the requirements in paragraphs (b)(5)(iii)(A) and (b)(5)(iii)(B) of this section.
(A) The organic HAP used as the calibration gas for Method 25A, 40 CFR part 60, appendix A shall be the single organic HAP representing the largest percent by volume of the emissions.
(B) The use of Method 25A, 40 CFR part 60, appendix A is acceptable if the response from the high-level calibration gas is at least 20 times the standard deviation of the response from the zero calibration gas when the instrument is zeroed on the most sensitive scale.
(iv) If an integrated sample is taken over the entire batch emission episode to determine the average batch vent concentration of TOC or total organic HAP, emissions shall be calculated using Equation 9 of this subpart.

Where:
Eepisode = Emissions, kg/episode.
K = Constant, 2.494 � 10?6 (ppmv)?1 (gm-mole/scm) (kg/gm) (min/hr), where standard temperature is 20�C.
Cj = Average batch vent concentration of TOC or sample organic HAP component j of the gas stream, dry basis, ppmv.
Mj = Molecular weight of TOC or sample organic HAP component j of the gas stream, gm/gm-mole.
AFR = Average batch vent flow rate of gas stream, dry basis, scmm.
Th = Hours/episode
n = Number of organic HAP in stream. Note: Summation not applicable if TOC emissions are being estimated using a TOC concentration measured using Method 25A, 40 CFR part 60, appendix A.
(v) If grab samples are taken to determine the average batch vent concentration of TOC or total organic HAP, emissions shall be calculated according to paragraphs (b)(5)(v)(A) and (b)(5)(v)(B) of this section.
(A) For each measurement point, the emission rate shall be calculated using Equation 10 of this subpart.

Where:
Epoint = Emission rate for individual measurement point, kg/hr.
K = Constant, 2.494 � 10??6 (ppmv)?1 (gm-mole/scm) (kg/gm) (min/hr), where standard temperature is 20�C.
Cj = Concentration of TOC or sample organic HAP component j of the gas stream, dry basis, ppmv.
Mj = Molecular weight of TOC or sample organic HAP component j of the gas stream, gm/gm-mole.
FR = Flow rate of gas stream for the measurement point, dry basis, scmm.
n = Number of organic HAP in stream. Note: Summation not applicable if TOC emissions are being estimated using a TOC concentration measured using Method 25A, 40 CFR part 60, appendix A.
(B) The emissions per batch emission episode shall be calculated using Equation 11 of this subpart.

where:
Eepisode = Emissions, kg/episode.
DUR = Duration of the batch emission episode, hr/episode.
Ei = Emissions for measurement point i, kg/hr.
n = Number of measurements.
(6) Engineering assessment may be used to estimate emissions from a batch emission episode, if the criteria in paragraph (b)(6)(i) are met. Data or other information used to demonstrate that the criteria in paragraph (b)(6)(i) of this section have been met shall be reported as specified in paragraph (b)(6)(iii) of this section. Paragraph (b)(6)(ii) of this section defines engineering assessment, for the purposes of estimating emissions from a batch emissions episode. All data, assumptions, and procedures used in an engineering assessment shall be documented.
(i) If the criteria specified in paragraph (b)(6)(i)(A), (B), or (C) are met for a specific batch emission episode, the owner or operator may use engineering assessment, as described in paragraph (b)(6)(ii) of this section, to estimate emissions from that batch emission episode, and the owner or operator is not required to use the emissions estimation equations described in paragraphs (b)(1) through (b)(4) of this section to estimate emissions from that batch emission episode.
(A) Previous test data, where the measurement of organic HAP or TOC emissions was an outcome of the test, show a greater than 20 percent discrepancy between the test value and the value estimated using the applicable equations in paragraphs (b)(1) through (b)(4) of this section. Paragraphs (b)(6)(i)(A)(1) and (2) of this section describe test data that will be acceptable under this paragraph (b)(6)(i)(A).
(1) Test data for the batch emission episode obtained during production of the product for which the demonstration is being made.
(2) Test data obtained for a batch emission episode from another process train, where the test data were obtained during production of the product for which the demonstration is being made. Test data from another process train may be used only if the owner or operator can demonstrate that the data are representative of the batch emission episode for which the demonstration is being made, taking into account the nature, size, operating conditions, production rate, and sequence of process steps (e.g., reaction, distillation, etc.) of the equipment in the other process train.
(B) Previous test data obtained during the production of the product for which the demonstration is being made, for the batch emission episode with the highest organic HAP emissions on a mass basis, show a greater than 20 percent discrepancy between the test value and the value estimated using the applicable equations in paragraphs (b)(1) through (b)(4) of this section. If the criteria in this paragraph (b)(6)(i)(B) are met, then engineering assessment may be used for all batch emission episodes associated with that batch cycle for the batch unit operation.
(C) The owner or operator has requested and been granted approval to use engineering assessment to estimate emissions from a batch emissions episode. The request to use engineering assessment to estimate emissions from a batch emissions episode shall contain sufficient information and data to demonstrate to the Administrator that engineering assessment is an accurate means of estimating emissions for that particular batch emissions episode. The request to use engineering assessment to estimate emissions for a batch emissions episode shall be submitted in the Precompliance Report required under �63.1335(e)(3).
(ii) Engineering assessment includes, but is not limited to, the following:
(A) Previous test results, provided the tests are representative of current operating practices;
(B) Bench-scale or pilot-scale test data obtained under conditions representative of current process operating conditions;
(C) Flow rate, TOC emission rate, or organic HAP emission rate specified or implied within a permit limit applicable to the batch process vent; and
(D) Design analysis based on accepted chemical engineering principles, measurable process parameters, or physical or chemical laws or properties. Examples of analytical methods include, but are not limited to:
(1) Use of material balances;
(2) Estimation of flow rate based on physical equipment design such as pump or blower capacities;
(3) Estimation of TOC or organic HAP concentrations based on saturation conditions; and
(4) Estimation of TOC or organic HAP concentrations based on grab samples of the liquid or vapor.
(iii) Data or other information used to demonstrate that the criteria in paragraph (b)(6)(i) of this section have been met shall be reported as specified in paragraphs (b)(6)(iii)(A) and (b)(6)(iii)(B) of this section.
(A) Data or other information used to demonstrate that the criteria in paragraph (b)(6)(i)(A) or (b)(6)(i)(B) of this section have been met shall be reported in the Notification of Compliance Status, as required in �63.1327(a)(6).
(B) The request for approval to use engineering assessment to estimate emissions from a batch emissions episode as allowed under paragraph (b)(6)(i)(C) of this section, and sufficient data or other information for demonstrating to the Administrator that engineering assessment is an accurate means of estimating emissions for that particular batch emissions episode shall be submitted with the Precompliance Report, as required in �63.1335(e)(3).
(7) For each batch process vent, the TOC or organic HAP emissions associated with a single batch cycle shall be calculated using Equation 12 of this subpart.

Where:
Ecycle = Emissions for an individual batch cycle, kg/batch cycle
Eepisodei = Emissions from batch emission episode i, kg/episode
n = Number of batch emission episodes for the batch cycle
(8) Annual TOC or organic HAP emissions from a batch process vent shall be calculated using Equation 13 of this subpart.

where:
AE = Annual emissions from a batch process vent, kg/yr.
Ni = Number of type i batch cycles performed annually, cycles/year
Ecyclei = Emissions from the batch process vent associated with a single type i batch cycle, as determined in paragraph (b)(7) of this section, kg/batch cycle
n = Number of different types of batch cycles that cause the emission of TOC or organic HAP from the batch process vent
(9) Individual HAP partial pressures in multicomponent systems shall be determined using the appropriate method specified in paragraphs (b)(9)(i) through (b)(9)(iii) of this section.
(i) If the components are miscible, use Raoult's law to calculate the partial pressures;
(ii) If the solution is a dilute aqueous mixture, use Henry's law constants to calculate partial pressures;
(iii) If Raoult's law or Henry's law are not appropriate or available, the owner or operator may use any of the options in paragraphs (b)(9)(iii)(A), (B), or (C) of this section.
(A) Experimentally obtained activity coefficients, Henry's law constants, or solubility data;
(B) Models, such as group-contribution models, to predict activity coefficients; or
(C) Assume the components of the system behave independently and use the summation of all vapor pressures from the HAPs as the total HAP partial pressure.
(c) [Reserved]
(d) Minimum emission level exemption. A batch process vent with annual emissions of TOC or organic HAP less than 11,800 kg/yr is considered a Group 2 batch process vent and the owner or operator of said batch process vent shall comply with the requirements in �63.1322(f) or (g). Annual emissions of TOC or organic HAP are determined at the exit of the batch unit operation, as described in paragraph (a)(2) of this section, and are determined as specified in paragraph (b) of this section. The owner or operator of said batch process vent is not required to comply with the provisions in paragraphs (e) through (g) of this section.
(e) Determination of average batch vent flow rate and annual average batch vent flow rate. The owner or operator shall determine the average batch vent flow rate for each batch emission episode in accordance with one of the procedures provided in paragraphs (e)(1) through (e)(2) of this section. The annual average batch vent flow rate for a batch process vent shall be calculated as specified in paragraph (e)(3) of this section.
(1) Determination of the average batch vent flow rate for a batch emission episode by direct measurement shall be made using the procedures specified in paragraphs (e)(1)(i) through (e)(1)(iii) of this section.
(i) The volumetric flow rate (FRi) for a batch emission episode, in standard cubic meters per minute (scmm) at 20�C, shall be determined using Method 2, 2A, 2C, or 2D, 40 CFR part 60, appendix A, as appropriate.
(ii) The volumetric flow rate of a representative batch emission episode shall be measured every 15 minutes.
(iii) The average batch vent flow rate for a batch emission episode shall be calculated using Equation 14 of this subpart.

Where:
AFRepisode = Average batch vent flow rate for the batch emission episode, scmm.
FRi = Flow rate for individual measurement i, scmm.
n = Number of flow rate measurements taken during the batch emission episode.
(2) The average batch vent flow rate for a batch emission episode may be determined by engineering assessment, as defined in paragraph (b)(6)(i) of this section. All data, assumptions, and procedures used shall be documented.
(3) The annual average batch vent flow rate for a batch process vent shall be calculated using Equation 15 of this subpart.

Where:
AFR = Annual average batch vent flow rate for the batch process vent, scmm.
DURi = Duration of type i batch emission episodes annually, hrs/yr.
AFRepisode, i = Average batch vent flow rate for type i batch emission episode, scmm.
n = Number of types of batch emission episodes venting from the batch process vent.
(f) Determination of cutoff flow rate. For each batch process vent, the owner or operator shall calculate the cutoff flow rate using Equation 16 of this subpart.
CFR = (0.00437) (AE) ? 51.6 [Eq. 16]
where:
CFR = Cutoff flow rate, scmm.
AE = Annual TOC or organic HAP emissions, as determined in paragraph (b)(8) of this section, kg/yr.
(g) Group 1/Group 2 status determination. The owner or operator shall compare the cutoff flow rate, calculated in accordance with paragraph (f) of this section, with the annual average batch vent flow rate, determined in accordance with paragraph (e)(3) of this section. The group determination status for each batch process vent shall be made using the criteria specified in paragraphs (g)(1) and (g)(2) of this section.
(1) If the cutoff flow rate is greater than or equal to the annual average batch vent flow rate of the stream, the batch process vent is classified as a Group 1 batch process vent.
(2) If the cutoff flow rate is less than the annual average batch vent flow rate of the stream, the batch process vent is classified as a Group 2 batch process vent.
(h) Determination of halogenation status. To determine whether a batch process vent or an aggregate batch vent stream is halogenated, the annual mass emission rate of halogen atoms contained in organic compounds shall be calculated using the procedures specified in paragraphs (h)(1) through (h)(3) of this section.
(1) The concentration of each organic compound containing halogen atoms (ppmv, by compound) for each batch emission episode shall be determined after the last recovery device (if any recovery devices are present), based on any one of the following procedures:
(i) Process knowledge that no halogens or hydrogen halides are present in the process may be used to demonstrate that a batch emission episode is nonhalogenated. Halogens or hydrogen halides that are unintentionally introduced into the process shall not be considered in making a finding that a batch emission episode is nonhalogenated.
(ii) Engineering assessment as discussed in paragraph (b)(6)(i) of this section.
(iii) Average concentration of organic compounds containing halogens and hydrogen halides as measured by Method 26 or 26A, 40 CFR part 60, appendix A.
(iv) Any other method or data that has been validated according to the applicable procedures in Method 301 of appendix A of this part.
(2) The annual mass emissions of halogen atoms for a batch process vent shall be calculated using Equation 17 of this subpart.

Where:
Ehalogen = Mass of halogen atoms, dry basis, kg/yr.
K = Constant, 0.022 (ppmv)?1 (kg-mole per scm) (minute/yr), where standard temperature is 20�C.
AFR = Annual average batch vent flow rate of the batch process vent, determined according to paragraph (e) of this section, scmm.
Mj, i = Molecular weight of halogen atom i in compound j, kg/kg-mole.
Lj, i = Number of atoms of halogen i in compound j.
n = Number of halogenated compounds j in the batch process vent.
m = Number of different halogens i in each compound j of the batch process vent.
Cavgj = Annual average batch vent concentration of halogenated compound j in the batch process vent as determined by using Equation 18 of this subpart, dry basis, ppmv.

Where:
DURi = Duration of type i batch emission episodes annually, hrs/yr.
Ci = Average batch vent concentration of halogenated compound j in type i batch emission episode, ppmv.
n = Number of types of batch emission episodes venting from the batch process vent.
(3) The annual mass emissions of halogen atoms for an aggregate batch vent stream shall be the sum of the annual mass emissions of halogen atoms for all batch process vents included in the aggregate batch vent stream.
(i) Process changes affecting Group 2 batch process vents. Whenever process changes, as described in paragraph (i)(1) of this section, are made that affect one or more Group 2 batch process vents and that could reasonably be expected to change one or more Group 2 batch process vents to Group 1 batch process vents or that could reasonably be expected to reduce the batch mass input limitation for one or more Group 2 batch process vents, the owner or operator shall comply with paragraphs (i)(2) and (3) of this section.
(1) Examples of process changes include the changes listed in paragraphs (i)(1)(i), (i)(1)(ii), and (i)(1)(iii) of this section.
(i) For all batch process vents, examples of process changes include, but are not limited to, changes in feedstock type or catalyst type; or whenever there is replacement, removal, or modification of recovery equipment considered part of the batch unit operation as specified in paragraph (a)(2) of this section; or increases in production capacity or production rate. For purposes of this paragraph (i), process changes do not include: Process upsets; unintentional, temporary process changes; and changes that are within the margin of variation on which the original group determination was based.
(ii) For Group 2 batch process vents where the group determination and batch mass input limitation are based on the expected mix of products, the situations described in paragraphs (i)(1)(ii)(A) and (B) of this section shall be considered to be process changes.
(A) The production of combinations of products not considered in establishing the batch mass input limitation.
(B) The production of a recipe of a product with a total mass of HAP charged to the reactor during the production of a single batch of product that is higher than the total mass of HAP for the recipe used as the single highest-HAP recipe for that product in the batch mass input limitation determination.
(iii) For Group 2 batch process vents where the group determination and batch mass input limitation are based on the single highest-HAP recipe (considering all products produced or processed in the batch unit operation), the production of a recipe having a total mass of HAP charged to the reactor (during the production of a single batch of product) that is higher than the total mass of HAP for the highest-HAP recipe used in the batch mass input limitation determination shall be considered to be a process change.
(2) For each batch process vent affected by a process change, the owner or operator shall redetermine the group status by repeating the procedures specified in paragraphs (b) through (g) of this section, as applicable; alternatively, engineering assessment, as described in paragraph (b)(6)(i) of this section, may be used to determine the effects of the process change.
(3) Based on the results from paragraph (i)(2) of this section, owners or operators of affected sources shall comply with either paragraph (i)(3)(i), (ii), or (iii) of this section.
(i) If the group redetermination described in paragraph (i)(2) of this section indicates that a Group 2 batch process vent has become a Group 1 batch process vent as a result of the process change, the owner or operator shall submit a report as specified in �63.1327(b) and shall comply with the Group 1 provisions in ��63.1322 through 63.1327 in accordance with �63.1310(i)(2)(ii) or (i)(2)(iii), as applicable.
(ii) If the redetermination described in paragraph (i)(2) of this section indicates that a Group 2 batch process vent with annual emissions less than the level specified in paragraph (d) of this section, that is in compliance with �63.1322(g), now has annual emissions greater than or equal to the level specified in paragraph (d) of this section but remains a Group 2 batch process vent, the owner or operator shall comply with the provisions in paragraphs (i)(3)(ii)(A) through (C) of this section.
(A) Redetermine the batch mass input limitation;
(B) Submit a report as specified in �63.1327(c); and
(C) Comply with �63.1322(f), beginning with the year following the submittal of the report submitted according to paragraph (i)(3)(ii)(B) of this section.
(iii) If the group redetermination described in paragraph (i)(2) of this section indicates no change in group status or no change in the relation of annual emissions to the levels specified in paragraph (d) of this section, the owner or operator shall comply with paragraphs (i)(3)(iii)(A) and (i)(3)(iii)(B) of this section.
(A) The owner or operator shall redetermine the batch mass input limitation; and
(B) The owner or operator shall submit the new batch mass input limitation in accordance with �63.1327(c).
(j) Process changes to new SAN affected sources using a batch process. Whenever process changes, as described in paragraph (j)(1) of this section, are made to a new affected source producing SAN using a batch process that could reasonably be expected to adversely impact the compliance status (i.e., achievement of 84 percent emission reduction) of the affected source, the owner or operator shall comply with paragraphs (j)(2) and (3) of this section.
(1) Examples of process changes include, but are not limited to, changes in production capacity, production rate, feedstock type, or catalyst type; replacement, removal, or addition of recovery equipment considered part of a batch unit operation, as specified in paragraph (a)(1) of this section; replacement, removal, or addition of control equipment associated with a continuous or batch process vent or an aggregate batch vent stream. For purposes of this paragraph (j)(1), process changes do not include process upsets or unintentional, temporary process changes.
(2) The owner or operator shall redetermine the percent emission reduction achieved using the procedures specified in �63.1333(c). If engineering assessment, as described in paragraph (b)(6)(i) of this section, can demonstrate that the process change did not cause the percent emission reduction to decrease, it may be used in lieu of redetermining the percent reduction using the procedures specified in �63.1333(c).
(3) Where the redetermined percent reduction is less than 84 percent, the owner or operator of the affected source shall submit a report as specified in �63.1327(d) and shall comply with �63.1322(a)(3) and all associated provisions in accordance with �63.1310(i).
[61 FR 48229, Sept. 12, 1996, as amended at 64 FR 11549, Mar. 9, 1999; 65 FR 38113, June 19, 2000; 66 FR 36938, July 16, 2001]
�63.1324 Batch process vents - monitoring equipment.
(a) General requirements. Each owner or operator of a batch process vent or aggregate batch vent stream that uses a control device to comply with the requirements in �63.1322(a) or �63.1322(b), shall install the monitoring equipment specified in paragraph (c) of this section. All monitoring equipment shall be installed, calibrated, maintained, and operated according to manufacturer's specifications or other written procedures that provide adequate assurance that the equipment would reasonably be expected to monitor accurately.
(1) This monitoring equipment shall be in operation at all times when batch emission episodes, or portions thereof, that the owner or operator has selected to control are vented to the control device, or at all times when an aggregate batch vent stream is vented to the control device.
(2) Except as otherwise provided in this subpart, the owner or operator shall operate control devices such that the daily average of monitored parameters, established as specified in paragraph (f) of this section, remains above the minimum level or below the maximum level, as appropriate.
(b) Continuous process vents. Each owner or operator of a continuous process vent that uses a control device or recovery device to comply with the requirements in �63.1322(a)(3) shall comply with the applicable requirements of �63.1315(a) as specified in �63.1321(b).
(c) Batch process vent and aggregate batch vent stream monitoring equipment. The monitoring equipment specified in paragraphs (c)(1) through (c)(8) of this section shall be installed as specified in paragraph (a) of this section. The parameters to be monitored are specified in Table 7 of this subpart.
(1) Where an incinerator is used, a temperature monitoring device equipped with a continuous recorder is required.
(i) Where an incinerator other than a catalytic incinerator is used, the temperature monitoring device shall be installed in the firebox or in the ductwork immediately downstream of the firebox in a position before any substantial heat exchange occurs.
(ii) Where a catalytic incinerator is used, temperature monitoring devices shall be installed in the gas stream immediately before and after the catalyst bed.
(2) Where a flare is used, a device (including but not limited to a thermocouple, ultra-violet beam sensor, or infrared sensor) capable of continuously detecting the presence of a pilot flame is required.
(3) Where a boiler or process heater of less than 44 megawatts design heat input capacity is used, a temperature monitoring device in the firebox equipped with a continuous recorder is required. Any boiler or process heater in which all batch process vents or aggregate batch vent streams are introduced with the primary fuel or are used as the primary fuel is exempt from this requirement.
(4) Where a scrubber is used with an incinerator, boiler, or process heater in concert with the combustion of halogenated batch process vents or halogenated aggregate batch vent streams, the following monitoring equipment is required for the scrubber.
(i) A pH monitoring device equipped with a continuous recorder to monitor the pH of the scrubber effluent.
(ii) A flow measurement device equipped with a continuous recorder shall be located at the scrubber influent for liquid flow. Gas stream flow shall be determined using one of the procedures specified in paragraphs (c)(4)(ii)(A) through (c)(4)(ii)(C) of this section.
(A) The owner or operator may determine gas stream flow using the design blower capacity, with appropriate adjustments for pressure drop.
(B) If the scrubber is subject to regulations in 40 CFR parts 264 through 266 that have required a determination of the liquid to gas (L/G) ratio prior to the applicable compliance date for this subpart, the owner or operator may determine gas stream flow by the method that had been utilized to comply with those regulations. A determination that was conducted prior to the compliance date for this subpart may be utilized to comply with this subpart if it is still representative.
(C) The owner or operator may prepare and implement a gas stream flow determination plan that documents an appropriate method which will be used to determine the gas stream flow. The plan shall require determination of gas stream flow by a method which will at least provide a value for either a representative or the highest gas stream flow anticipated in the scrubber during representative operating conditions other than malfunctions. The plan shall include a description of the methodology to be followed and an explanation of how the selected methodology will reliably determine the gas stream flow, and a description of the records that will be maintained to document the determination of gas stream flow. The owner or operator shall maintain the plan as specified in �63.1335(a).
(5) Where an absorber is used, a scrubbing liquid temperature monitoring device and a specific gravity monitoring device are required, each equipped with a continuous recorder.
(6) Where a condenser is used, a condenser exit temperature (product side) monitoring device equipped with a continuous recorder is required.
(7) Where a carbon adsorber is used, an integrating regeneration steam flow or nitrogen flow, or pressure monitoring device having an accuracy of �10 percent of the flow rate, level, or pressure, or better, capable of recording the total regeneration steam flow or nitrogen flow, or pressure (gauge or absolute) for each regeneration cycle; and a carbon bed temperature monitoring device, capable of recording the carbon bed temperature after each regeneration and within 15 minutes of completing any cooling cycle are required.
(8) As an alternate to paragraphs (c)(5) through (c)(7) of this section, the owner or operator may install an organic monitoring device equipped with a continuous recorder.
(d) Alternative monitoring parameters. An owner or operator of a batch process vent or aggregate batch vent stream may request approval to monitor parameters other than those required by paragraph (c) of this section. The request shall be submitted according to the procedures specified in �63.1327(f) and �63.1335(f). Approval shall be requested if the owner or operator:
(1) Uses a control device other than those included in paragraph (c) of this section; or
(2) Uses one of the control devices included in paragraph (c) of this section, but seeks to monitor a parameter other than those specified in Table 7 of this subpart and paragraph (c) of this section.
(e) Monitoring of bypass lines. Owners or operators of a batch process vent or aggregate batch vent stream using a vent system that contains bypass lines that could divert emissions away from a control device used to comply with �63.1322(a) or �63.1322(b) shall comply with either paragraph (e)(1) or (e)(2) of this section. Equipment such as low leg drains, high point bleeds, analyzer vents, open-ended valves or lines, and pressure relief valves needed for safety purposes are not subject to this paragraph (e).
(1) Properly install, maintain, and operate a flow indicator that takes a reading at least once every 15 minutes. Records shall be generated as specified in �63.1326(e)(3). The flow indicator shall be installed at the entrance to any bypass line that could divert emissions away from the control device and to the atmosphere; or
(2) Secure the bypass line damper or valve in the non-diverting position with a car-seal or a lock-and-key type configuration. A visual inspection of the seal or closure mechanism shall be performed at least once every month to ensure that the damper or valve is maintained in the non-diverting position and emissions are not diverted through the bypass line. Records shall be generated as specified in �63.1326(e)(4).
(f) Establishment of parameter monitoring levels. Parameter monitoring levels for batch process vents and aggregate batch vent streams shall be established as specified in paragraphs (f)(1) through (f)(3) of this section. For continuous process vents complying with �63.1322(a)(3), parameter monitoring levels shall be established as specified in �63.1315(a), except as specified in paragraph (f)(4) of this section.
(1) For each parameter monitored under paragraph (c) or (d) of this section, the owner or operator shall establish a level, defined as either a maximum or minimum operating parameter as denoted in Table 8 of this subpart, that indicates proper operation of the control device. The level shall be established in accordance with the procedures specified in �63.1334. The level may be based upon a prior performance test conducted for determining compliance with a regulation promulgated by EPA, and the owner or operator is not required to conduct a performance test under �63.1325, provided that the prior performance test meets the conditions of �63.1325(b)(3).
(i) For batch process vents using a control device to comply with �63.1322(a)(2), the established level shall reflect the control efficiency established as part of the initial compliance demonstration specified in �63.1325(c)(2).
(ii) For aggregate batch vent streams using a control device to comply with �63.1322(b)(2), the established level shall reflect the emission reduction requirement of either 90 percent or 20 ppmv specified in �63.1322(b)(2).
(iii) For batch process vents and aggregate batch vent streams using a control device to comply with �63.1322(a)(3), the established level shall reflect the control efficiency established as part of the initial compliance demonstration specified in �63.1325(f)(4).
(2) The established level, along with supporting documentation, shall be submitted in the Notification of Compliance Status or the operating permit application as required in �63.1335(e)(5) or �63.1335(e)(8), respectively.
(3) The operating day shall be defined as part of establishing the parameter monitoring level and shall be submitted with the information in paragraph (f)(2) of this section. The definition of operating day shall specify the time(s) at which an operating day begins and ends. The operating day shall not exceed 24 hours.
(4) For continuous process vents using a control or recovery device to comply with �63.1322(a)(3), the established level shall reflect the control efficiency established as part of the initial compliance demonstration specified in �63.1325(f)(4).
[61 FR 48229, Sept. 12, 1996, as amended at 65 FR 38118, June 19, 2000; 66 FR 36938, July 16, 2001; 79 FR 17366, Mar. 27, 2014]
�63.1325 Batch process vents - performance test methods and procedures to determine compliance.
(a) Use of a flare. When a flare is used to comply with �63.1322(a)(1), �63.1322(a)(3), �63.1322(b)(1), or �63.1322(b)(3), the owner or operator of an affected source shall comply with �63.1333(e).
(b) Exceptions to performance tests. An owner or operator is not required to conduct a performance test when a control device specified in paragraphs (b)(1) through (b)(5) of this section is used to comply with �63.1322(a)(2) or (a)(3).
(1) A boiler or process heater with a design heat input capacity of 44 megawatts or greater.
(2) A boiler or process heater where the vent stream is introduced with the primary fuel or is used as the primary fuel.
(3) A control device for which a performance test was conducted for determining compliance with a regulation promulgated by the EPA and the test was conducted using the same Methods specified in this section and either no deliberate process changes have been made since the test, or the owner or operator can demonstrate that the results of the performance test, with or without adjustments, reliably demonstrate compliance despite process changes. Recovery devices used for controlling emissions from continuous process vents complying with �63.1322(a)(3) are also eligible for the exemption described in this paragraph (b)(3).
(4) A boiler or process heater burning hazardous waste for which the owner or operator:
(i) Has been issued a final permit under 40 CFR part 270 and complies with the requirements of 40 CFR part 266, subpart H; or
(ii) Has certified compliance with the interim status requirements of 40 CFR part 266, subpart H.
(5) A hazardous waste incinerator for which the owner or operator has been issued a final permit under 40 CFR part 270 and complies with the requirements of 40 CFR part 264, subpart O, or has certified compliance with the interim status requirements of 40 CFR part 265, subpart O.
(c) Batch process vent testing and procedures for compliance with �63.1322(a)(2). Except as provided in paragraph (a) or (b) of this section, an owner or operator using a control device to comply with �63.1322(a)(2) shall conduct a performance test using the procedures specified in paragraph (c)(1) of this section in order to determine the control efficiency of the control device. An owner or operator shall determine the percent reduction for the batch cycle using the control efficiency of the control device as specified in paragraphs (c)(2)(i) through (c)(2)(iii) of this section and the procedures specified in paragraph (c)(2) of this section. Compliance may be based on either total organic HAP or TOC. For purposes of this paragraph (c), the term �batch emission episode� shall have the meaning �period of the batch emission episode selected for control,� which may be the entire batch emission episode or may only be a portion of the batch emission episode.
(1) Performance tests shall be conducted as specified in paragraphs (c)(1)(i) through (c)(1)(v) of this section.
(i) Except as specified in paragraph (c)(1)(i)(A) of this section, a test shall be performed for the entire period of each batch emission episode in the batch cycle that the owner or operator selects to control as part of achieving the required 90 percent emission reduction for the batch cycle specified in �63.1322(a)(2). Only one test is required for each batch emission episode selected by the owner or operator for control. The owner or operator shall follow the procedures listed in paragraphs (c)(1)(i)(B) through (c)(1)(i)(D) of this section.
(A) Alternatively, an owner or operator may choose to test only those periods of the batch emission episode during which the emission rate for the entire episode can be determined or during which the emissions are greater than the average emission rate of the batch emission episode. The owner or operator choosing either of these options shall develop an emission profile for the entire batch emission episode, based on either process knowledge or test data collected, to demonstrate that test periods are representative. Examples of information that could constitute process knowledge include calculations based on material balances and process stoichiometry. Previous test results may be used provided the results are still relevant to the current batch process vent conditions.
(B) Method 1 or 1A, 40 CFR part 60, appendix A, as appropriate, shall be used for selection of the sampling sites if the flow measuring device is a pitot tube, except that references to particulate matter in Method 1A do not apply for the purposes of this subpart. No traverse is necessary when Method 2A or 2D, 40 CFR part 60, appendix A is used to determine gas stream volumetric flow rate. Inlet sampling sites shall be located as specified in paragraphs (c)(1)(i)(B)(1) and (c)(1)(i)(B)(2) of this section. Outlet sampling sites shall be located at the outlet of the control device prior to release to the atmosphere.
(1) The control device inlet sampling site shall be located at the exit from the batch unit operation before any control device. �63.1323(a)(2) describes those recovery devices considered part of the unit operation. Inlet sampling sites would be after these specified recovery devices.
(2) If a batch process vent is introduced with the combustion air or as a secondary fuel into a boiler or process heater with a design capacity less than 44 megawatts, selection of the location of the inlet sampling sites shall ensure the measurement of total organic HAP or TOC (minus methane and ethane) concentrations in all batch process vents and primary and secondary fuels introduced into the boiler or process heater.
(C) Gas stream volumetric flow rate and/or average batch vent flow rate shall be determined as specified in �63.1323(e).
(D) Method 18 or Method 25A, 40 CFR part 60, appendix A shall be used to determine the concentration of organic HAP or TOC, as appropriate. Alternatively, any other method or data that has been validated according to the applicable procedures in Method 301 of appendix A of this part may be used. The use of Method 25A, 40 CFR part 60, appendix A shall conform with the requirements in paragraphs (c)(1)(i)(D)(1) and (c)(1)(i)(D)(2) of this section.
(1) The organic HAP used as the calibration gas for Method 25A, 40 CFR part 60, appendix A shall be the single organic HAP representing the largest percent by volume of the emissions.
(2) The use of Method 25A, 40 CFR part 60, appendix A is acceptable if the response from the high-level calibration gas is at least 20 times the standard deviation of the response from the zero calibration gas when the instrument is zeroed on the most sensitive scale.
(ii) If an integrated sample is taken over the entire test period to determine average batch vent concentration of TOC or total organic HAP, emissions per batch emission episode shall be calculated using Equations 19 and 20 of this subpart.


Where:
Eepisode = Inlet or outlet emissions, kg/episode.
K = Constant, 2.494 � 10?6 (ppmv)?1 (gm-mole/scm) (kg/gm) (min/hr), where standard temperature is 20�C.
Cj = Average inlet or outlet concentration of TOC or sample organic HAP component j of the gas stream for the batch emission episode, dry basis, ppmv.
Mj = Molecular weight of TOC or sample organic HAP component j of the gas stream, gm/gm-mole.
AFR = Average inlet or outlet flow rate of gas stream for the batch emission episode, dry basis, scmm.
Th = Hours/episode.
n = Number of organic HAP in stream. Note: Summation is not applicable if TOC emissions are being estimated using a TOC concentration measured using Method 25A, 40 CFR part 60, appendix A.
(iii) If grab samples are taken to determine average batch vent concentration of TOC or total organic HAP, emissions shall be calculated according to paragraphs (c)(1)(iii)(A) and (B) of this section.
(A) For each measurement point, the emission rates shall be calculated using Equations 21 and 22 of this subpart.


Where:
Epoint = Inlet or outlet emission rate for the measurement point, kg/hr.
K = Constant, 2.494 � 10?6 (ppmv)?1 (gm-mole/scm) (kg/gm) (min/hr), where standard temperature is 20�C.
Cj = Inlet or outlet concentration of TOC or sample organic HAP component j of the gas stream, dry basis, ppmv.
Mj = Molecular weight of TOC or sample organic HAP component j of the gas stream, gm/gm-mole.
FR = Inlet or outlet flow rate of gas stream for the measurement point, dry basis, scmm.
n = Number of organic HAP in stream. Note: Summation is not applicable if TOC emissions are being estimated using a TOC concentration measured using Method 25A, 40 CFR part 60, appendix A.
(B) The emissions per batch emission episode shall be calculated using Equations 23 and 24 of this subpart.


where:
Eepisode = Inlet or outlet emissions, kg/episode.
DUR = Duration of the batch emission episode, hr/episode.
Epoint, i = Inlet or outlet emissions for measurement point i, kg/hr.
n = Number of measurements.
(iv) The control efficiency for the control device shall be calculated using Equation 25 of this subpart.

where:
R = Control efficiency of control device, percent.
Einlet = Mass rate of TOC or total organic HAP for batch emission episode i at the inlet to the control device as calculated under paragraph (c)(1)(ii) or (c)(1)(iii) of this section, kg/hr.
Eoutlet = Mass rate of TOC or total organic HAP for batch emission episode i at the outlet of the control device, as calculated under paragraph (c)(1)(ii) or (c)(1)(iii) of this section, kg/hr.
n = Number of batch emission episodes in the batch cycle selected to be controlled.
(v) If the batch process vent entering a boiler or process heater with a design capacity less than 44 megawatts is introduced with the combustion air or as a secondary fuel, the weight-percent reduction of total organic HAP or TOC across the device shall be determined by comparing the TOC or total organic HAP in all combusted batch process vents and primary and secondary fuels with the TOC or total organic HAP, respectively, exiting the combustion device.
(2) The percent reduction for the batch cycle shall be determined using Equation 26 of this subpart and the control device efficiencies specified in paragraphs (c)(2)(i) through (c)(2)(iii) of this section. All information used to calculate the batch cycle percent reduction, including a definition of the batch cycle identifying all batch emission episodes, shall be recorded as specified in �63.1326(b)(2). This information shall include identification of those batch emission episodes, or portions thereof, selected for control.

Where:
PR = Percent reduction
Eunc = Mass rate of TOC or total organic HAP for uncontrolled batch emission episode i, kg/hr.
Einlet, con = Mass rate of TOC or total organic HAP for controlled batch emission episode i at the inlet to the control device, kg/hr.
R = Control efficiency of control device as specified in paragraphs (c)(2)(i) through (c)(2)(iii) of this section.
n = Number of uncontrolled batch emission episodes, controlled batch emission episodes, and control devices. The value of n is not necessarily the same for these three items.
(i) If a performance test is required by paragraph (c) of this section, the control efficiency of the control device shall be as determined in paragraph (c)(1)(iv) of this section.
(ii) If a performance test is not required by paragraph (c) of this section for a combustion control device, as specified in paragraph (b) of this section, the control efficiency shall be 98 percent. The control efficiency for a flare shall be 98 percent.
(iii) If a performance test is not required by paragraph (c) of this section for a noncombustion control device, the control efficiency shall be determined by the owner or operator based on engineering assessment.
(d) Batch process vent and aggregate batch vent stream testing for compliance with �63.1322(c) [halogenated emission streams]. An owner or operator controlling halogenated emissions in compliance with �63.1322(c) shall conduct a performance test to determine compliance with the control efficiency specified in �63.1322(c)(1) or the emission limit specified in �63.1322(c)(2) for hydrogen halides and halogens.
(1) Sampling sites shall be located at the inlet and outlet of the scrubber or other halogen reduction device used to reduce halogen emissions in complying with �63.1322(c)(1) or at the outlet of the halogen reduction device used to reduce halogen emissions in complying with �63.1322(c)(2).
(2) The mass emissions of each hydrogen halide and halogen compound for the batch cycle or aggregate batch vent stream shall be calculated from the measured concentrations and the gas stream flow rate(s) determined by the procedures specified in paragraphs (d)(2)(i) and (d)(2)(ii) of this section except as specified in paragraph (d)(5) of this section.
(i) Method 26 or Method 26A, 40 CFR part 60, appendix A, shall be used to determine the concentration, in Mg per dry scm, of total hydrogen halides and halogens present in the emissions stream.
(ii) Gas stream volumetric flow rate and/or average batch vent flow rate shall be determined as specified in �63.1323(e).
(3) To determine compliance with the percent reduction specified in �63.1322(c)(1), the mass emissions for any hydrogen halides and halogens present at the inlet of the scrubber or other halogen reduction device shall be summed together. The mass emissions of any hydrogen halides or halogens present at the outlet of the scrubber or other halogen reduction device shall be summed together. Percent reduction shall be determined by subtracting the outlet mass emissions from the inlet mass emissions and then dividing the result by the inlet mass emissions and multiplying by 100.
(4) To determine compliance with the emission limit specified in �63.1322(c)(2), the annual mass emissions for any hydrogen halides and halogens present at the outlet of the halogen reduction device and prior to any combustion device shall be summed together and compared to the emission limit specified in �63.1322(c)(2).
(5) The owner or operator may use any other method to demonstrate compliance if the method or data has been validated according to the applicable procedures of Method 301 of appendix A of this part.
(e) Aggregate batch vent stream testing for compliance with �63.1322(b)(2) or (b)(3). Except as specified in paragraphs (e)(1) through (e)(3) of this section, owners or operators of aggregate batch vent streams complying with �63.1322(b)(2) or (b)(3) shall conduct a performance test using the performance testing procedures for continuous process vents in �63.116(c).
(1) For purposes of this subpart, when the provisions of �63.116(c) specify that Method 18, 40 CFR part 60, appendix A, shall be used, Method 18 or Method 25A, 40 CFR part 60, appendix A, may be used. The use of Method 25A, 40 CFR part 60, appendix A, shall conform with the requirements in paragraphs (e)(1)(i) and (e)(1)(ii) of this section.
(i) The organic HAP used as the calibration gas for Method 25A, 40 CFR part 60, appendix A, shall be the single organic HAP representing the largest percent by volume of the emissions.
(ii) The use of Method 25A, 40 CFR part 60, appendix A, is acceptable if the response from the high-level calibration gas is at least 20 times the standard deviation of the response from the zero calibration gas when the instrument is zeroed on the most sensitive scale.
(2) When �63.116(c)(4) refers to complying with an emission reduction of 98 percent, for purposes of this subpart, the 90 percent reduction requirement specified in �63.1322(b)(2) shall apply.
(3) When a combustion device is used to comply with the 20 parts per million by volume outlet concentration standard specified in �63.1322(b)(2), the correction to 3 percent oxygen specified in the performance testing procedures of �63.116(c)(3) and �63.116(c)(3)(iii) is only required when supplemental combustion air is used to combust the emissions, for the purposes of this subpart.
(f) Compliance with �63.1322(a)(3) [new SAN batch affected sources]. Except as provided in paragraph (b) of this section, an owner or operator using a control or recovery device to comply with the percent reduction requirement in �63.1322(a)(3) shall conduct performance tests as specified in either paragraph (f)(1), (f)(2), or (f)(3) of this section, as applicable. Compliance with �63.1322(a)(3) shall be determined as specified in paragraph (f)(4) of this section.
(1) For batch process vents, performance tests shall be conducted using the procedures specified in paragraph (c) of this section, except that the owner or operator is not required to determine the percent reduction for the batch cycle as specified in paragraph (c)(2) of this section.
(2) For continuous process vents, performance tests shall be conducted as required by the applicable requirements of �63.1315(a) as specified in �63.1321(b).
(3) For aggregate batch vent streams, performance tests shall be conducted as specified in paragraph (e) of this section.
(4) Compliance with the percent reduction requirement of �63.1322(a)(3) shall be demonstrated using the procedures specified in �63.1333(c) and the control device efficiencies specified in either paragraph (f)(4)(i) or (f)(4)(ii) of this section. Emissions for uncontrolled continuous process vents and aggregate batch vent streams shall be determined based on the direct measurement procedures specified in paragraph (f)(2) and (f)(3) of this section, respectively, or based on engineering assessment, as specified in �63.1323(b)(6)(i). At the discretion of the owner or operator, emissions for uncontrolled batch process vents shall be determined based on any of the procedures in �63.1323(b).
(i) For noncombustion devices, the control efficiency shall be as determined by the performance test required by paragraph (f)(1), (f)(2), or (f)(3) of this section. Alternatively, if a performance test is not required by paragraph (c) of this section, the control efficiency shall be determined by the owner or operator based on engineering assessment.
(ii) For combustion devices, the control efficiency shall be as determined by the performance test required by paragraph (f)(1), (f)(2), or (f)(3) of this section. Alternatively, if a performance test is not required, the control efficiency shall be 98 percent. The control efficiency for a flare shall be 98 percent.
(g) Batch mass input limitation. The batch mass input limitation required by �63.1322(g)(1) shall be determined by the owner or operator such that annual emissions for the batch process vent remain less than the level specified in �63.1323(d). The batch mass input limitation required by �63.1322(f)(1) shall be determined by the owner or operator such that annual emissions remain at a level that ensures that said batch process vent remains a Group 2 batch process vent, given the actual annual flow rate for said batch process vent determined according to the procedures specified in �63.1323(e)(3). The batch mass input limitation shall be determined using the same basis, as described in �63.1323(a)(1), used to make the group determination (i.e., expected mix of products or highest-HAP recipe.) The establishment of the batch mass input limitation is not dependent upon any past production or activity level.
(1) If the expected mix of products serves as the basis for the batch mass input limitation, the batch mass input limitation shall be determined based on any foreseeable combination of products that the owner or operator expects to manufacture.
(2) If the single highest-HAP recipe serves as the basis for the batch mass input limitation, the batch mass input limitation shall be determined based solely on the production of the single highest-HAP recipe, considering all products produced or processed in the batch unit operation.
[61 FR 48229, Sept. 12, 1996, as amended at 64 FR 11549, Mar. 9, 1999; 65 FR 38119, June 19, 2000]
�63.1326 Batch process vents - recordkeeping provisions.
(a) Group determination records for batch process vents. Except as provided in paragraphs (a)(7) and (a)(8) of this section, each owner or operator of an affected source shall maintain the records specified in paragraphs (a)(1) through (a)(6) of this section for each batch process vent subject to the group determination procedures of �63.1323. Except for paragraph (a)(1) of this section, the records required by this paragraph (a) are restricted to the information developed and used to make the group determination under ��63.1323(b) through 63.1323(g), as appropriate. If an owner or operator did not need to develop certain information (e.g., annual average batch vent flow rate) to determine the group status, this paragraph (a) does not require that additional information be developed. Paragraph (a)(9) of this section specifies the recordkeeping requirements for Group 2 batch process vents that are exempt from the batch mass input limitation provisions, as allowed under �63.1322(h).
(1) An identification of each unique product that has emissions from one or more batch emission episodes venting from the batch process vent, along with an identification of the single highest-HAP recipe for each product and the mass of HAP fed to the reactor for that recipe.
(2) A description of, and an emission estimate for, each batch emission episode, and the total emissions associated with one batch cycle, as described in either paragraph (a)(2)(i) or (a)(2)(ii) of this section, as appropriate.
(i) If the group determination is based on the expected mix of products, records shall include the emission estimates for the single highest-HAP recipe of each unique product identified in paragraph (a)(1) of this section that was considered in making the group determination under �63.1323.
(ii) If the group determination is based on the single highest-HAP recipe (considering all products produced or processed in the batch unit operation), records shall include the emission estimates for the single highest-HAP recipe.
(3) Total annual uncontrolled TOC or organic HAP emissions, determined at the exit from the batch unit operation before any control device, determined in accordance with �63.1323(b).
(i) For Group 2 batch process vents, said emissions shall be determined at the batch mass input limitation.
(ii) For Group 1 batch process vents, said emissions shall be those used to determine the group status of the batch process vent.
(4) The annual average batch vent flow rate for the batch process vent, determined in accordance with �63.1323(e).
(5) The cutoff flow rate, determined in accordance with �63.1323(f).
(6) The results of the batch process vent group determination, conducted in accordance with �63.1323(g).
(7) If a batch process vent is subject to �63.1322(a) or (b), none of the records in paragraphs (a)(1) through (a)(6) of this section are required.
(8) If the total annual emissions from the batch process vent during the group determination are less than the appropriate level specified in �63.1323(d), only the records in paragraphs (a)(1) through (a)(3) of this section are required.
(9) For each Group 2 batch process vent that is exempt from the batch mass input limitation provisions because it meets the criteria of �63.1322(h), the records specified in paragraphs (a)(9)(i) and (ii) shall be maintained.
(i) Documentation of the maximum design capacity of the TPPU; and
(ii) The mass of HAP or material that can be charged annually to the batch unit operation at the maximum design capacity.
(b) Compliance demonstration records. Each owner or operator of a batch process vent or aggregate batch vent stream complying with �63.1322(a) or (b), shall keep the following records, as applicable, readily accessible:
(1) The annual mass emissions of halogen atoms in the batch process vent or aggregate batch vent stream determined according to the procedures specified in �63.1323(h);
(2) If the owner or operator of a batch process vent has chosen to comply with �63.1322(a)(2), records documenting the batch cycle percent reduction as specified in �63.1325(c)(2); and
(3) When using a flare to comply with �63.1322 (a)(1), (a)(3), (b)(1), or (b)(3):
(i) The flare design (i.e., steam-assisted, air-assisted or non-assisted);
(ii) All visible emission readings, heat content determinations, flow rate measurements, and exit velocity determinations made during the compliance determination required by �63.1333(e); and
(iii) Periods when all pilot flames were absent.
(4) The following information when using a control device to meet the percent reduction requirement specified in �63.1322(a)(2), (a)(3), (b)(2), or (b)(3):
(i) For an incinerator or non-combustion control device, the percent reduction of organic HAP or TOC achieved, as determined using the procedures specified in �63.1325(c) for batch process vents and �63.1325(e) for aggregate batch vent streams;
(ii) For a boiler or process heater, a description of the location at which the vent stream is introduced into the boiler or process heater;
(iii) For a boiler or process heater with a design heat input capacity of less than 44 megawatts and where the vent stream is introduced with combustion air or used as a secondary fuel and is not mixed with the primary fuel, the percent reduction of organic HAP or TOC achieved, as determined using the procedures specified in �63.1325(c) for batch process vents and �63.1325(e) for aggregate batch vent streams; and
(iv) For a scrubber or other halogen reduction device following a combustion device to control halogenated batch process vents or halogenated aggregate batch vent streams, the percent reduction of total hydrogen halides and halogens as determined under �63.1325(d)(3) or the emission limit determined under �63.1325(d)(4).
(5) When complying with the 20 parts per million by volume outlet concentration standard specified in �63.1322(b)(2), records of the outlet concentration of organic HAP or TOC on a dry basis. If supplemental combustion air is used to combust the emissions, the outlet concentration shall be corrected to 3 percent oxygen. If supplemental combustion air is not used, a correction to 3 percent oxygen is not required.
(c) Establishment of parameter monitoring level records. For each parameter monitored according to �63.1324(c) and Table 7 of this subpart, or for alternate parameters and/or parameters for alternate control devices monitored according to �63.1327(f) as allowed under �63.1324(d), maintain documentation showing the establishment of the level that indicates proper operation of the control device as required by �63.1324(f) for parameters specified in �63.1324(c) and as required by �63.1335(e) for alternate parameters. Said documentation shall include the parameter monitoring data used to establish the level.
(d) Group 2 batch process vent continuous compliance records. The owner or operator of a Group 2 batch process vent shall comply with either paragraph (d)(1) or (d)(2) of this section, as appropriate.
(1) The owner or operator of a Group 2 batch process vent that has chosen to comply with �63.1322(g) shall keep the following records readily accessible:
(i) Records designating the established batch mass input limitation required by �63.1322(g)(1) and specified in �63.1325(g).
(ii) Records specifying the mass of HAP or material charged to the batch unit operation.
(2) The owner or operator of a Group 2 batch process vent that has chosen to comply with �63.1322(f) shall keep the following records readily accessible:
(i) Records designating the established batch mass input limitation required by �63.1322(f)(1) and specified in �63.1325(g).
(ii) Records specifying the mass of HAP or material charged to the batch unit operation.
(e) Controlled batch process vent continuous compliance records. Each owner or operator of a batch process vent that has chosen to use a control device to comply with �63.1322(a) shall keep the following records, as applicable, readily accessible:
(1) Continuous records of the equipment operating parameters specified to be monitored under �63.1324(c) as applicable, and listed in Table 7 of this subpart, or specified by the Administrator in accordance with �63.1327(f) as allowed under �63.1324(d). Said records shall be kept as specified under �63.1335(d), except as specified in paragraphs (e)(1)(i) and (e)(1)(ii) of this section.
(i) For flares, the records specified in Table 7 of this subpart shall be maintained in place of continuous records.
(ii) For carbon adsorbers, the records specified in Table 7 of this subpart shall be maintained in place of batch cycle daily averages.
(2) Records of the batch cycle daily average value of each continuously monitored parameter, except as provided in paragraph (e)(2)(iii) of this section, as calculated using the procedures specified in paragraphs (e)(2)(i) and (e)(2)(ii) of this section.
(i) The batch cycle daily average shall be calculated as the average of all parameter values measured for an operating day during those batch emission episodes, or portions thereof, in the batch cycle that the owner or operator has selected to control.
(ii) Monitoring data recorded during periods of monitoring system breakdowns, repairs, calibration checks, and zero (low-level) and high-level adjustments shall not be included in computing the batch cycle daily averages. In addition, monitoring data recorded during periods of non-operation of the TPPU (or specific portion thereof) resulting in cessation of organic HAP emissions, or periods of start-up, shutdown, or malfunction shall not be included in computing the batch cycle daily averages.
(iii) If all recorded values for a monitored parameter during an operating day are above the minimum or below the maximum level established in accordance with �63.1324(f), the owner or operator may record that all values were above the minimum or below the maximum level established rather than calculating and recording a batch cycle daily average for that operating day.
(3) Hourly records of whether the flow indicator for bypass lines specified in �63.1324(e)(1) was operating and whether a diversion was detected at any time during the hour. Also, records of the times of all periods when the vent is diverted from the control device or the flow indicator specified in �63.1324(e)(1) is not operating.
(4) Where a seal or closure mechanism is used to comply with �63.1324(e)(2), hourly records of whether a diversion was detected at any time are not required. The owner or operator shall record whether the monthly visual inspection of the seals or closure mechanisms has been done, and shall record the occurrence of all periods when the seal mechanism is broken, the bypass line damper or valve position has changed, or the key for a lock-and-key type configuration has been checked out, and records of any car-seal that has broken.
(5) Records specifying the times and duration of periods of monitoring system breakdowns, repairs, calibration checks, and zero (low-level) and high-level adjustments. In addition, records specifying any other periods of process or control device operation when monitors are not operating.
(f) Aggregate batch vent stream continuous compliance records. In addition to the records specified in paragraphs (b) and (c) of this section, each owner or operator of an aggregate batch vent stream using a control device to comply with �63.1322(b)(1) or (b)(2) shall keep the following records readily accessible:
(1) Continuous records of the equipment operating parameters specified to be monitored under �63.1324(c) and listed in Table 7 of this subpart, as applicable, or specified by the Administrator in accordance with �63.1327(f), as allowed under �63.1324(d), with the exceptions listed in (f)(1)(i) and (f)(1)(ii) of this section.
(i) For flares, the records specified in Table 7 of this subpart shall be maintained in place of continuous records.
(ii) For carbon adsorbers, the records specified in Table 7 of this subpart shall be maintained in place of daily averages.
(2) Records of the daily average value of each continuously monitored parameter for each operating day determined according to the procedures specified in �63.1335(d).
(3) For demonstrating compliance with the monitoring of bypass lines as specified in �63.1324(e), records as specified in paragraphs (e)(3) or (e)(4) of this section, as appropriate.
(g) Documentation supporting the establishment of the batch mass input limitation shall include the information specified in paragraphs (g)(1) through (g)(5) of this section, as appropriate.
(1) Identification of whether the purpose of the batch mass input limitation is to comply with �63.1322(f)(1) or (g)(1).
(2) Identification of whether the batch mass input limitation is based on the single highest-HAP recipe (considering all products) or on the expected mix of products for the batch process vent as allowed under �63.1323(a)(1).
(3) Definition of the operating year, for the purposes of determining compliance with the batch mass input limitation.
(4) If the batch mass input limitation is based on the expected mix of products, the owner or operator shall provide documentation that describes as many scenarios for differing mixes of products (i.e., how many of each type of product) as the owner or operator desires the flexibility to accomplish. Alternatively, the owner or operator shall provide a description of the relationship among the mix of products that will allow a determination of compliance with the batch mass input limitation under any number of scenarios.
(5) The mass of HAP or material allowed to be charged to the batch unit operation per year under the batch mass input limitation.
[61 FR 48229, Sept. 12, 1996, as amended at 64 FR 11549, Mar. 9, 1999; 65 FR 38122, June 19, 2000]
�63.1327 Batch process vents - reporting requirements.
(a) The owner or operator of a batch process vent or aggregate batch vent stream at an affected source shall submit the information specified in paragraphs (a)(1) through (a)(6) of this section, as appropriate, as part of the Notification of Compliance Status specified in �63.1335(e)(5).
(1) For each batch process vent complying �63.1322(a) and each aggregate batch vent stream complying �63.1322(b), the information specified in �63.1326 (b) and (c), as applicable.
(2) For each Group 2 batch process vent with annual emissions less than the level specified in �63.1323(d), the information specified in �63.1326(d)(1)(i).
(3) For each Group 2 batch process vent with annual emissions greater than or equal to the level specified in �63.1323(d), the information specified in �63.1326(d)(2)(i).
(4) For each batch process vent subject to the group determination procedures, the information specified in �63.1326(a), as appropriate.
(5) For each Group 2 batch process vent that is exempt from the batch mass input limitation provisions because it meets the criteria of �63.1322(h), the information specified in �63.1326(a)(1) through (3), and the information specified in �63.1326(a)(4) through (6) as applicable, calculated at the conditions specified in �63.1322(h).
(6) When engineering assessment has been used to estimate emissions from a batch emissions episode and the criteria specified in �63.1323(b)(6)(i)(A) or (B) have been met, the owner or operator shall submit the information demonstrating that the criteria specified in �63.1323(b)(6)(i)(A) or (B) have been met as part of the Notification of Compliance Status required by �63.1335(e)(5).
(b) Whenever a process change, as defined in �63.1323(i)(1), is made that causes a Group 2 batch process vent to become a Group 1 batch process vent, the owner or operator shall notify the Administrator and submit a description of the process change within 180 days after the process change is made or with the next Periodic Report, whichever is later. The owner or operator of an affected source shall comply with the Group 1 batch process vent provisions in ��63.1321 through 63.1327 in accordance with �63.1310(i)(2)(ii).
(c) Whenever a process change, as defined in �63.1323(i)(1), is made that causes a Group 2 batch process vent with annual emissions less than the level specified in �63.1323(d) for which the owner or operator has chosen to comply with �63.1322(g) to have annual emissions greater than or equal to the level specified in �63.1323(d) but remains a Group 2 batch process vent, or if a process change is made that requires the owner or operator to redetermine the batch mass input limitation as specified in �63.1323(i)(3), the owner or operator shall submit a report within 180 days after the process change is made or with the next Periodic Report, whichever is later. The following information shall be submitted:
(1) A description of the process change;
(2) The batch mass input limitation determined in accordance with �63.1322(f)(1).
(d) Whenever a process change, as defined in �63.1323(j)(1), is made that could potentially cause the percent reduction for all process vents at a new SAN affected source using a batch process to be less than 84 percent, the owner or operator shall notify the Administrator and submit a description of the process change within 180 days after the process change is made or with the next Periodic Report, whichever is later. The owner or operator shall comply with �63.1322(a)(3) and all associated provisions in accordance with �63.1310(i).
(e) The owner or operator is not required to submit a report of a process change if one of the conditions specified in paragraphs (e)(1) or (e)(2) of this section is met.
(1) The change does not meet the description of a process change in �63.1323(i) or (j).
(2) The redetermined group status remains Group 2 for an individual batch process vent with annual emissions greater than or equal to the level specified in �63.1323(d) and the batch mass input limitation does not decrease, a Group 2 batch process vent with annual emissions less than the level specified in �63.1323(d) complying with �63.1322(g) continues to have emissions less than the level specified in �63.1323(d) and the batch mass input limitation does not decrease, or the achieved emission reduction remains at 84 percent or greater for new SAN affected sources using a batch process.
(f) If an owner or operator uses a control device other than those specified in �63.1324(c) and listed in Table 7 of this subpart or requests approval to monitor a parameter other than those specified �63.1324(c) and listed in Table 7 of this subpart, the owner or operator shall submit a description of planned reporting and recordkeeping procedures, as specified in �63.1335(f), as part of the Precompliance Report required under �63.1335(e)(3). The Administrator will specify appropriate reporting and recordkeeping requirements as part of the review of the Precompliance Report.
(g) Owners or operators of affected sources complying with �63.1324(e), shall comply with paragraph (g)(1) or (g)(2) of this section, as appropriate.
(1) Submit reports of the times of all periods recorded under �63.1326(e)(3) when the batch process vent is diverted from the control device through a bypass line, with the next Periodic Report.
(2) Submit reports of all occurrences recorded under �63.1326(e)(4) in which the seal mechanism is broken, the bypass line damper or valve position has changed, or the key to unlock the bypass line damper or valve was checked out, with the next Periodic Report.
[61 FR 48229, Sept. 12, 1996, as amended at 65 FR 38123, June 19, 2000; 66 FR 36938, July 16, 2001]
�63.1328 Heat exchange systems provisions.
(a) Except as specified in paragraph (b) of this section, each owner or operator of an affected source shall comply with �63.104, with the differences noted in paragraphs (c) through (h) of this section, for the purposes of this subpart.
(b) The provisions of paragraph (a) of this section do not apply to each process contact cooling tower that is associated with an existing affected source manufacturing PET.
(c) When the term �chemical manufacturing process unit� is used in �63.104, the term �thermoplastic product process unit� shall apply for purposes of this subpart, with the exception noted in paragraph (d) of this section.
(d) When the phrase �a chemical manufacturing process unit meeting the conditions of �63.100(b)(1) through (b)(3) of this subpart, except for chemical manufacturing process units meeting the condition specified in �63.100(c) of this subpart� is used in �63.104(a), the term �a TPPU, except for TPPUs meeting the condition specified in �63.1310(b)� shall apply for purposes of this subpart.
(e) When �63.104 refers to Table 4 of subpart F of this part or Table 9 of subpart G of this part, the owner or operator is only required to consider organic HAP listed on Table 6 of this subpart, except for ethylene glycol which need not be considered under this section, for purposes of this subpart.
(f) When �63.104(c)(3) specifies the monitoring plan retention requirements, and when �63.104(f)(1) refers to the record retention requirements in �63.103(c)(1), the requirements in ��63.1335(a) and 63.1335(h) shall apply, for purposes of this subpart.
(g) When �63.104(f)(2) requires information to be reported in the Periodic Reports required by �63.152(c), the owner or operator shall instead report the information specified in �63.104(f)(2) in the Periodic Reports required by �63.1335(e)(6), for the purposes of this subpart.
(h) The compliance date for heat exchange systems subject to the provisions of this section is specified in �63.1311.
[65 FR 38124, June 19, 2000]
�63.1329 Process contact cooling towers provisions.
(a) The owner or operator of each new affected source that manufactures PET is required to comply with paragraph (b) of this section. The owner or operator of each existing affected source that manufactures PET using a continuous terephthalic acid high viscosity multiple end finisher process that utilizes a process contact cooling tower shall comply with paragraph (c) of this section, and is not required to comply with paragraph (b) of this section. The compliance date for process contact cooling towers subject to the provisions of this section is specified in �63.1311.
(b) New affected source requirements. The owner or operator of a new affected source subject to this section shall comply with paragraphs (b)(1) through (b)(2) of this section.
(1) The owner or operator of a new affected source subject to this section shall not send contact condenser effluent associated with a vacuum system to a process contact cooling tower.
(2) The owner or operator of a new affected source subject to this section shall indicate in the Notification of Compliance Status, as required in �63.1335(e)(5), that contact condenser effluent associated with vacuum systems is not sent to process contact cooling towers.
(c) Existing affected source requirements. The owner or operator of an existing affected source subject to this section who manufactures PET using a continuous terephthalic acid high viscosity multiple end finisher process and who is subject or becomes subject to 40 CFR part 60, subpart DDD, shall maintain an ethylene glycol concentration in the process contact cooling tower at or below 6.0 percent by weight averaged on a daily basis over a rolling 14-day period of operating days. Compliance with this paragraph (c) shall be determined as specified in paragraphs (c)(1) through (c)(4) of this section. It should be noted that compliance with this paragraph (c) does not exempt owners or operators from complying with the provisions of �63.1330 for those process wastewater streams that are sent to the process contact cooling tower.
(1) To determine the ethylene glycol concentration, owners or operators shall follow the procedures specified in 40 CFR 60.564(j)(1), except as provided in paragraph (c)(2) of this section.
(i) At least one sample per operating day shall be collected using the procedures specified in 40 CFR 60.564(j)(1)(i). An average ethylene glycol concentration by weight shall be calculated on a daily basis over a rolling 14-day period of operating days. Each daily average ethylene glycol concentration so calculated constitutes a performance test.
(ii) The owner or operator may elect to reduce the sampling program to any 14 consecutive operating day period once every two calendar months, if at least seventeen consecutive 14-day rolling average concentrations immediately preceding the reduced sampling program are each less than 1.2 weight percent ethylene glycol. If the average concentration obtained over the 14 operating day sampling during the reduced test period exceeds the upper 95 percent confidence interval calculated from the most recent test results in which no one 14-day average exceeded 1.2 weight percent ethylene glycol, then the owner or operator shall reinstitute a daily sampling program. The 95 percent confidence interval shall be calculated as specified in paragraph (c)(1)(iii) of this section. A reduced program may be reinstituted if the requirements specified in this paragraph (c)(1)(ii) are met.
(iii) The upper 95 percent confidence interval shall be calculated using the Equation 27 of this subpart:

Where:
CI95 = 95 percent confidence interval
Xi = daily ethylene glycol concentration for each operating day used to calculate each 14-day rolling average used in test results to justify implementing the reduced testing program.
n = number of ethylene glycol concentrations.
(2) Measuring an alternative parameter, such as carbon oxygen demand or biological oxygen demand, that is demonstrated to be directly proportional to the ethylene glycol concentration shall be allowed. Such parameter shall be measured during the initial 14-day performance test during which the facility is shown to be in compliance with the ethylene glycol concentration standard whereby the ethylene glycol concentration is determined using the procedures described in paragraph (c)(1) of this section. The alternative parameter shall be measured on a daily basis and the average value of the alternative parameter shall be calculated on a daily basis over a rolling 14-day period of operating days. Each daily average value of the alternative parameter constitutes a performance test.
(i) Where 40 CFR 60.564(j)(1) requires the use of ASTM D2908-74 or 91, �Standard Practice for Measuring Volatile Organic Matter in Water by Aqueous-Injection Gas Chromatography,� ASTM D2908-91 (2011), D2908-91 (2005), D2908-91 (2001), D2908-91, or D2908-74 (all standards incorporated by reference, see �63.14) may be used.
(ii) Where 40 CFR 60.564(j)(1)(i) requires the use of ASTM D3370-76 or 95a, �Standard Practices for Sampling Water from Closed Conduits,� ASTM D3370-10, D3370-08, D3370-07, D3370-95a, or D3370-76 (all standards incorporated by reference, see �63.14) may be used.
(3) During each performance test, daily measurement and daily average 14-day rolling averages of the ethylene glycol concentration in the cooling tower water shall be recorded. For the initial performance test, these records shall be submitted in the Notification of Compliance Status report.
(4) All periods when the 14-day rolling average exceeds the standard shall be reported in the Periodic Report.
[61 FR 48229, Sept. 12, 1996, as amended at 65 FR 38124, June 19, 2000; 79 FR 17366, Mar. 27, 2014]
�63.1330 Wastewater provisions.
(a) Except as specified in paragraphs (d) and (e) of this section, the owner or operator of each affected source shall comply with paragraphs (b) and (c) of this section.
(b) The owner or operator of each affected source shall comply with the requirements of ��63.132 through 63.149, with the differences noted in paragraphs (b)(1) through (b)(22) of this section for the purposes of this subpart.
(1) When the determination of equivalence criteria in �63.102(b) is referred to in ��63.132, 63.133, and 63.137, the provisions in �63.6(g) shall apply for the purposes of this subpart.
(2) When the storage vessel requirements contained in ��63.119 through 63.123 are referred to in ��63.132 through 63.149, ��63.119 through 63.123 are applicable, with the exception of the differences referred to in �63.1314, for the purposes of this subpart.
(3) When �63.146(a) requires the submission of a request for approval to monitor alternative parameters according to the procedures specified in �63.151(f) or (g), owners or operators requesting to monitor alternative parameters shall follow the procedures specified in �63.1335(f) for the purposes of this subpart.
(4) When �63.147(d) requires owners or operators to keep records of the daily average value of each continuously monitored parameter for each operating day as specified in �63.152(f), owners and operators shall instead keep records of the daily average value of each continuously monitored parameter as specified in �63.1335(d) for the purposes of this subpart.
(5) When ��63.132 through 63.149 refer to an �existing source,� the term �existing affected source,� as defined in �63.1310(a), shall apply for the purposes of this subpart.
(6) When ��63.132 through 63.149 refer to a �new source,� the term �new affected source,� as defined in �63.1310(a), shall apply for the purposes of this subpart.
(7) When �63.132(a) and (b) refer to the �applicable dates specified in �63.100 of subpart F of this part,� the compliance dates specified in �63.1311 shall apply for the purposes of this subpart.
(8) The provisions of paragraphs (b)(8)(i), (b)(8)(ii), and (b)(8)(iii) of this section clarify the organic HAP that an owner or operator shall consider when complying with the requirements in ��63.132 through 63.149.
(i) When ��63.132 through 63.149 refer to table 8 compounds, the owner or operator is only required to consider 1,3-butadiene for purposes of this subpart.
(ii) When ��63.132 through 63.149 refer to table 9 compounds, the owner or operator is only required to consider compounds that meet the definition of organic HAP in �63.1312 and that are listed on table 9 of 40 CFR part 63, subpart G, for the purposes of this subpart, except for ethylene glycol which need not be considered.
(iii) When ��63.132 through 63.149 refer to compounds in table 36 of 40 CFR part 63, subpart G, or compounds on List 1 and/or List 2, as listed on table 36 of 40 CFR part 63, subpart G, the owner or operator is only required to consider compounds that meet the definition of organic HAP in �63.1312 and that are listed in table 36 of 40 CFR part 63, subpart G, for the purposes of this subpart.
(9) Whenever ��63.132 through 63.149 refer to a �chemical manufacturing process unit,� the term �thermoplastic product process unit,� (or TPPU) as defined in �63.1312, shall apply for the purposes of this subpart. In addition, when �63.149 refers to �a chemical manufacturing process unit that meets the criteria of �63.100(b) of subpart F of this part,� the term �a TPPU as defined in �63.1312(b)� shall apply for the purposes of this subpart.
(10) Whenever ��63.132 through 63.149 refer to a Group 1 wastewater stream or a Group 2 wastewater stream, the definitions of these terms contained in �63.1312 shall apply for the purposes of this subpart.
(11) When �63.149(d) refers to ��63.100(f) of subpart F�, the phrase ��63.1310(c)� shall apply for the purposes of this subpart. In addition, where �63.149(d) states �and the item of equipment is not otherwise exempt from controls by the provisions of subpart A, F, G, or H of this part�, the phrase �and the item of equipment is not otherwise exempt from controls by the provisions of subparts A, F, G, or H , or JJJ of this part� shall apply for the purposes of this subpart.
(12) When �63.149(e)(1) and (e)(2) refer to �a chemical manufacturing process unit subject to the new source requirements of 40 CFR �63.100(l)(1) or 40 CFR �63.100(l)(2),� the phrase �a TPPU that is part of a new affected source or that is a new affected source,� shall apply for the purposes of this subpart.
(13) When the Notification of Compliance Status requirements contained in �63.152(b) are referred to in ��63.138 and 63.146, the Notification of Compliance Status requirements contained in �63.1335(e)(5) shall apply for the purposes of this subpart. In addition, when ��63.132 through 63.149 require that information be reported according to �63.152(b) in the Notification of Compliance Status, the owner or operator of an affected source shall report the specified information in the Notification of Compliance Status required by �63.1335(e)(5) for the purposes of this subpart.
(14) When the Periodic Report requirements contained in �63.152(c) are referred to in �63.146, the Periodic Report requirements contained in �63.1335(e)(6) shall apply for the purposes of this subpart. In addition, when ��63.132 through 63.149 require that information be reported in the Periodic Reports required in �63.152(c), the owner or operator of an affected source shall report the specified information in the Periodic Reports required in �63.1335(e)(6) for the purposes of this subpart.
(15) When �63.143(f) specifies that owners or operators shall establish the range that indicates proper operation of the treatment process or control device, the owner or operator shall instead comply with the requirements of �63.1334(c) or (d) for establishing parameter level maximums/minimums for the purposes of this subpart.
(16) When �63.146(b)(7) and �63.146(b)(8) require that �the information on parameter ranges specified in �63.152(b)(2)� be reported in the Notification of Compliance Status, owners and operators of affected sources are instead required to report the information on parameter levels as specified in �63.1335(e)(5)(ii) for the purposes of this subpart.
(17) When the term �range� is used in ��63.132 through 63.149, the term �level� apply instead for the purposes of this subpart. This level shall be determined using the procedures specified in �63.1334.
(18) For the purposes of this subpart, the owner or operator of an affected source is not required to include process wastewater streams that contain styrene when conducting performance tests for the purposes of calculating the required mass removal (RMR) or the actual mass removal (AMR) under the provisions described in �63.145(f) or �63.145(g). For purposes of this paragraph, a process wastewater stream is considered to contain styrene if the wastewater stream meets the requirements in paragraph (b)(18)(i), (ii), (iii), (iv), or (v) of this section.
(i) The wastewater stream originates at equipment that produces ABS or ABS latex;
(ii) The wastewater stream originates at equipment that produces EPS;
(iii) The wastewater stream originates at equipment that produces MABS;
(iv) The wastewater stream originates at equipment that produces MBS; or
(v) The wastewater stream originates at equipment that produces SAN.
(19) When the provisions of �63.139(c)(1)(ii), �63.145(d)(4), or �63.145(i)(2) specify that Method 18, 40 CFR part 60, appendix A, shall be used, Method 18 or Method 25A, 40 CFR part 60, appendix A, may be used for the purposes of this subpart. The use of Method 25A, 40 CFR part 60, appendix A, shall conform with the requirements in paragraphs (b)(19)(i) and (b)(19)(ii) of this section.
(i) The organic HAP used as the calibration gas for Method 25A, 40 CFR part 60, appendix A, shall be the single organic HAP representing the largest percent by volume of the emissions.
(ii) The use of Method 25A, 40 CFR part 60, appendix A, is acceptable if the response from the high-level calibration gas is at least 20 times the standard deviation of the response from the zero calibration gas when the instrument is zeroed on the most sensitive scale.
(20) In �63.145(j), instead of the reference to �63.11(b), and instead of �63.145(j)(1) and �63.145(j)(2), the requirements in �63.1333(e) shall apply.
(21) The owner or operator of a facility which receives a Group 1 wastewater stream, or a residual removed from a Group 1 wastewater stream, for treatment pursuant to �63.132(g) is subject to the requirements of �63.132(g) with the differences identified in this section, and is not subject to subpart DD of this part with respect to that material.
(22) When �63.132(g) refers to ���63.133 through 63.137� or ���63.133 through 63.147�, the provisions in this section 63.1330 shall apply, for the purposes of this subpart.
(c) For each affected source, the owner or operator shall comply with the requirements for maintenance wastewater in �63.105, except that when �63.105(a) refers to �organic HAPs listed in table 9 of subpart G of this part,� the owner or operator is only required to consider compounds that meet the definition of organic HAP in �63.1312 and that are listed in table 9 of 40 CFR part 63, subpart G, except for ethylene glycol which need not be considered, for the purposes of this subpart.
(d) The provisions of paragraph (b) of this section do not apply to each affected source producing ASA/AMSAN.
(e) The provisions of paragraphs (b) and (c) of this section do not apply to each affected source producing polystyrene using either a continuous or batch process.
[65 FR 38125, June 19, 2000, as amended at 66 FR 36938, July 16, 2001]
�63.1331 Equipment leak provisions.
(a) Except �63.165 and as provided for in paragraphs (b) and (c) of this section, the owner or operator of each affected source shall comply with the requirements of subpart H of this part, with the differences noted in paragraphs (a)(1) through (13) of this section.
(1) For an affected source producing polystyrene resin, the indications of liquids dripping, as defined in subpart H of this part, from bleed ports in pumps and agitator seals in light liquid service shall not be considered to be a leak. For purposes of this subpart, a �bleed port� is a technologically-required feature of the pump or seal whereby polymer fluid used to provide lubrication and/or cooling of the pump or agitator shaft exits the pump, thereby resulting in a visible dripping of fluid.
(2) The compliance date for the equipment leak provisions contained in this section is provided in �63.1311. Whenever subpart H of this part refers to the compliance dates specified in any paragraph contained in �63.100, the compliance dates listed in �63.1311(d) shall instead apply, for the purposes of this subpart. When �63.182(c)(4) refers to �sources subject to subpart F,� the phrase �sources subject to this subpart� shall apply, for the purposes of this subpart. In addition, extensions of compliance dates are addressed by �63.1311(e) instead of �63.182(a)(6), for the purposes of this subpart.
(3) Owners and operators of an affected source subject to this subpart are not required to submit the Initial Notification required by �63.182(a)(1) and �63.182(b).
(4) As specified in �63.1335(e)(5), the Notification of Compliance Status required by paragraphs �63.182(a)(2) and �63.182(c) shall be submitted within 150 days (rather than 90 days) of the applicable compliance date specified in �63.1311 for the equipment leak provisions.
(5) The information specified by �63.182(a)(3) and �63.182(d) (i.e., Periodic Reports) shall be submitted as part of the Periodic Reports required by �63.1335(e)(6).
(6) For pumps, valves, connectors, and agitators in heavy liquid service; pressure relief devices in light liquid or heavy liquid service; and instrumentation systems; owners or operators of affected sources producing PET shall comply with the requirements of paragraphs (a)(6)(i) and (ii) of this section instead of with the requirements of �63.139. Owners or operators of PET affected sources shall comply with all other provisions of subpart H of this part for pumps, valves, connectors, and agitators in heavy liquid service; pressure relief devices in light liquid or heavy liquid service; and instrumentation systems, except as specified in paragraphs (a)(6)(iii) through (v) of this section.
(i) A leak is determined to be detected if there is evidence of a potential leak found by visual, audible, or olfactory means. Method 21, 40 CFR part 60, appendix A may not be used to determine the presence or absence of a leak.
(ii)(A) When a leak is detected, it shall be repaired as soon as practical, but not later than 15 days after it is detected, except as provided in �63.171.
(B) The first attempt at repair shall be made no later than 5 days after each leak is detected.
(C) Repaired shall mean that the visual, audible, olfactory, or other indications of a leak have been eliminated; that no bubbles are observed at potential leak sites during a leak check using soap solution; or that the system will hold a test pressure.
(iii) An owner or operator is not required to develop an initial list of identification numbers as would otherwise be required under �63.181(b)(1)(i) or �63.181(b)(4).
(iv) When recording the detection of a leak under �63.182(d)(1), the owner or operator of an affected source shall comply with paragraphs (a)(6)(iv)(A) through (a)(6)(iv)(B) of this section.
(A) When complying with �63.181(d)(1), provide an identification number for the leaking equipment at the time of recordkeeping. Further, the owner or operator is not required to record the identification number of the instrument (i.e., Method 21 instrument) because the use of Method 21 is not an acceptable method for determining a leak under this paragraph (a)(6).
(B) An owner or operator is not required to comply with �63.181(d)(4) which requires a record of the maximum instrument reading measured by Method 21 of 40 CFR part 60, appendix A.
(v) Indications of liquids dripping, as defined in subpart H of this part, from packing glands for pumps in ethylene glycol service where the pump seal is designed to weep fluid shall not be considered to be a leak. Ethylene glycol dripping from pump seals must be captured in a catchpan and returned to the process.
(7) When �63.166(b)(4)(i) refers to Table 9 of subpart G of this part, the owner or operator is only required to consider organic HAP listed on Table 6 of this subpart for purposes of this subpart, except for ethylene glycol which need not be considered.
(8) When the provisions of subpart H of this part specify that Method 18, 40 CFR part 60, appendix A, shall be used, Method 18 or Method 25A, 40 CFR part 60, appendix A, may be used for the purposes of this subpart. The use of Method 25A, 40 CFR part 60, appendix A, shall conform with the requirements in paragraphs (a)(8)(i) and (a)(8)(ii) of this section.
(i) The organic HAP used as the calibration gas for Method 25A, 40 CFR part 60, appendix A, shall be the single organic HAP representing the largest percent by volume of the emissions.
(ii) The use of Method 25A, 40 CFR part 60, appendix A, is acceptable if the response from the high-level calibration gas is at least 20 times the standard deviation of the response from the zero calibration gas when the instrument is zeroed on the most sensitive scale.
(9) Requirements for pressure relief devices. Except as specified in paragraph (a)(9)(iv) of this section, the owner or operator must comply with the operating and pressure release requirements specified in paragraphs (a)(9)(i) and (ii) of this section for pressure relief devices in organic HAP gas or vapor service. Except as specified in paragraph (a)(9)(iv) of this section, the owner or operator must also comply with the pressure release management requirements specified in paragraph (a)(9)(iii) of this section for all pressure relief devices in organic HAP service.
(i) Operating requirements. Except during a pressure release event, operate each pressure relief device in organic HAP gas or vapor service with an instrument reading of less than 500 ppm above background as detected by Method 21 of 40 CFR part 60, appendix A.
(ii) Pressure release requirements. For pressure relief devices in organic HAP gas or vapor service, comply with paragraph (a)(9)(ii)(A) or (B) of this section, as applicable.
(A) If the pressure relief device does not consist of or include a rupture disk, conduct instrument monitoring, as detected by Method 21 of 40 CFR part 60, appendix A, no later than 5 calendar days after the pressure release to verify that the pressure relief device is operating with an instrument reading of less than 500 ppm above background, except as provided in �63.171.
(B) If the pressure relief device consists of or includes a rupture disk, install a replacement disk as soon as practicable after a pressure release, but no later than 5 calendar days after the pressure release, except as provided in �63.171.
(iii) Pressure release management. Except as specified in paragraph (a)(9)(iv) of this section, pressure releases to the atmosphere from pressure relief devices in organic HAP service are prohibited, and the owner or operator must comply with the requirements specified in paragraphs (a)(9)(iii)(A) and (B) of this section for all pressure relief devices in organic HAP service.
(A) For each pressure relief device in organic HAP service, the owner or operator must equip each pressure relief device with a device(s) or use a monitoring system that is capable of:
(1) Identifying the pressure release;
(2) Recording the time and duration of each pressure release; and
(3) Notifying operators immediately that a pressure release is occurring. The device or monitoring system may be either specific to the pressure relief device itself or may be associated with the process system or piping, sufficient to indicate a pressure release to the atmosphere. Examples of these types of devices and systems include, but are not limited to, a rupture disk indicator, magnetic sensor, motion detector on the pressure relief valve stem, flow monitor, or pressure monitor.
(B) If any pressure relief device in organic HAP service releases to atmosphere as a result of a pressure release event, the owner or operator must calculate the quantity of organic HAP released during each pressure release event and report this quantity as required in �63.1335(e)(6)(xiii). Calculations may be based on data from the pressure relief device monitoring alone or in combination with process parameter monitoring data and process knowledge.
(iv) Pressure relief devices routed to a control device, process, or drain system. If a pressure relief device in organic HAP service is designed and operated to route all pressure releases through a closed vent system to a control device, process, or drain system, the owner or operator is not required to comply with paragraphs (a)(9)(i), (ii), or (iii) (if applicable) of this section. Both the closed vent system and control device (if applicable) must meet the requirements of �63.172. The drain system (if applicable) must meet the requirements of �63.136.
(10) If specific items of equipment, comprising part of a process unit subject to this subpart, are managed by different administrative organizations (e.g., different companies, affiliates, departments, divisions, etc.), those items of equipment may be aggregated with any TPPU within the affected source for all purposes under subpart H of this part, providing there is no delay in achieving the applicable compliance date.
(11) When the terms �equipment� and �equipment leak� are used in subpart H of this part, the definitions of these terms in �63.1312 shall apply for the purposes of this subpart.
(12) The phrase �the provisions of subparts F, I, or JJJ of this part� shall apply instead of the phrase �the provisions of subpart F or I of this part� throughout ��63.163 and 63.168, for the purposes of this subpart. In addition, the phrase �subparts F, I, or JJJ� shall apply instead of the phrase �subparts F and I� in �63.174(c)(2)(iii), for the purposes of this subpart.
(13) An owner or operator using a flare to comply with the requirements of this section shall conduct a compliance demonstration as specified in �63.1333(e).
(b) The provisions of this section do not apply to each TPPU producing PET using a process other than a continuous terephthalic acid (TPA) high viscosity multiple end finisher process that is part of an affected source if all of the equipment leak components subject to this section �63.1331 in the TPPU are either in vacuum service or in heavy liquid service.
(1) Owners and operators of a TPPU exempted under paragraph (b) of this section shall comply with paragraph (b)(1)(i) or (b)(1)(ii) of this section.
(i) Retain information, data, and analyses used to demonstrate that all of the components in the exempted TPPU are either in vacuum service or in heavy liquid service. For components in vacuum service, examples of information that could document this include, but are not limited to, analyses of process stream composition and process conditions, engineering calculations, or process knowledge. For components in heavy liquid service, such documentation shall include an analysis or demonstration that the process fluids do not meet the criteria of �in light liquid service� or �in gas or vapor service.�
(ii) When requested by the Administrator, demonstrate that all of the components in the TPPU are either in vacuum service or in heavy liquid service.
(2) If changes occur at a TPPU exempted under paragraph (b) of this section such that all of the components in the TPPU are no longer either in vacuum service or in heavy liquid service (e.g., by either process changes or the addition of new components), the owner or operator of the affected source shall comply with the provisions of this section for all of the components at the TPPU. The owner or operator shall submit a report within 180 days after the process change is made or the information regarding the process change is known to the owner or operator. This report may be included in the next Periodic Report, as specified in paragraph (a)(5) of this section. A description of the process change shall be submitted with this report.
(c)(1) Each affected source producing PET using a continuous TPA high viscosity multiple end finisher process shall monitor for leaks upon startup following an outage where changes have been made to equipment in gas/vapor or light liquid service. This leak check shall consist of the introduction of hot ethylene glycol vapors into the system for a period of no less than 2 hours during which time sensory monitoring of the equipment shall be conducted.
(2) A leak is determined to be detected if there is evidence of a potential leak found by visual, audible, or olfactory means.
(3) When a leak is detected, it shall be repaired as soon as practical, but not later than 15 days after it is detected, except as provided in �63.171.
(i) The first attempt at repair shall be made no later than 5 days after each leak is detected.
(ii) Repaired shall mean that the visual, audible, olfactory or other indications of a leak have been eliminated; that no bubbles are observed at potential leak sites during a leak check using soap solution; or that the system will hold a test pressure.
(4) When a leak is detected, the following information shall be recorded and kept for 2 years and reported in the next periodic report:
(i) The instrument and the equipment identification number and the operator name, initials or identification number.
(ii) The date the leak was detected and the date of first attempt to repair the leak.
(iii) The date of successful repair of the leak.
[61 FR 48229, Sept. 12, 1996, as amended at 62 FR 37722, July 15, 1997; 65 FR 38127, June 19, 2000; 66 FR 40907, Aug. 6, 2001; 79 FR 17367, Mar. 27, 2014]
�63.1332 Emissions averaging provisions.
(a) This section applies to owners or operators of existing affected sources who seek to comply with �63.1313(b) by using emissions averaging rather than following the provisions of ��63.1314, 63.1315, 63.1316 through 63.1320, 63.1321, and 63.1330.
(1) The following emission point limitations apply to the use of these provisions:
(i) All emission points included in an emissions average shall be from the same affected source. There may be an emissions average for each affected source located at a plant site.
(ii)(A) If a plant site has only one affected source for which emissions averaging is being used to demonstrate compliance, the number of emission points allowed in the emissions average for said affected source is limited to twenty. This number may be increased by up to five additional emission points if pollution prevention measures are used to control five or more of the emission points included in the emissions average.
(B) If a plant site has two or more affected sources for which emissions averaging is being used to demonstrate compliance, the number of emission points allowed in the emissions averages for said affected sources is limited to twenty. This number may be increased by up to five additional emission points if pollution prevention measures are used to control five or more of the emission points included in the emissions averages.
(2) Compliance with the provisions of this section may be based on either organic HAP or TOC.
(3) For the purposes of these provisions, whenever Method 18, 40 CFR part 60, appendix A, is specified within the paragraphs of this section or is specified by reference through provisions outside this section, Method 18 or Method 25A, 40 CFR part 60, appendix A, may be used. The use of Method 25A, 40 CFR part 60, appendix A, shall conform with the requirements in paragraphs (a)(3)(i) and (a)(3)(ii) of this section.
(i) The organic HAP used as the calibration gas for Method 25A, 40 CFR part 60, appendix A shall be the single organic HAP representing the largest percent by volume of the emissions.
(ii) The use of Method 25A, 40 CFR part 60, appendix A is acceptable if the response from the high-level calibration gas is at least 20 times the standard deviation of the response from the zero calibration gas when the instrument is zeroed on the most sensitive scale.
(b) Unless an operating permit application has been submitted, the owner or operator shall develop and submit for approval an Emissions Averaging Plan containing all of the information required in �63.1335(e)(4) for all emission points to be included in an emissions average.
(c) Paragraphs (c)(1) through (c)(5) of this section describe the emission points that may be used to generate emissions averaging credits if control was applied after November 15, 1990, and if sufficient information is available to determine the appropriate value of credits for the emission point. Paragraph (c)(6) of this section discusses the use of pollution prevention in generating emissions averaging credits.
(1) Storage vessels, batch process vents, aggregate batch vent streams, continuous process vents subject to �63.1315, and process wastewater streams that are determined to be Group 2 emission points. The term �continuous process vents subject to �63.1315� includes continuous process vents subject to �63.1316 (b)(1)(iii), (b)(2)(iii), and (c)(2), which reference �63.1315.
(2) Continuous process vents located in the collection of material recovery sections within the affected source at an existing affected source producing PET using a continuous dimethyl terephthalate process subject to �63.1316(b)(1)(i) where the uncontrolled organic HAP emissions from said continuous process vents are equal to or less than 0.12 kg organic HAP per Mg of product. These continuous process vents shall be considered Group 2 emission points for the purposes of this section.
(3) Storage vessels, continuous process vents subject to �63.1315, and process wastewater streams that are determined to be Group 1 emission points and that are controlled by a technology that the Administrator or permitting authority agrees has a higher nominal efficiency than the reference control technology. Information on the nominal efficiencies for such technologies shall be submitted and approved as provided in paragraph (i) of this section.
(4) Batch process vents and aggregate batch vent streams that are determined to be Group 1 emission points and that are controlled to a level more stringent than the applicable standard.
(5) Continuous process vents subject to �63.1316 (b)(1)(i), (b)(1)(ii), (b)(2)(i), (b)(2)(ii), or (c)(1) located in the collection of process sections within the affected source, as specified in paragraphs (c)(5)(i) through (c)(5)(ii) of this section. The continuous process vents identified in paragraphs (c)(5)(i) through (c)(5)(ii) of this section shall be considered to be Group 1 emission points for the purposes of this section.
(i) Continuous process vents subject to �63.1316(b)(1)(i) located in the collection of material recovery sections within the affected source where the uncontrolled organic HAP emissions for said continuous process vents are greater than 0.12 kg organic HAP per Mg of product and said continuous process vents are controlled to a level more stringent than the applicable standard.
(ii) Continuous process vents subject to �63.1316(b)(1)(ii), (b)(2)(i), (b)(2)(ii), or (c)(1) located in the collection of process sections within the affected source where the uncontrolled organic HAP emissions from said continuous process vents are controlled to a level more stringent than the applicable standard.
(6) The percent reduction for any storage vessel, batch process vent, aggregate batch vent stream, continuous process vent, and process wastewater stream from which emissions are reduced by pollution prevention measures shall be determined using the procedures specified in paragraph (j) of this section.
(i) For a Group 1 storage vessel, batch process vent, aggregate batch vent stream, continuous process vent, or process wastewater stream, the pollution prevention measure must reduce emissions more than if the applicable reference control technology or standard had been applied to the emission point instead of the pollution prevention measure, except as provided in paragraph (c)(6)(ii) of this section.
(ii) If a pollution prevention measure is used in conjunction with other controls for a Group 1 storage vessel, batch process vent, aggregate batch vent stream, continuous process vent, or process wastewater stream, the pollution prevention measure alone does not have to reduce emissions more than the applicable reference control technology or standard, but the combination of the pollution prevention measure and other controls must reduce emissions more than if the applicable reference control technology or standard had been applied instead of the pollution prevention measure.
(d) The following emission points cannot be used to generate emissions averaging credits:
(1) Emission points already controlled on or before November 15, 1990, cannot be used to generate credits unless the level of control is increased after November 15, 1990. In this case, credit will be allowed only for the increase in control after November 15, 1990.
(2) Group 1 emission points, identified in paragraph (c)(3) of this section, that are controlled by a reference control technology cannot be used to generate credits unless the reference control technology has been approved for use in a different manner and a higher nominal efficiency has been assigned according to the procedures in paragraph (i) of this section.
(3) Emission points for nonoperating TPPU cannot be used to generate credits. TPPU that are shutdown cannot be used to generate credits or debits.
(4) Maintenance wastewater cannot be used to generate credits. Wastewater streams treated in biological treatment units cannot be used to generate credits. These two types of wastewater cannot be used to generate credits or debits. For the purposes of this section, the terms wastewater and wastewater stream are used to mean process wastewater.
(5) Emission points controlled to comply with a State or Federal rule other than this subpart cannot be used to generate credits, unless the level of control has been increased after November 15, 1990, to a level above what is required by the other State or Federal rule. Only the control above what is required by the other State or Federal rule will be credited. However, if an emission point has been used to generate emissions averaging credit in an approved emissions average, and the emission point is subsequently made subject to a State or Federal rule other than this subpart, the emission point may continue to generate emissions averaging credit for the purpose of complying with the previously approved emissions average.
(e) For all emission points included in an emissions average, the owner or operator shall perform the following tasks:
(1) Calculate and record monthly debits for all Group 1 emission points that are controlled to a level less stringent than the reference control technology or standard for those emission points. Said Group 1 emission points are identified in paragraphs (c)(3) through (c)(5) of this section. Equations in paragraph (g) of this section shall be used to calculate debits.
(2) Calculate and record monthly credits for all Group 1 and Group 2 emission points that are over-controlled to compensate for the debits. Equations in paragraph (h) of this section shall be used to calculate credits. Emission points and controls that meet the criteria of paragraph (c) of this section may be included in the credit calculation, whereas those described in paragraph (d) of this section shall not be included.
(3) Demonstrate that annual credits calculated according to paragraph (h) of this section are greater than or equal to debits calculated for the same annual compliance period according to paragraph (g) of this section.
(i) The owner or operator may choose to include more than the required number of credit-generating emission points in an emissions average in order to increase the likelihood of being in compliance.
(ii) The initial demonstration in the Emissions Averaging Plan or operating permit application that credit-generating emission points will be capable of generating sufficient credits to offset the debits from the debit-generating emission points shall be made under representative operating conditions. After the compliance date, actual operating data will be used for all debit and credit calculations.
(4) Demonstrate that debits calculated for a quarterly (3-month) period according to paragraph (g) of this section are not more than 1.30 times the credits for the same period calculated according to paragraph (h) of this section. Compliance for the quarter shall be determined based on the ratio of credits and debits from that quarter, with 30 percent more debits than credits allowed on a quarterly basis.
(5) Record and report quarterly and annual credits and debits in the Periodic Reports as specified in �63.1335(e)(6). Every fourth Periodic Report shall include a certification of compliance with the emissions averaging provisions as required by �63.1335(e)(6)(x)(C)(2).
(f) Debits and credits shall be calculated in accordance with the methods and procedures specified in paragraphs (g) and (h) of this section, respectively, and shall not include emissions during periods of monitoring excursions, as defined in �63.1334(f). For these periods, the calculation of monthly credits and debits shall be adjusted as specified in paragraphs (f)(1) through (3) of this section.
(1) No credits would be assigned to the credit-generating emission point.
(2) Maximum debits would be assigned to the debit-generating emission point.
(3) The owner or operator may demonstrate to the Administrator that full or partial credits or debits should be assigned using the procedures in paragraph (l) of this section.
(g) Debits are generated by the difference between the actual emissions from a Group 1 emission point that is uncontrolled or is controlled to a level less stringent than the applicable reference control technology or standard and the emissions allowed for the Group 1 emission point. Said Group 1 emission points are identified in paragraphs (c)(3) through (c)(5) of this section. Debits shall be calculated as follows:
(1) Source-wide debits shall be calculated using Equation 28 of this subpart. Debits and all terms of Equation 28 of this subpart are in units of megagrams per month:

Where:
ECPViACTUAL = Emissions from each Group 1 continuous process vent i subject to �63.1315 that is uncontrolled or is controlled to a level less stringent than the applicable reference control technology. ECPViACTUAL is calculated according to paragraph (g)(2) of this section.
(0.02)ECPViu = Emissions from each Group 1 continuous process vent i subject to �63.1315 if the applicable reference control technology had been applied to the uncontrolled emissions. ECPViu is calculated according to paragraph (g)(2) of this section.
ECPVSjACTUAL = Emissions from Group 1 continuous process vents subject to �63.1316(b)(1)(i), (b)(1)(ii), (b)(2)(i), (b)(2)(ii), or (c)(1) located in the collection of process sections j within the affected source that are uncontrolled or controlled to a level less stringent than the applicable standard. ECPVSjACTUAL is calculated according to paragraph (g)(3) of this section.
ECPVSjSTD = Emissions from Group 1 continuous process vents subject to �63.1316(b)(1)(i), (b)(1)(ii), (b)(2)(i), (b)(2)(ii), or (c)(1) located in the collection of process sections j within the affected source if the applicable standard had been applied to the uncontrolled emissions. ECPVSjSTD is calculated according to paragraph (g)(3) of this section.
ESiACTUAL = Emissions from each Group 1 storage vessel i that is uncontrolled or is controlled to a level less stringent than the applicable reference control technology or standard. ESiACTUAL is calculated according to paragraph (g)(4) of this section.
(BL)ESiu = Emissions from each Group 1 storage vessel i if the applicable reference control technology or standard had been applied to the uncontrolled emissions. ESiu is calculated according to paragraph (g)(4) of this section. For calculating emissions, BL = 0.05 for each Group 1 storage vessel i subject to �63.1314(a); and BL = 0.02 for each storage vessel i subject to �63.1314(c).
EWWiACTUAL = Emissions from each Group 1 wastewater stream i that is uncontrolled or is controlled to a level less stringent than the applicable reference control technology. EWWiACTUAL is calculated according to paragraph (g)(5) of this section.
EWWic = Emissions from each Group 1 wastewater stream i if the reference control technology had been applied to the uncontrolled emissions. EWWic is calculated according to paragraph (g)(5) of this section.
EBPViACTUAL = Emissions from each Group 1 batch process vent i that is uncontrolled or is controlled to a level less stringent than the applicable standard. EBPVACTUAL is calculated according to paragraph (g)(6) of this section.
(0.10)EBPViu = Emissions from each Group 1 batch process vent i if the applicable standard had been applied to the uncontrolled emissions. EBPViu is calculated according to paragraph (g)(6) of this section.
EABViACTUAL = Emissions from each Group 1 aggregate batch vent stream i that is uncontrolled or is controlled to a level less stringent than the applicable standard. EABPViACTUAL is calculated according to paragraph (g)(7) of this section.
(0.10)EABViu = Emissions from each Group 1 aggregate batch vent stream i if the applicable standard had been applied to the uncontrolled emissions. EABViu is calculated according to paragraph (g)(7) of this section.
n = The number of emission points being included in the emissions average.
(2) Emissions from continuous process vents subject to �63.1315 shall be calculated as follows:
(i) For purposes of determining continuous process vent stream flow rate, organic HAP concentrations, and temperature, the sampling site shall be after the final product recovery device, if any recovery devices are present; before any control device (for continuous process vents, recovery devices shall not be considered control devices); and before discharge to the atmosphere. Method 1 or 1A, 40 CFR part 60, appendix A, shall be used for selection of the sampling site.
(ii) ECPViu for each continuous process vent i shall be calculated using Equation 29 of this subpart.

Where:
ECPViu = Uncontrolled continuous process vent emission rate from continuous process vent i, megagrams per month.
Q = Vent stream flow rate, dry standard cubic meters per minute, measured using Method 2, 2A, 2C, or 2D, 40 CFR part 60, appendix A, as appropriate.
h = Monthly hours of operation during which positive flow is present in the continuous process vent, hours per month.
Cj = Concentration, parts per million by volume, dry basis, of organic HAP j as measured by Method 18, 40 CFR part 60, appendix A.
Mj = Molecular weight of organic HAP j, gram per gram-mole.
n = Number of organic HAP in stream.
(A) The values of Q and Cj shall be determined during a performance test conducted under representative operating conditions. The values of Q and Cj shall be established in the Notification of Compliance Status and shall be updated as provided in paragraph (g)(2)(ii)(B) of this section.
(B) If there is a change in capacity utilization other than a change in monthly operating hours, or if any other change is made to the process or product recovery equipment or operation such that the previously measured values of Q and Cj are no longer representative, a new performance test shall be conducted to determine new representative values of Q and Cj. These new values shall be used to calculate debits and credits from the time of the change forward, and the new values shall be reported in the next Periodic Report.
(iii) The following procedures and equations shall be used to calculate ECPViACTUAL:
(A) If the continuous process vent is not controlled by a control device or pollution prevention measure, ECPViACTUAL = ECPViu, where ECPViu is calculated according to the procedures in paragraphs (g)(2)(i) and (g)(2)(ii) of this section.
(B) If the continuous process vent is controlled using a control device or a pollution prevention measure achieving less than 98 percent reduction, calculate ECPViACTUAL using Equation 30 of this subpart.

(1) The percent reduction shall be measured according to the procedures in �63.116 if a combustion control device is used. For a flare meeting the criteria in �63.116(a), or a boiler or process heater meeting the criteria in �63.116(b), the percent reduction shall be 98 percent. If a noncombustion control device is used, percent reduction shall be demonstrated by a performance test at the inlet and outlet of the device, or, if testing is not feasible, by a control design evaluation and documented engineering calculations.
(2) For determining debits from Group 1 continuous process vents, product recovery devices shall not be considered control devices and cannot be assigned a percent reduction in calculating ECPViACTUAL. The sampling site for measurement of uncontrolled emissions is after the final product recovery device. However, as provided in �63.113(a)(3), a Group 1 continuous process vent may add sufficient product recovery to raise the TRE index value above 1.0 or, for Group 1 continuous process vents at an existing affected source producing MBS, above 3.7, thereby becoming a Group 2 continuous process vent. Such a continuous process vent would not be a Group 1 continuous process vent and would, therefore, not be included in determining debits under this paragraph (g)(2)(iii)(B)(2).
(3) Procedures for calculating the percent reduction of pollution prevention measures are specified in paragraph (j) of this section.
(3) Emissions from continuous process vents located in the collection of process sections within the affected source subject to �63.1316 (b)(1)(i), (b)(1)(ii), (b)(2)(i), (b)(2)(ii), or (c)(1) shall be calculated as follows:
(i) The total organic HAP emissions from continuous process vents located in the collection of process sections j within the affected source, ECPVSjACTUAL, shall be calculated as follows. The procedures in paragraph (g)(2)(iii) of this section shall be used to determine the organic HAP emissions for each individual continuous process vent, except that paragraph (g)(2)(iii)(B)(2) of this section shall not apply and the sampling site shall be after those recovery devices installed as part of normal operation; before any add-on control devices (i.e., those required by regulation); and prior to discharge to the atmosphere. Then, individual continuous process vent emissions shall be summed to determine ECPVSjACTUAL.
(ii)(A) ECPVSjstd shall be calculated using Equation 31 of this subpart.

Where:
ECPVSjstd = Emissions if the applicable standard had been applied to the uncontrolled emissions, megagrams per month.
EFstd = 0.000018 Mg organic HAP/Mg of product, if the collection of process sections within the affected source is subject to �63.1316(b)(1)(i).
= 0.00002 Mg organic HAP/Mg of product, if the collection of process sections within the affected source is subject to �63.1316 (b)(1)(ii) or (b)(2)(ii).
= 0.00004 Mg organic HAP/Mg of product, if the collection of process sections within the affected source is subject to �63.1316(b)(2)(i).
= 0.0000036 Mg organic HAP/Mg of product, if the collection of process sections within the affected source is subject to �63.1316(c)(1).
PPj = Polymer produced, Mg/month, for the collection of process sections j within the affected source, as calculated according to paragraph (g)(3)(ii)(B) of this section.
(B) The amount of polymer produced, Mg per month, for the collection of process sections j within the affected source shall be determined by determining the weight of polymer pulled from the process line(s) during a 30-day period. The polymer produced shall be determined by direct measurement or by an alternate methodology, such as materials balance. If an alternate methodology is used, a description of the methodology, including all procedures, data, and assumptions shall be submitted as part of the Emissions Averaging Plan required by �63.1335(e)(4).
(C) Alternatively, ECPVSjstd for continuous process vents located in the collection of process sections within the affected source subject to �63.1316(c)(1) may be calculated using the procedures in paragraph (g)(2)(i) and (g)(2)(ii) of this section to determine the organic HAP emissions for each individual continuous process vent, except that the sampling site shall be after recovery devices installed as part of normal operation; before any add-on control devices (i.e., those required by regulation); and prior to discharge to the atmosphere. Then, individual continuous process vent emissions shall be summed and multiplied by 0.02 to determine ECPVSjstd.
(4) Emissions from storage vessels shall be calculated using the procedures specified in �63.150(g)(3).
(5) Emissions from wastewater streams shall be calculated using the procedures in �63.150(g)(5).
(6) Emissions from batch process vents shall be calculated as follows:
(i) EBPViu for each batch process vent i shall be calculated using the procedures specified in �63.1323(b).
(ii) The following procedures and equations shall be used to determine EBPViACTUAL:
(A) If the batch process vent is not controlled by a control device or pollution prevention measure, EBPViACTUAL = EBPViu, where EBPViu is calculated using the procedures in �63.1323(b).
(B) If the batch process vent is controlled using a control device or a pollution prevention measure achieving less than 90 percent reduction for the batch cycle, calculate EBPViACTUAL using Equation 32 of this subpart, where percent reduction is for the batch cycle.

(1) The percent reduction for the batch cycle shall be calculated according to the procedures in �63.1325(c)(2).
(2) The percent reduction for control devices shall be calculated according to the procedures in �63.1325 (c)(2)(i) through (c)(2)(iii).
(3) The percent reduction of pollution prevention measures shall be calculated using the procedures specified in paragraph (j) of this section.
(7) Emissions from aggregate batch vent streams shall be calculated as follows:
(i) For purposes of determining aggregate batch vent stream flow rate, organic HAP concentrations, and temperature, the sampling site shall be before any control device and before discharge to the atmosphere. Method 1 or 1A, 40 CFR part 60, appendix A, shall be used for selection of the sampling site.
(ii) EABViu for each aggregate batch vent stream i shall be calculated using Equation 33 of this subpart.

Where:
EABViu = Uncontrolled aggregate batch vent stream emission rate from aggregate batch vent stream i, megagrams per month.
Q = Vent stream flow rate, dry standard cubic meters per minute, measured using Method 2, 2A, 2C, or 2D, 40 CFR part 60, appendix A, as appropriate.
h = Monthly hours of operation during which positive flow is present from the aggregate batch vent stream, hours per month.
Cj = Concentration, parts per million by volume, dry basis, of organic HAP j as measured by Method 18, 40 CFR part 60, appendix A.
Mj = Molecular weight of organic HAP j, gram per gram-mole.
n = Number of organic HAP in the stream.
(A) The values of Q and Cj shall be determined during a performance test conducted under representative operating conditions. The values of Q and Cj shall be established in the Notification of Compliance Status and shall be updated as provided in paragraph (g)(7)(ii)(B) of this section.
(B) If there is a change in capacity utilization other than a change in monthly operating hours, or if any other change is made to the process or product recovery equipment or operation such that the previously measured values of Q and Cj are no longer representative, a new performance test shall be conducted to determine new representative values of Q and Cj. These new values shall be used to calculate debits and credits from the time of the change forward, and the new values shall be reported in the next Periodic Report.
(iii) The following procedures and equations shall be used to calculate EABViACTUAL:
(A) If the aggregate batch vent stream is not controlled by a control device or pollution prevention measure, EABViACTUAL = EABViu, where EABViu is calculated according to the procedures in paragraphs (g)(7)(i) and (g)(7)(ii) of this section.
(B) If the aggregate batch vent stream is controlled using a control device or a pollution prevention measure achieving less than 90 percent reduction, calculate EABViACTUAL using Equation 34 of this subpart.

(1) The percent reduction for control devices shall be determined according to the procedures in �63.1325(e).
(2) The percent reduction for pollution prevention measures shall be calculated according to the procedures specified in paragraph (j) of this section.
(h) Credits are generated by the difference between emissions that are allowed for each Group 1 and Group 2 emission point and the actual emissions from that Group 1 or Group 2 emission point that has been controlled after November 15, 1990 to a level more stringent than what is required by this subpart or any other State or Federal rule or statute. Said Group 1 and Group 2 emission points are identified in paragraphs (c)(1) through (c)(5) of this section. Credits shall be calculated using Equation 35 of this subpart.
(1) Sourcewide credits shall be calculated using Equation 35 of this subpart. Credits and all terms of Equation 35 of this subpart are in units of megagrams per month, and the baseline date is November 15, 1990:

Where:
D = Discount factor = 0.9 for all credit generating emission points except those controlled by a pollution prevention measure; discount factor = 1.0 for each credit generating emission point controlled by a pollution prevention measure (i.e., no discount provided).
ECPV1iACTUAL = Emissions for each Group 1 continuous process vent i subject to �63.1315 that is controlled to a level more stringent than the reference control technology. ECPV1iACTUAL is calculated according to paragraph (h)(2) of this section.
(0.02)ECPV1iu = Emissions from each Group 1 continuous process vent i subject to �63.1315 if the applicable reference control technology had been applied to the uncontrolled emissions. ECPV1iu is calculated according to paragraph (h)(2) of this section.
ECPVS1jSTD = Emissions from Group 1 continuous process vents subject to �63.1316(b)(1)(i), (b)(1)(ii), (b)(2)(i), (b)(2)(ii), or (c)(1) located in the collection of process sections j within the affected source if the applicable standard had been applied to the uncontrolled emissions. ECPVS1jSTD is calculated according to paragraph (h)(3) of this section.
ECPVS1jACTUAL = Emissions from Group 1 continuous process vents subject to �63.1316(b)(1)(i), (b)(1)(ii), (b)(2)(i), (b)(2)(ii), or (c)(1) located in the collection of process sections j within the affected source that are controlled to a level more stringent than the applicable standard. ECPVS1jACTUAL is calculated according to paragraph (h)(3) of this section.
ECPV2iACTUAL = Emissions from each Group 2 continuous process vent i subject to �63.1315 that is controlled. ECPV2iACTUAL is calculated according to paragraph (h)(2) of this section.
ECPV2iBASE = Emissions from each Group 2 continuous process vent i subject to �63.1315 at the baseline date. ECPV2iBASE is calculated according to paragraph (h)(2) of this section.
ECPVS2jBASE = Emissions from Group 2 continuous process vents subject to �63.1316(b)(1)(i) located in the collection of material recovery sections j within the affected source at the baseline date. ECPVS2jBASE is calculated according to paragraph (h)(3) of this section.
ECPVS2jACTUAL = Emissions from Group 2 continuous process vents subject to �63.1316(b)(1)(i) located in the collection of material recovery sections j within the affected source that are controlled. ECPVS2jACTUAL is calculated according to paragraph (h)(3) of this section.
ES1iACTUAL = Emissions from each Group 1 storage vessel i that is controlled to a level more stringent than the applicable reference control technology or standard. ES1iACTUAL is calculated according to paragraph (h)(4) of this section.
(BL)ES1iu = Emissions from each Group 1 storage vessel i if the applicable reference control technology or standard had been applied to the uncontrolled emissions. ES1iu is calculated according to paragraph (h)(4) of this section. For calculating these emissions, BL = 0.05 for each Group 1 storage vessel i subject to �63.1314(a); and BL = 0.02 for each storage vessel i subject to �63.1314(c).
ES2iACTUAL = Emissions from each Group 2 storage vessel i that is controlled. ES2iACTUAL is calculated according to paragraph (h)(4) of this section.
ES2iBASE = Emissions from each Group 2 storage vessel i at the baseline date. ES2iBASE is calculated according to paragraph (h)(4) of this section.
EWW1iACTUAL = Emissions from each Group 1 wastewater stream i that is controlled to a level more stringent than the reference control technology. EWW1iACTUAL is calculated according to paragraph (h)(5) of this section.
EWW1ic = Emissions from each Group 1 wastewater stream i if the reference control technology had been applied to the uncontrolled emissions. EWW1ic is calculated according to paragraph (h)(5) of this section.
EWW2iACTUAL = Emissions from each Group 2 wastewater stream i that is controlled. EWW2iACTUAL is calculated according to paragraph (h)(5) of this section.
EWW2iBASE = Emissions from each Group 2 wastewater stream i at the baseline date. EWW2iBASE is calculated according to paragraph (h)(5) of this section.
(0.10)EBPV1iu = Emissions from each Group 1 batch process vent i if the applicable standard had been applied to the uncontrolled emissions. EBPV1iu is calculated according to paragraph (h)(6) of this section.
EBPV1iACTUAL = Emissions from each Group 1 batch process vent i that is controlled to a level more stringent than the applicable standard. EBPV1iACTUAL is calculated according to paragraph (h)(6) of this section.
(0.10)EABV1iu = Emissions from each Group 1 aggregate batch vent stream i if the applicable standard had been applied to the uncontrolled emissions. EABV1iu is calculated according to paragraph (h)(7) of this section.
EABV1iACTUAL = Emissions from each Group 1 aggregate batch vent stream i that is controlled to a level more stringent than the applicable standard. EABV1iACTUAL is calculated according to paragraph (h)(7) of this section.
EBPV2iBASE = Emissions from each Group 2 batch process vent i at the baseline date. EBPV2iBASE is calculated according to paragraph (h)(6) of this section.
EBPV2iACTUAL = Emissions from each Group 2 batch process vent i that is controlled. EBPV2iACTUAL is calculated according to paragraph (h)(6) of this section.
EABV2iBASE = Emissions from each Group 2 aggregate batch vent stream i at the baseline date. EABV2iBASE is calculated according to paragraph (h)(7) of this section.
EABV2iACTUAL = Emissions from each Group 2 aggregate batch vent stream i that is controlled. EABV2iACTUAL is calculated according to paragraph (h)(7) of this section.
n = Number of Group 1 emission points included in the emissions average. The value of n is not necessarily the same for continuous process vents, batch process vents, aggregate batch vent streams, storage vessels, wastewater streams, or the collection of process sections within the affected source.
m = Number of Group 2 emission points included in the emissions average. The value of m is not necessarily the same for continuous process vents, batch process vents, aggregate batch vent streams, storage vessels, wastewater streams, or the collection of process sections within the affected source.
(i) Except as specified in paragraph (h)(1)(iv) of this section, for an emission point controlled using a reference control technology, the percent reduction for calculating credits shall be no greater than the nominal efficiency associated with the reference control technology, unless a higher nominal efficiency is assigned as specified in paragraph (h)(1)(ii) of this section.
(ii) For an emission point controlled to a level more stringent than the reference control technology, the nominal efficiency for calculating credits shall be assigned as described in paragraph (i) of this section. A reference control technology may be approved for use in a different manner and assigned a higher nominal efficiency according to the procedures in paragraph (i) of this section.
(iii) For an emission point controlled using a pollution prevention measure, the nominal efficiency for calculating credits shall be as determined as described in paragraph (j) of this section.
(iv) For Group 1 and Group 2 batch process vents and Group 1 and Group 2 aggregate batch vent streams, the percent reduction for calculating credits shall be the percent reduction determined according to the procedures in paragraphs (h)(6)(ii) and (h)(6)(iii) of this section for batch process vents and paragraphs (h)(7)(ii) and (h)(7)(iii) of this section for aggregate batch vent streams.
(2) Emissions from continuous process vents subject to �63.1315 shall be determined as follows:
(i) Uncontrolled emissions from Group 1 continuous process vents (ECPV1iu) shall be calculated according to the procedures and equation for ECPViu in paragraphs (g)(2)(i) and (g)(2)(ii) of this section.
(ii) Actual emissions from Group 1 continuous process vents controlled using a technology with an approved nominal efficiency greater than 98 percent or a pollution prevention measure achieving greater than 98 percent emission reduction (ECPV1iACTUAL) shall be calculated using Equation 36 of this subpart.

(iii) The following procedures shall be used to calculate actual emissions from Group 2 continuous process vents (ECPV2iACTUAL):
(A) For a Group 2 continuous process vent controlled by a control device, a recovery device applied as a pollution prevention project, or a pollution prevention measure, where the control achieves a percent reduction less than or equal to 98 percent reduction, use Equation 37 of this subpart.

(1) ECPV2iu shall be calculated according to the equations and procedures for ECPViu in paragraphs (g)(2)(i) and (g)(2)(ii) of this section, except as provided in paragraph (h)(2)(iii)(A)(3) of this section.
(2) The percent reduction shall be calculated according to the procedures in paragraphs (g)(2)(iii)(B)(1) through (g)(2)(iii)(B)(3) of this section, except as provided in paragraph (h)(2)(iii)(A)(4) of this section.
(3) If a recovery device was added as part of a pollution prevention project, ECPV2iu shall be calculated prior to that recovery device. The equation for ECPViu in paragraph (g)(2)(ii) of this section shall be used to calculate ECPV2iu; however, the sampling site for measurement of vent stream flow rate and organic HAP concentration shall be at the inlet of the recovery device.
(4) If a recovery device was added as part of a pollution prevention project, the percent reduction shall be demonstrated by conducting a performance test at the inlet and outlet of that recovery device.
(B) For a Group 2 continuous process vent controlled using a technology with an approved nominal efficiency greater than 98 percent or a pollution prevention measure achieving greater than 98 percent reduction, use Equation 38 of this subpart.

(iv) Emissions from Group 2 continuous process vents at baseline shall be calculated as follows:
(A) If the continuous process vent was uncontrolled on November 15, 1990, ECPV2iBASE = ECPV2iu and shall be calculated according to the procedures and equation for ECPViu in paragraphs (g)(2)(i) and (g)(2)(ii) of this section.
(B) If the continuous process vent was controlled on November 15, 1990, use Equation 39 of this subpart.

(1) ECPV2iu is calculated according to the procedures and equation for ECPViu in paragraphs (g)(2)(i) and (g)(2)(ii) of this section.
(2) The percent reduction shall be calculated according to the procedures specified in paragraphs (g)(2)(iii)(B)(1) through (g)(2)(iii)(B)(3) of this section.
(C) If a recovery device was added as part of a pollution prevention project initiated after November 15, 1990, ECPV2iBASE = ECPV2iu, where ECPV2iu is calculated according to paragraph (h)(2)(iii)(A)(3) of this section.
(3) Emissions from continuous process vents subject to �63.1316(b)(1)(i), (b)(1)(ii), (b)(2)(i), (b)(2)(ii), or (c)(1) shall be determined as follows:
(i) Emissions from Group 1 continuous process vents located in the collection of process sections j within the affected source if the applicable standard had been applied to the uncontrolled emissions (ECPVS1jstd) shall be calculated according to paragraph (g)(3)(ii) of this section.
(ii) Actual emissions from Group 1 continuous process vents located in the collection of process sections j within the affected source controlled to a level more stringent than the applicable standard (ECPVS1jACTUAL) shall be calculated using the procedures in paragraphs (g)(3)(ii)(A) and (g)(3)(ii)(B) of this section, except that the actual emission level, Mg organic HAP/Mg of product, shall be used as EFstd in Equation 31 of this subpart. Further, ECPVS1jACTUAL for continuous process vents subject to �63.1316(c)(1) controlled in accordance with �63.1316(c)(1)(iii) shall be calculated using the procedures in paragraph (h)(2)(ii) of this section for individual continuous process vents and then summing said emissions to get ECPVS1jACTUAL, except that the sampling site shall be after recovery devices installed as part of normal operation; before any add-on control devices (i.e., those required by regulation); and prior to discharge to the atmosphere.
(iii) Actual emissions from Group 2 continuous process vents subject to �63.1316(b)(1)(i) located in the collection of material recovery sections j within the affected source (ECPVS2jACTUAL) shall be calculated using the procedures in paragraphs (g)(3)(ii)(A) and (g)(3)(ii)(B) of this section, except that the actual emission level, Mg organic HAP/Mg of product, shall be used as EFstd in Equation 31 of this subpart.
(iv) Emissions from Group 2 continuous process vents subject to �63.1316(b)(1)(i) located in the collection of material recovery sections j within the affected source at baseline (ECPVS2jBASE) shall be calculated using the procedures in paragraphs (g)(3)(ii)(A) and (g)(3)(ii)(B) of this section, except that the actual emission level, Mg organic HAP/Mg of product, at baseline shall be used as EFstd in Equation 31 of this subpart.
(4)(i) Emissions from storage vessels shall be calculated using the procedures specified in �63.150(h)(3).
(ii) Actual emissions from Group 1 storage vessels at an existing affected source producing ASA/AMSAN subject to �63.1314(c) using a technology with an approved nominal efficiency greater than 98 percent or a pollution prevention measure achieving greater than 98 percent emission reduction shall be calculated using the procedures specified in �63.150(h)(3)(ii).
(5) Emissions from wastewater streams shall be calculated using the procedures specified in �63.150(h)(5).
(6) Emissions from batch process vents shall be determined as follows:
(i) Uncontrolled emissions from Group 1 batch process vents (EBPV1iu) shall be calculated using the procedures �63.1323(b).
(ii) Actual emissions from Group 1 batch process vents controlled to a level more stringent than the standard (EBPV1iACTUAL) shall be calculated using Equation 40 of this subpart, where percent reduction is for the batch cycle:

(A) The percent reduction for the batch cycle shall be calculated according to the procedures in �63.1325(c)(2).
(B) The percent reduction for control devices shall be determined according to the procedures in �63.1325(c)(2)(i) through (c)(2)(iii).
(C) The percent reduction of pollution prevention measures shall be calculated using the procedures specified in paragraph (j) of this section.
(iii) Actual emissions from Group 2 batch process vents (EBPV2iACTUAL) shall be calculated using Equation 41 of this subpart and the procedures in paragraphs (h)(6)(ii)(A) through (h)(6)(ii)(C) of this section. EBPV2iu shall be calculated using the procedures specified in �63.1323(b).

(iv) Emissions from Group 2 batch process vents at baseline (EBPV2iBASE) shall be calculated as follows:
(A) If the batch process vent was uncontrolled on November 15, 1990, EBPV2iBASE = EBPV2iu and shall be calculated using the procedures specified in �63.1323(b).
(B) If the batch process vent was controlled on November 15, 1990, use Equation 42 of this subpart and the procedures in paragraphs (h)(6)(ii)(A) through (h)(6)(ii)(C) of this section. EBPV2iu shall be calculated using the procedures specified in �63.1323(b).

(7) Emissions from aggregate batch vent streams shall be determined as follows:
(i) Uncontrolled emissions from Group 1 aggregate batch vent streams (EABV1iu) shall be calculated according to the procedures and equation for EABViu in paragraphs (g)(7)(i) and (g)(7)(ii) of this section.
(ii) Actual emissions from Group 1 aggregate batch vent streams controlled to a level more stringent than the standard (EABV1iACTUAL) shall be calculated using Equation 43 of this subpart:

(A) The percent reduction for control devices shall be determined according to the procedures in �63.1325(e).
(B) The percent reduction of pollution prevention measures shall be calculated using the procedures specified in paragraph (j) of this section.
(iii) Actual emissions from Group 2 aggregate batch vent streams (EABV2iACTUAL) shall be calculated using Equation 44 of this subpart and the procedures in paragraphs (h)(7)(ii)(A) through (h)(7)(ii)(B) of this section. EABV2iu shall be calculated according to the equations and procedures for EABViu in paragraphs (g)(7)(i) and (g)(7)(ii) of this section.

(iv) Emissions from Group 2 aggregate batch vent streams at baseline shall be calculated as follows:
(A) If the aggregate batch vent stream was uncontrolled on November 15, 1990, EABV2iBASE = EABV2iu and shall be calculated according to the procedures and equation for EABViu in paragraphs (g)(7)(i) and (g)(7)(ii) of this section.
(B) If the aggregate batch vent stream was controlled on November 15, 1990, use Equation 45 of this subpart and the procedures in paragraphs (h)(7)(ii)(A) through (h)(7)(ii)(B) of this section. EABV2iu shall be calculated according to the equations and procedures for EABViu in paragraphs (g)(7)(i) and (g)(7)(ii) of this section.

(i) The following procedures shall be followed to establish nominal efficiencies for emission controls for storage vessels, continuous process vents, and process wastewater streams. The procedures in paragraphs (i)(1) through (i)(6) of this section shall be followed for control technologies that are different in use or design from the reference control technologies and achieve greater percent reductions than the percent efficiencies assigned to the reference control technologies in �63.111.
(1) In those cases where the owner or operator is seeking permission to take credit for use of a control technology that is different in use or design from the reference control technology, and the different control technology will be used in more than three applications at a single plant-site, the owner or operator shall submit the information specified in paragraphs (i)(1)(i) through (i)(1)(iv) of this section, as specified in �63.1335(e)(7)(ii), to the Director of the EPA Office of Air Quality Planning and Standards in writing:
(i) Emission stream characteristics of each emission point to which the control technology is or will be applied including the kind of emission point, flow, organic HAP concentration, and all other stream characteristics necessary to design the control technology or determine its performance.
(ii) Description of the control technology including design specifications.
(iii) Documentation demonstrating to the Administrator's satisfaction the control efficiency of the control technology. This may include performance test data collected using an appropriate EPA Method or any other method validated according to Method 301, 40 CFR part 63, appendix A, of this part. If it is infeasible to obtain test data, documentation may include a design evaluation and calculations. The engineering basis of the calculation procedures and all inputs and assumptions made in the calculations shall be documented.
(iv) A description of the parameter or parameters to be monitored to ensure that the control technology will be operated in conformance with its design and an explanation of the criteria used for selection of that parameter (or parameters).
(2) The Administrator shall determine within 120 days whether an application presents sufficient information to determine nominal efficiency. The Administrator reserves the right to request specific data in addition to the items listed in paragraph (i)(1) of this section.
(3) The Administrator shall determine within 120 days of the submittal of sufficient data whether a control technology shall have a nominal efficiency and the level of that nominal efficiency. If, in the Administrator's judgment, the control technology achieves a level of emission reduction greater than the reference control technology for a particular kind of emission point, the Administrator will publish a Federal Register notice establishing a nominal efficiency for the control technology.
(4) The Administrator may grant permission to take emission credits for use of the control technology. The Administrator may also impose requirements that may be necessary to ensure operation and maintenance to achieve the specified nominal efficiency.
(5) In those cases where the owner or operator is seeking permission to take credit for use of a control technology that is different in use or design from the reference control technology and the different control technology will be used in no more than three applications at a single plant site, the owner or operator shall submit the information listed in paragraphs (i)(1)(i) through (i)(1)(iv) of this section, as specified in �63.1335(e)(7)(ii), to the Administrator.
(i) In these instances, use and conditions for use of the control technology may be approved by the permitting authority as part of an operating permit application or modification. The permitting authority shall follow the procedures specified in paragraphs (i)(2) through (i)(4) of this section except that, in these instances, a Federal Register notice is not required to establish the nominal efficiency for the different technology.
(ii) If, in reviewing the application, the permitting authority believes the control technology has broad applicability for use by other affected sources, the permitting authority shall submit the information provided in the application to the Director of the EPA Office of Air Quality Planning and Standards. The Administrator shall review the technology for broad applicability and may publish a Federal Register notice; however, this review shall not affect the permitting authority's approval of the nominal efficiency of the control technology for the specific application.
(6) If, in reviewing an application for a control technology for an emission point, the Administrator or permitting authority determines the control technology is not different in use or design from the reference control technology, the Administrator or permitting authority shall deny the application.
(j) The following procedures shall be used for calculating the efficiency (percent reduction) of pollution prevention measures for storage vessels, continuous process vents, batch process vents, aggregate batch vent streams, and wastewater streams:
(1) A pollution prevention measure is any practice that meets the criteria of paragraphs (j)(1)(i) and (j)(1)(ii) of this section.
(i) A pollution prevention measure is any practice that results in a lesser quantity of organic HAP emissions per unit of product released to the atmosphere prior to out-of-process recycling, treatment, or control of emissions, while the same product is produced.
(ii) Pollution prevention measures may include: substitution of feedstocks that reduce organic HAP emissions; alterations to the production process to reduce the volume of materials released to the environment; equipment modifications; housekeeping measures; and in-process recycling that returns waste materials directly to production as raw materials. Production cutbacks do not qualify as pollution prevention.
(2) The emission reduction efficiency of pollution prevention measures implemented after November 15, 1990, may be used in calculating the actual emissions from an emission point in the debit and credit equations in paragraphs (g) and (h) of this section.
(i) For pollution prevention measures, the percent reduction used in the equations in paragraphs (g)(2) through (g)(7) of this section and paragraphs (h)(2) through (h)(7) of this section is the percent difference between the monthly organic HAP emissions for each emission point after the pollution prevention measure for the most recent month versus monthly emissions from the same emission point before the pollution prevention measure, adjusted by the volume of product produced during the two monthly periods.
(ii) Equation 46 of this subpart shall be used to calculate the percent reduction of a pollution prevention measure for each emission point.

Where:
Percent reduction = Efficiency of pollution prevention measure (percent organic HAP reduction).
EB = Monthly emissions before the pollution prevention measure, megagrams per month, determined as specified in paragraphs (j)(2)(ii)(A), (j)(2)(ii)(B), and (j)(2)(ii)(C) of this section.
Epp = Monthly emissions after the pollution prevention measure, megagrams per month, as determined for the most recent month, determined as specified in either paragraphs (j)(2)(ii)(D) or (j)(2)(ii)(E) of this section.
PB = Monthly production before the pollution prevention measure, megagrams per month, during the same period over which EB is calculated.
Ppp = Monthly production after the pollution prevention measure, megagrams per month, as determined for the most recent month.
(A) The monthly emissions before the pollution prevention measure, EB, shall be determined in a manner consistent with the equations and procedures in paragraphs (g)(2) and (g)(3) of this section for continuous process vents, paragraph (g)(4) of this section for storage vessels, paragraph (g)(6) of this section for batch process vents, and paragraph (g)(7) of this section for aggregate batch vent streams.
(B) For wastewater, EB shall be calculated using Equation 47 of this subpart:

Where:
n = Number of wastewater streams.
QBi = Annual average flow rate for wastewater stream i before the pollution prevention measure, defined and determined according to �63.144(c)(3), liters per minute, before implementation of the pollution prevention measure.
HBi = Number of hours per month that wastewater stream i was discharged before the pollution prevention measure, hours per month.
s = Total number of organic HAP in wastewater stream i.
Fem = Fraction emitted of organic HAP m in wastewater from Table 34 of subpart G of this part, dimensionless.
HAPBim = Annual average concentration of organic HAP m in wastewater stream i, defined and determined according to paragraph �63.150(g)(5)(i) of this section, before the pollution prevention measure, parts per million by weight, as measured before the implementation of the pollution measure.
(C) If the pollution prevention measure was implemented prior to September 12, 1996 records may be used to determine EB.
(D) The monthly emissions after the pollution prevention measure, Epp, may be determined during a performance test or by a design evaluation and documented engineering calculations. Once an emissions-to-production ratio has been established, the ratio can be used to estimate monthly emissions from monthly production records.
(E) For wastewater, Epp shall be calculated using Equation 48 of this subpart and n, Qppi, Hppi, s, Fem, and HAPppim are defined and determined as described in paragraph (j)(2)(ii)(B) of this section, except that Qppi, Hppi, and HAPppim shall be determined after the pollution prevention measure has been implemented.

(iii) All equations, calculations, test procedures, test results, and other information used to determine the percent reduction achieved by a pollution prevention measure for each emission point shall be fully documented.
(iv) The same pollution prevention measure may reduce emissions from multiple emission points. In such cases, the percent reduction in emissions for each emission point shall be calculated.
(v) For the purposes of the equations in paragraphs (h)(2) through (h)(7) of this section used to calculate credits for emission points controlled more stringently than the reference control technology or standard, the nominal efficiency of a pollution prevention measure is equivalent to the percent reduction of the pollution prevention measure. When a pollution prevention measure is used, the owner or operator of an affected source is not required to apply to the Administrator for a nominal efficiency and is not subject to paragraph (i) of this section.
(k) The owner or operator shall demonstrate that the emissions from the emission points proposed to be included in the emissions average will not result in greater hazard or, at the option of the Administrator, greater risk to human health or the environment than if the emission points were controlled according to the provisions in ��63.1314, 63.1315, 63.1316 through 63.1320, 63.1321, and 63.1330.
(1) This demonstration of hazard or risk equivalency shall be made to the satisfaction of the Administrator.
(i) The Administrator may require owners and operators to use specific methodologies and procedures for making a hazard or risk determination.
(ii) The demonstration and approval of hazard or risk equivalency shall be made according to any guidance that the Administrator makes available for use.
(2) Owners and operators shall provide documentation demonstrating the hazard or risk equivalency of their proposed emissions average in their operating permit application or in their Emissions Averaging Plan if an operating permit application has not yet been submitted.
(3) An Emissions Averaging Plan that does not demonstrate hazard or risk equivalency to the satisfaction of the Administrator shall not be approved. The Administrator may require such adjustments to the Emissions Averaging Plan as are necessary in order to ensure that the emissions average will not result in greater hazard or risk to human health or the environment than would result if the emission points were controlled according to ��63.1314, 63.1315, 63.1316 through 63.1320, 63.1321, and 63.1330.
(4) A hazard or risk equivalency demonstration shall:
(i) Be a quantitative, bona fide chemical hazard or risk assessment;
(ii) Account for differences in chemical hazard or risk to human health or the environment; and
(iii) Meet any requirements set by the Administrator for such demonstrations.
(l) For periods of parameter monitoring excursions, an owner or operator may request that the provisions of paragraphs (l)(1) through (l)(4) of this section be followed instead of the procedures in paragraphs (f)(2)(i) and (f)(2)(ii) of this section.
(1) The owner or operator shall notify the Administrator of monitoring excursions in the Periodic Reports as required in �63.1335(e)(6).
(2) The owner or operator shall demonstrate that other types of monitoring data or engineering calculations are appropriate to establish that the control device for the emission point was operating in such a fashion to warrant assigning full or partial credits and debits. This demonstration shall be made to the Administrator's satisfaction, and the Administrator may establish procedures of demonstrating compliance that are acceptable.
(3) The owner or operator shall provide documentation of the excursion and the other type of monitoring data or engineering calculations to be used to demonstrate that the control device for the emission point was operating in such a fashion to warrant assigning full or partial credits and debits.
(4) The Administrator may assign full or partial credit and debits upon review of the information provided.
(m) For each emission point included in an emissions average, the owner or operator shall perform testing, monitoring, recordkeeping, and reporting equivalent to that required for Group 1 emission points complying with ��63.1314, 63.1315, 63.1316 through 63.1320, 63.1321, and 63.1330, as applicable. The specific requirements for continuous process vents, batch process vents, aggregate batch vent streams, storage vessels, and wastewater operations that are included in an emissions average for an affected source are identified in paragraphs (m)(1) through (m)(7) of this section.
(1) For each continuous process vent subject to �63.1315 equipped with a flare, incinerator, boiler, or process heater, as appropriate to the control technique:
(i) Determine whether the continuous process vent is Group 1 or Group 2 according to the procedures specified in �63.1315;
(ii) Conduct initial performance tests to determine percent reduction according to the procedures specified in �63.1315; and
(iii) Monitor the operating parameters, keep records, and submit reports according to the procedures specified in �63.1315.
(2) For each continuous process vent subject to �63.1315 equipped with a carbon adsorber, absorber, or condenser but not equipped with a control device, as appropriate to the control technique:
(i) Determine the flow rate, organic HAP concentration, and TRE index value according to the procedures specified in �63.1315; and
(ii) Monitor the operating parameters, keep records, and submit reports according to the procedures specified in �63.1315.
(3) For continuous process vents subject to �63.1316(b)(1)(i), (b)(1)(ii), (b)(2)(i), (b)(2)(ii), or (c)(1):
(i) Determine whether the emissions from the continuous process vents subject to �63.1316(b)(1)(i) located in the collection of material recovery sections within the affected source are greater than, equal to, or less than 0.12 kg organic HAP per Mg of product according to the procedures specified in �63.1318(b);
(ii) Determine the emission rate, ERHAP, for each collection of process sections within the affected source according to the procedures specified in �63.1318(b); and
(iii) [Reserved]
(iv) Monitor the operating parameters, keep records, and submit reports according to the procedures specified in �63.1317, �63.1319, �63.1320.
(4) For each storage vessel controlled with an internal floating roof, external roof, or a closed vent system with a control device, as appropriate to the control technique:
(i) Perform the monitoring or inspection procedures according to the procedures specified in �63.1314;
(ii) Perform the reporting and recordkeeping procedures according to the procedures specified in �63.1314; and
(iii) For closed vent systems with control devices, conduct an initial design evaluation and submit an operating plan according to the procedures specified in �63.1314.
(5) For wastewater emission points, as appropriate to the control technique:
(i) For wastewater treatment processes, conduct tests according to the procedures specified in �63.1330;
(ii) Conduct inspections and monitoring according to the procedures specified in �63.1330;
(iii) Implement a recordkeeping program according to the procedures specified in �63.1330; and
(iv) Implement a reporting program according to the procedures specified in �63.1330.
(6) For each batch process vent and aggregate batch vent stream equipped with a control device, as appropriate to the control technique:
(i) Determine whether the batch process vent or aggregate batch vent stream is Group 1 or Group 2 according to the procedures in �63.1323;
(ii) Conduct performance tests according to the procedures specified in �63.1325;
(iii) Conduct monitoring according to the procedures specified in �63.1324; and
(iv) Perform the recordkeeping and reporting procedures according to the procedures specified in ��63.1326 and 63.1327.
(7) If an emission point in an emissions average is controlled using a pollution prevention measure or a device or technique for which no monitoring parameters or inspection procedures are required by ��63.1314, 63.1315, 63.1316 through 63.1320, 63.1321, or 63.1330, the owner or operator shall submit the information specified in �63.1335(f) for alternate monitoring parameters or inspection procedures in the Emissions Averaging Plan or operating permit application.
(n) Records of all information required to calculate emission debits and credits shall be retained for 5 years.
(o) Precompliance Reports, Emission Averaging Plans, Notifications of Compliance Status, Periodic Reports, and other reports shall be submitted as required by �63.1335.
[61 FR 48229, Sept. 12, 1996, as amended at 64 FR 11549, Mar. 9, 1999; 79 FR 17367, Mar. 27, 2014]
�63.1333 Additional requirements for performance testing.
(a) Performance tests shall be conducted under such conditions as the Administrator specifies to the owner or operator based on representative performance of the affected source for the period being tested and in accordance with �63.7(a)(1), (a)(3), (d), (e)(2), (e)(4), (g), and (h), with the exceptions specified in paragraphs (a)(1) through (5) of this section and the additions specified in paragraphs (b) through (d) of this section. Representative conditions exclude periods of startup and shutdown unless specified by the Administrator or an applicable subpart. The owner or operator may not conduct performance tests during periods of malfunction. The owner or operator must record the process information that is necessary to document operating conditions during the test and include in such record an explanation to support that such conditions represent normal operation. Upon request, the owner or operator shall make available to the Administrator such records as may be necessary to determine the conditions of performance tests. Sections 63.1314 through 63.1330 also contain specific testing requirements.
(1) Performance tests shall be conducted according to the provisions of �63.7(e)(2), except that performance tests shall be conducted at maximum representative operating conditions achievable during one of the time periods described in paragraph (a)(1)(i) of this section, without causing any of the situations described in paragraph (a)(1)(ii) of this section to occur.
(i) The 6-month period that ends 2 months before the Notification of Compliance Status is due, according to �63.1335(e)(5); or the 6-month period that begins 3 months before the performance test and ends 3 months after the performance test.
(ii) Causing damage to equipment; necessitating that the owner or operator make product that does not meet an existing specification for sale to a customer; or necessitating that the owner or operator make product in excess of demand.
(2) The requirements in �63.1335(e)(5) shall apply instead of the references in �63.7(g) to the Notification of Compliance Status requirements in �63.9(h).
(3) Because the site-specific test plans in �63.7(c)(3) are not required, �63.7(h)(4)(ii) is not applicable.
(4) The owner or operator shall notify the Administrator of the intention to conduct a performance test at least 30 days before the performance test is scheduled to allow the Administrator the opportunity to have an observer present during the test. If after 30 days notice for an initially scheduled performance test, there is a delay (due to operational problems, etc.) in conducting the scheduled performance test, the owner or operator of an affected facility shall notify the Administrator as soon as possible of any delay in the original test date, either by providing at least 7 days prior notice of the rescheduled date of the performance test, or by arranging a rescheduled date with the Administrator by mutual agreement.
(5) Performance tests shall be performed no later than 150 days after the compliance dates specified in this subpart (i.e., in time for the results to be included in the Notification of Compliance Status), rather than according to the time periods in �63.7(a)(2) of subpart A of this part.
(b) Each owner or operator of an existing affected source producing MBS complying with �63.1315(b)(2) shall determine compliance with the mass emission per mass product standard by using Equation 49 of this subpart. When determining Ei, when the provisions of �63.116(c)(4) specify that Method 18, 40 CFR part 60, appendix A, shall be used, Method 18 or Method 25A, 40 CFR part 60, appendix A, may be used for the purposes of this subpart. The use of Method 25A, 40 CFR part 60, appendix A, shall conform with the requirements in paragraphs (b)(1) and (b)(2) of this section. During periods of startup or shutdown, as an alternative to using Equation 49 of this subpart, the owner or operator may divide the emission rate of total organic HAP or TOC during startup or shutdown by the rate of polymer produced from the most recent performance test associated with a production rate greater than zero to comply with the emission limit.

Where:
ERMBS = Emission rate of organic HAP or TOC from continuous process vents, kg/Mg product.
Ei = Emission rate of organic HAP or TOC from continuous process vent i as calculated using the procedures specified in �63.116(c)(4), kg/month.
PPM = Amount of polymer produced in one month as determined by the procedures specified in �63.1318(b)(1)(ii), Mg/month.
n = Number of continuous process vents.
(1) The organic HAP used as the calibration gas for Method 25A, 40 CFR part 60, appendix A, shall be the single organic HAP representing the largest percent by volume.
(2) The use of Method 25A, 40 CFR part 60, appendix A, is acceptable if the response from the high-level calibration gas is at least 20 times the standard deviation of the response from the zero calibration gas when the instrument is zeroed on the most sensitive scale.
(c) The owner or operator of an affected source, complying with �63.1322(a)(3) shall determine compliance with the percent reduction requirement using Equation 50 of this subpart.

Where:
PR = Percent reduction
Hj = Number of operating hours in a year for control device j.
Ei = Mass rate of TOC or total organic HAP at the inlet of control device j, calculated as specified in �63.1325(f), kg/hr. This value includes all continuous process vents, batch process vents, and aggregate batch vent streams routed to control device j.
Eo = Mass rate of TOC or total organic HAP at the outlet of control device j, calculated as specified in �63.1325(f), kg/hr.
Hk = Number of hours of operation during which positive flow is present in uncontrolled continuous process vent or aggregate batch vent stream k, hr/yr.
Eku = Mass rate of TOC or total organic HAP of uncontrolled continuous process vent or aggregate batch vent stream k, calculated as specified in �63.1325(f)(4), kg/hr.
AEunc = Mass rate of TOC or total organic HAP of uncontrolled batch process vent l, calculated as specified in �63.1325(f)(4), kg/yr.
n = Number of control devices, uncontrolled continuous process vents and aggregate batch vent streams, and uncontrolled batch process vents. The value of n is not necessarily the same for these three items.
(d) Data shall be reduced in accordance with the EPA approved methods specified in the applicable subpart or, if other test methods are used, the data and methods shall be validated according to the protocol in Method 301 of appendix A of this part.
(e) Notwithstanding any other provision of this subpart, if an owner or operator of an affected source uses a flare to comply with any of the requirements of this subpart, the owner or operator shall comply with paragraphs (e)(1) through (e)(3) of this section. The owner or operator is not required to conduct a performance test to determine percent emission reduction or outlet organic HAP or TOC concentration. If a compliance demonstration has been conducted previously for a flare, using the techniques specified in paragraphs (e)(1) through (e)(3) of this section, that compliance demonstration may be used to satisfy the requirements of this paragraph if either no deliberate process changes have been made since the compliance demonstration, or the results of the compliance demonstration reliably demonstrate compliance despite process changes.
(1) Conduct a visible emission test using the techniques specified in �63.11(b)(4);
(2) Determine the net heating value of the gas being combusted, using the techniques specified in �63.11(b)(6); and
(3) Determine the exit velocity using the techniques specified in either �63.11(b)(7)(i) (and �63.11(b)(7)(iii), where applicable) or �63.11(b)(8), as appropriate.
[61 FR 48229, Sept. 12, 1996, as amended at 65 FR 38128, June 19, 2000; 79 FR 17637, Mar. 27, 2014]
�63.1334 Parameter monitoring levels and excursions.
(a) Establishment of parameter monitoring levels. The owner or operator of a control or recovery device that has one or more parameter monitoring level requirements specified under this subpart shall establish a maximum or minimum level for each measured parameter. If a performance test is required by this subpart for a control device, the owner or operator shall use the procedures in either paragraph (b) or (c) of this section to establish the parameter monitoring level(s). If a performance test is not required by this subpart for a control device, the owner or operator may use the procedures in paragraph (b), (c) or (d) of this section to establish the parameter monitoring level(s). When using the procedures specified in paragraph (c) or (d) of this section, the owner or operator shall submit the information specified in �63.1335(e)(3)(vii) for review and approval as part of the Precompliance Report.
(1) The owner or operator shall operate control and recovery devices such that the daily average of monitored parameters remains above the minimum established level or below the maximum established level, except as otherwise stated in this subpart.
(2) As specified in �63.1335(e)(5), all established levels, along with their supporting documentation and the definition of an operating day, shall be submitted as part of the Notification of Compliance Status.
(3) Nothing in this section shall be construed to allow a monitoring parameter excursion caused by an activity that violates other applicable provisions of subpart A, F, G, or H of this part.
(b) Establishment of parameter monitoring levels based exclusively on performance tests. In cases where a performance test is required by this subpart, or the owner or operator of the affected source elects to do a performance test in accordance with the provisions of this subpart, and an owner or operator elects to establish a parameter monitoring level for a control, recovery, or recapture device based exclusively on parameter values measured during the performance test, the owner or operator of the affected source shall comply with the procedures in paragraphs (b)(1) through (b)(4) of this section, as applicable.
(1) [Reserved]
(2) Continuous process vents. During initial compliance testing, the appropriate parameter shall be continuously monitored during the required 1-hour runs. The monitoring level(s) shall then be established as the average of the maximum (or minimum) point values from the three test runs. The average of the maximum values shall be used when establishing a maximum level, and the average of the minimum values shall be used when establishing a minimum level.
(3) Batch process vents. The monitoring level(s) shall be established using the procedures specified in either paragraph (b)(3)(i) or (b)(3)(ii) of this section. The procedures specified in this paragraph (b)(3) may only be used if the batch emission episodes, or portions thereof, selected to be controlled were tested, and monitoring data were collected, during the entire period in which emissions were vented to the control device, as specified in �63.1325(c)(1)(i). If the owner or operator chose to test only a portion of the batch emission episode, or portion thereof, selected to be controlled, the procedures in paragraph (c) of this section shall be used.
(i) If more than one batch emission episode or more than one portion of a batch emission episode has been selected to be controlled, a single level for the batch cycle shall be calculated as follows:
(A) The average monitored parameter value shall be calculated for each batch emission episode, or portion thereof, in the batch cycle selected to be controlled. The average shall be based on all values measured during the required performance test.
(B) If the level to be established is a maximum operating parameter, the level shall be defined as the minimum of the average parameter values of the batch emission episodes, or portions thereof, in the batch cycle selected to be controlled (i.e., identify the emission episode, or portion thereof, which requires the lowest parameter value in order to assure compliance. The average parameter value that is necessary to assure compliance for that emission episode, or portion thereof, shall be the level for all emission episodes, or portions thereof, in the batch cycle, that are selected to be controlled).
(C) If the level to be established is a minimum operating parameter, the level shall be defined as the maximum of the average parameter values of the batch emission episodes, or portions thereof, in the batch cycle selected to be controlled (i.e., identify the emission episode, or portion thereof, which requires the highest parameter value in order to assure compliance. The average parameter value that is necessary to assure compliance for that emission episode, or portion thereof, shall be the level for all emission episodes, or portions thereof, in the batch cycle, that are selected to be controlled).
(D) Alternatively, an average monitored parameter value shall be calculated for the entire batch cycle based on all values measured during each batch emission episode, or portion thereof, selected to be controlled.
(ii) Instead of establishing a single level for the batch cycle, as described in paragraph (b)(3)(i) of this section, an owner or operator may establish separate levels for each batch emission episode, or portion thereof, selected to be controlled. Each level shall be determined as specified in paragraph (b)(3)(i)(A) of this section.
(iii) The batch cycle shall be defined in the Notification of Compliance Status, as specified in �63.1335(e)(5). Said definition shall include an identification of each batch emission episode and the information required to determine parameter monitoring compliance for partial batch cycles (i.e., when part of a batch cycle is accomplished during two different operating days).
(4) Aggregate batch vent streams. For aggregate batch vent streams, the monitoring level shall be established in accordance with paragraph (b)(2) of this section.
(c) Establishment of parameter monitoring levels based on performance tests, supplemented by engineering assessments and/or manufacturer's recommendations. In cases where a performance test is required by this subpart, or the owner or operator elects to do a performance test in accordance with the provisions of this subpart, and an owner or operator elects to establish a parameter monitoring level for a control, recovery, or recapture device under this paragraph (c), the owner or operator shall supplement the parameter values measured during the performance test with engineering assessments and/or manufacturer's recommendations. Performance testing is not required to be conducted over the entire range of expected parameter values.
(d) Establishment of parameter monitoring based on engineering assessments and/or manufacturer's recommendations. In cases where a performance test is not required by this subpart and an owner or operator elects to establish a parameter monitoring level for a control, recovery, or recapture device under this paragraph (d), the determination of the parameter monitoring level shall be based exclusively on engineering assessments and/or manufacturer's recommendations.
(e) [Reserved]
(f) Parameter monitoring excursion definitions. (1) With respect to storage vessels (where the applicable monitoring plan specifies continuous monitoring), continuous process vents, aggregate batch vent streams, and process wastewater streams, an excursion means any of the three cases listed in paragraphs (f)(1)(i) through (f)(1)(iii) of this section. For a control or recovery device where multiple parameters are monitored, if one or more of the parameters meets the excursion criteria in paragraphs (f)(1)(i) through (f)(1)(iii) of this section, this is considered a single excursion for the control or recovery device. For each excursion, the owner or operator shall be deemed out of compliance with the provisions of this subpart.
(i) When the daily average value of one or more monitored parameters is above the maximum level or below the minimum level established for the given parameters.
(ii) When the period of control or recovery device operation, with the exception noted in paragraph (f)(1)(v) of this section, is 4 hours or greater in an operating day, and monitoring data are insufficient, as defined in paragraph (f)(1)(iv) of this section, to constitute a valid hour of data for at least 75 percent of the operating hours.
(iii) When the period of control or recovery device operation, with the exception noted in paragraph (f)(1)(v) of this section, is less than 4 hours in an operating day and more than two of the hours during the period of operation do not constitute a valid hour of data due to insufficient monitoring data, as defined in paragraph (f)(1)(iv) of this section.
(iv) Monitoring data are insufficient to constitute a valid hour of data, as used in paragraphs (f)(1)(ii) and (f)(1)(iii) of this section, if measured values are unavailable for any of the 15-minute periods within the hour. For data compression systems approved under �63.1335(g)(3), monitoring data are insufficient to calculate a valid hour of data if there are less than four data measurements made during the hour.
(v) The periods listed in paragraphs (f)(1)(v)(A) and (B) of this section are not considered to be part of the period of control or recovery device operation, for the purposes of paragraphs (f)(1)(ii) and (iii) of this section.
(A) Monitoring system breakdowns, repairs, calibration checks, and zero (low-level) and high-level adjustments; or
(B) Periods of non-operation of the affected source (or portion thereof), resulting in cessation of the emissions to which the monitoring applies.
(2) With respect to batch process vents, an excursion means one of the two cases listed in paragraphs (f)(2)(i) and (f)(2)(ii) of this section. For a control device where multiple parameters are monitored, if one or more of the parameters meets the excursion criteria in either paragraph (f)(2)(i) or (f)(2)(ii) of this section, this is considered a single excursion for the control device. For each excursion, the owner or operator shall be deemed out of compliance with the provisions of this subpart.
(i) When the batch cycle daily average value of one or more monitored parameters is above the maximum or below the minimum established level for the given parameters.
(ii) When monitoring data are insufficient for an operating day. Monitoring data shall be considered insufficient when measured values are not available for at least 75 percent of the 15-minute periods when batch emission episodes selected to be controlled are being vented to the control device during the operating day, using the procedures specified in paragraphs (f)(2)(ii)(A) through (f)(2)(ii)(D) of this section.
(A) Determine the total amount of time during the operating day when batch emission episodes selected to be controlled are being vented to the control device.
(B) Subtract the time during the periods of monitoring system breakdowns, repairs, calibration checks, and zero (low-level) and high-level adjustments from the total amount of time determined in paragraph (f)(2)(ii)(A) of this section, to obtain the operating time used to determine if monitoring data are insufficient.
(C) Determine the total number of 15-minute periods in the operating time used to determine if monitoring data are insufficient, as was determined in accordance with paragraph (f)(2)(ii)(B) of this section.
(D) If measured values are not available for at least 75 percent of the total number of 15-minute periods determined in paragraph (f)(2)(ii)(C) of this section, the monitoring data are insufficient for the operating day.
(3) For storage vessels where the applicable monitoring plan does not specify continuous monitoring, an excursion is defined in paragraph (f)(3)(i) or (ii) of this section, as applicable. For a control or recovery device where multiple parameters are monitored, if one or more of the parameters meets the excursion criteria, this is considered a single excursion for the control or recovery device. For each excursion, the owner or operator shall be deemed out of compliance with the provisions of this subpart.
(i) If the monitoring plan specifies monitoring a parameter and recording its value at specific intervals (such as every 15 minutes or every hour), either of the cases listed in paragraph (f)(3)(i)(A) or (f)(3)(i)(B) of this section is considered a single excursion for the control device. For each excursion, the owner or operator shall be deemed out of compliance with the provisions of this subpart.
(A) When the average value of one or more parameters, averaged over the duration of the filling period for the storage vessel, is above the maximum level or below the minimum level established for the given parameters.
(B) When monitoring data are insufficient. Monitoring data shall be considered insufficient when measured values are not available for at least 75 percent of the specific intervals at which parameters are to be monitored and recorded, according to the storage vessel's monitoring plan, during the filling period for the storage vessel.
(ii) If the monitoring plan does not specify monitoring a parameter and recording its value at specific intervals (for example, if the relevant operating requirement is to exchange a disposable carbon canister before expiration of its rated service life), the monitoring plan shall define an excursion in terms of the relevant operating requirement.
(4) With respect to continuous process vents complying with the mass emissions per mass product requirements specified in �63.1316(b)(1)(i)(A), (b)(1)(ii), (b)(2)(i), (b)(2)(ii), or (c)(1)(i), an excursion has occurred when the mass emission rate calculated as specified in �63.1318(c) exceeds the appropriate mass emissions per mass product requirement. For each excursion, the owner or operator shall be deemed out of compliance with the provisions of this subpart.
(5) With respect to continuous process vents complying with the temperature limits for final condensers specified in �63.1316(b)(1)(i)(B) or (c)(1)(ii), an excursion has occurred when the daily average exit temperature exceeds the appropriate condenser temperature limit. For each excursion, the owner or operator shall be deemed out of compliance with the provisions of this subpart. The periods listed in paragraphs (f)(5)(i) and (ii) of this section are not considered to be part of the period of operation for the condenser for purposes of determining the daily average exit temperature.
(i) Monitoring system breakdowns, repairs, calibration checks, and zero (low-level) and high-level adjustments; or
(ii) Periods of non-operation of the affected source (or portion thereof), resulting in cessation of the emissions to which the monitoring applies.
(6) With respect to new affected sources producing SAN using a batch process, an excursion has occurred when the percent reduction calculated using the procedures specified in �63.1333(c) is less than 84 percent. For each excursion, the owner or operator shall be deemed out of compliance with the provisions of this subpart. The periods listed in paragraphs (f)(6)(i) and (ii) of this section are not considered to be part of the period of control or recovery device operation for purposes of determining the percent reduction.
(i) Monitoring system breakdowns, repairs, calibration checks, and zero (low-level) and high-level adjustments; or
(ii) Periods of non-operation of the affected source (or portion thereof), resulting in cessation of the emissions to which the monitoring applies.
(7) With respect to continuous process vents complying with the mass emissions per mass product requirement specified in �63.1315(b)(2), an excursion has occurred when the mass emission rate calculated as specified in �63.1333(b) exceeds the mass emissions per mass product requirement specified in �63.1315(b)(2). For each excursion, the owner or operator shall be deemed out of compliance with the provisions of this subpart.
[61 FR 48229, Sept. 12, 1996, as amended at 65 FR 38128, June 19, 2000; 79 FR 17368, Mar. 27, 2014]
�63.1335 General recordkeeping and reporting provisions.
(a) Data retention. Unless otherwise specified in this subpart, the owner or operator of an affected source shall keep copies of all applicable records and reports required by this subpart for at least 5 years, as specified in paragraph (a)(1) of this section, with the exception listed in paragraph (a)(2) of this section.
(1) All applicable records shall be maintained in such a manner that they can be readily accessed. The most recent 6 months of records shall be retained on site or shall be accessible from a central location by computer or other means that provides access within 2 hours after a request. The remaining 4 and one-half years of records may be retained offsite. Records may be maintained in hard copy or computer-readable form including, but not limited to, on paper, microfilm, computer, floppy disk, magnetic tape, or microfiche.
(2) If an owner or operator submits copies of reports to the appropriate EPA Regional Office, the owner or operator is not required to maintain copies of reports. If the EPA Regional Office has waived the requirement of �63.10(a)(4)(ii) for submittal of copies of reports, the owner or operator is not required to maintain copies of those reports.
(b) Requirements of subpart A of this part. The owner or operator of an affected source shall comply with the applicable recordkeeping and reporting requirements in subpart A of this part as specified in Table 1 of this subpart. These requirements include, but are not limited to, the requirements specified in paragraphs (b)(1) and (b)(2) of this section.
(1) Malfunction recordkeeping and reporting. (i) Records of malfunctions. The owner or operator shall keep the records specified in paragraphs (b)(1)(i)(A) through (C) of this section.
(A) In the event that an affected unit fails to meet an applicable standard, record the number of failures. For each failure record the date, time, and duration of each failure.
(B) For each failure to meet an applicable standard, record and retain a list of the affected sources or equipment, an estimate of the quantity of each regulated pollutant emitted over any emission limit, and a description of the method used to estimate the emissions.
(C) Record actions taken to minimize emissions in accordance with �63.1310(j)(4), and any corrective actions taken to return the affected unit to its normal or usual manner of operation.
(ii) Reports of malfunctions. If a source fails to meet an applicable standard, report such events in the Periodic Report. Report the number of failures to meet an applicable standard. For each instance, report the date, time, and duration of each failure. For each failure the report must include a list of the affected sources or equipment, an estimate of the quantity of each regulated pollutant emitted over any emission limit, and a description of the method used to estimate the emissions.
(2) Application for approval of construction or reconstruction. For new affected sources, each owner or operator shall comply with the provisions in �63.5 regarding construction and reconstruction, excluding the provisions specified in �63.5(d)(1)(ii)(H), (d)(1)(iii), (d)(2), and (d)(3)(ii).
(c) [Reserved]
(d) Recordkeeping and documentation. Owners or operators required to keep continuous records shall keep records as specified in paragraphs (d)(1) through (10) of this section, unless an alternative recordkeeping system has been requested and approved as specified in paragraph (g) of this section, and except as provided in paragraph (h) of this section. If a monitoring plan for storage vessels pursuant to �63.1314(a)(9) requires continuous records, the monitoring plan shall specify which provisions, if any, of paragraphs (d)(1) through (10) of this section apply. As described in �63.1314(a)(9), certain storage vessels are not required to keep continuous records as specified in this paragraph. Owners and operators of such storage vessels shall keep records as specified in the monitoring plan required by �63.1314(a)(9). Paragraphs (d)(8) and (d)(9) of this section specify documentation requirements.
(1) The monitoring system shall measure data values at least once every 15 minutes.
(2) The owner or operator shall record either each measured data value or block average values for 1 hour or shorter periods calculated from all measured data values during each period. If values are measured more frequently than once per minute, a single value for each minute may be used to calculate the hourly (or shorter period) block average instead of all measured values. Owners or operators of batch process vents shall record each measured data value.
(3) Daily average (or batch cycle daily average) values of each continuously monitored parameter shall be calculated for each operating day as specified in paragraphs (d)(3)(i) through (d)(3)(ii) of this section, except as specified in paragraphs (d)(6) and (d)(7) of this section.
(i) The daily average value or batch cycle daily average shall be calculated as the average of all parameter values recorded during the operating day, except as specified in paragraph (d)(7) of this section. For batch process vents, as specified in �63.1326(e)(2)(i), only parameter values measured during those batch emission episodes, or portions thereof, in the batch cycle that the owner or operator has chosen to control shall be used to calculate the average. The calculated average shall cover a 24-hour period if operation is continuous, or the number of hours of operation per operating day if operation is not continuous.
(ii) The operating day shall be the period the owner or operator specifies in the operating permit or the Notification of Compliance Status for purposes of determining daily average values or batch cycle daily average values of monitored parameters.
(4)-(5) [Reserved]
(6) Records required when all recorded values are within the established limits. If all recorded values for a monitored parameter during an operating day are above the minimum level or below the maximum level established in the Notification of Compliance Status or operating permit, the owner or operator may record that all values were above the minimum level or below the maximum level rather than calculating and recording a daily average (or batch cycle daily average) for that operating day.
(7) Monitoring data recorded during periods identified in paragraphs (d)(7)(i) and (ii) of this section shall not be included in any average computed under this subpart. Records shall be kept of the times and durations of all such periods and any other periods during process or control device or recovery device operation when monitors are not operating.
(i) Monitoring system breakdowns, repairs, calibration checks, and zero (low-level) and high-level adjustments; or
(ii) Periods of non-operation of the affected source (or portion thereof), resulting in cessation of the emissions to which the monitoring applies.
(8) For continuous monitoring systems used to comply with this subpart, records documenting the completion of calibration checks, and records documenting the maintenance of continuous monitoring systems that are specified in the manufacturer's instructions or that are specified in other written procedures that provide adequate assurance that the equipment would reasonably be expected to monitor accurately.
(9) The owner or operator of an affected source granted a waiver under �63.10(f) shall maintain the information, if any, specified by the Administrator as a condition of the waiver of recordkeeping or reporting requirements.
(10) For pressure relief devices in organic HAP service, keep records of the information specified in paragraphs (d)(10)(i) through (v) of this section, as applicable.
(i) A list of identification numbers for pressure relief devices that the owner or operator elects to equip with a closed-vent system and control device, subject to the provisions in �63.1331(a)(9)(iv).
(ii) A list of identification numbers for pressure relief devices subject to the provisions in �63.1331(a)(9)(i).
(iii) A list of identification numbers for pressure relief devices equipped with rupture disks, subject to the provisions in �63.1331(a)(9)(ii)(B).
(iv) The dates and results of the Method 21 of 40 CFR part 60, appendix A, monitoring following a pressure release for each pressure relief device subject to the provisions in �63.1331(a)(9)(i) and (ii). The results shall include:
(A) The background level measured during each compliance test.
(B) The maximum instrument reading measured at each piece of equipment during each compliance test.
(v) For pressure relief devices in organic HAP service subject to �63.1331(a)(9)(iii), keep records of each pressure release to the atmosphere, including the following information:
(A) The source, nature, and cause of the pressure release.
(B) The date, time, and duration of the pressure release.
(C) The quantity of total HAP emitted during the pressure release and the calculations used for determining this quantity.
(D) The actions taken to prevent this pressure release.
(E) The measures adopted to prevent future such pressure releases.
(e) Reporting and notification. In addition to the reports and notifications required by subpart A of this part as specified in Table 1 of this subpart, the owner or operator of an affected source shall prepare and submit the reports listed in paragraphs (e)(3) through (9) of this section, as applicable. All reports required by this subpart, and the schedule for their submittal, are listed in Table 9 of this subpart.
(1) Owners and operators shall not be in violation of the reporting requirements of this subpart for failing to submit information required to be included in a specified report if the owner or operator meets the requirements in paragraphs (e)(1)(i) through (e)(1)(iii) of this section. Examples of circumstances where this paragraph may apply include information related to newly-added equipment or emission points, changes in the process, changes in equipment required or utilized for compliance with the requirements of this subpart, or changes in methods or equipment for monitoring, recordkeeping, or reporting.
(i) The information was not known in time for inclusion in the report specified by this subpart;
(ii) The owner or operator has been diligent in obtaining the information; and
(iii) The owner or operator submits a report according to the provisions of paragraphs (e)(1)(iii)(A) through (e)(1)(iii)(C) of this section.
(A) If this subpart expressly provides for supplements to the report in which the information is required, the owner or operator shall submit the information as a supplement to that report. The information shall be submitted no later than 60 days after it is obtained, unless otherwise specified in this subpart.
(B) If this subpart does not expressly provide for supplements, but the owner or operator must submit a request for revision of an operating permit pursuant to part 70 or part 71, due to circumstances to which the information pertains, the owner or operator shall submit the information with the request for revision to the operating permit.
(C) In any case not addressed by paragraph (e)(1)(iii)(A) or (e)(1)(iii)(B) of this paragraph, the owner or operator shall submit the information with the first Periodic Report, as required by this subpart, which has a submission deadline at least 60 days after the information is obtained.
(2) All reports required under this subpart shall be sent to the Administrator at the appropriate address listed in �63.13. If acceptable to both the Administrator and the owner or operator of an affected source, reports may be submitted on electronic media.
(3) Precompliance Report. Owners or operators of affected sources requesting an extension for compliance; requesting approval to use alternative monitoring parameters, alternative continuous monitoring and recordkeeping or alternative controls; requesting approval to use engineering assessment to estimate emissions from a batch emissions episode, as described in �63.1323(b)(6)(i)(C); or wishing to establish parameter monitoring levels according to the procedures contained in �63.1334(c) or (d), shall submit a Precompliance Report according to the schedule described in paragraph (e)(3)(i) of this section. The Precompliance Report shall contain the information specified in paragraphs (e)(3)(ii) through (e)(3)(viii) of this section, as appropriate.
(i) Submittal dates. The Precompliance Report shall be submitted to the Administrator no later than December 19, 2000. If a Precompliance Report was submitted prior to June 19, 2000 and no changes need to be made to that Precompliance Report, the owner or operator shall re-submit the earlier report or submit notification that the previously submitted report is still valid. Unless the Administrator objects to a request submitted in the Precompliance Report within 45 days after its receipt, the request shall be deemed approved. For new affected sources, the Precompliance Report shall be submitted to the Administrator with the application for approval of construction or reconstruction required in paragraph (b)(2) of this section. Supplements to the Precompliance Report may be submitted as specified in paragraph (e)(3)(ix) of this section. To submit a Precompliance Report for the first time after the compliance date to request an extension for compliance; request approval to use alternative monitoring parameters, alternative continuous monitoring and recordkeeping or alternative controls; request approval to use engineering assessment to estimate emissions from a batch emissions episode, as described in �63.1323(b)(6)(i)(C); or to request to establish parameter monitoring levels according to the procedures contained in �63.1334(c) or (d), the owner or operator shall notify the Administrator at least 90 days before the planned change is to be implemented; the change shall be considered approved if the Administrator either approves the change in writing, or fails to disapprove the change in writing within 45 days of receipt.
(ii) A request for an extension for compliance, as specified in �63.1311(e), may be submitted in the Precompliance Report. The request for a compliance extension shall include the data outlined in �63.6(i)(6)(i)(A), (B), and (D), as required in �63.1311(e)(1).
(iii) The alternative monitoring parameter information required in paragraph (f) of this section shall be submitted in the Precompliance Report if, for any emission point, the owner or operator of an affected source seeks to comply through the use of a control technique other than those for which monitoring parameters are specified in this subpart or in subpart G of this part or seeks to comply by monitoring a different parameter than those specified in this subpart or in subpart G of this part.
(iv) If the affected source seeks to comply using alternative continuous monitoring and recordkeeping as specified in paragraph (g) of this section, the owner or operator shall submit a request for approval in the Precompliance Report.
(v) The owner or operator shall report the intent to use alternative emission standards to comply with the provisions of this subpart in the Precompliance Report. The Administrator may deem alternative emission standards to be equivalent to the standard required by the subpart, under the procedures outlined in �63.6(g).
(vi) If a request for approval to use engineering assessment to estimate emissions from a batch emissions episode, as described in �63.1323(b)(6)(i)(C) is being made, the information required by �63.1323(b)(6)(iii)(B) shall be submitted in the Precompliance Report.
(vii) If an owner or operator establishes parameter monitoring levels according to the procedures contained in �63.1334(c) or (d), the following information shall be submitted in the Precompliance Report:
(A) Identification of which procedures (i.e., �63.1334(c) or (d)) are to be used; and
(B) A description of how the parameter monitoring level is to be established. If the procedures in �63.1334(c) are to be used, a description of how performance test data will be used shall be included.
(viii) [Reserved]
(ix) Supplements to the Precompliance Report may be submitted as specified in paragraphs (e)(3)(ix)(A) or (e)(3)(ix)(B) of this section. Unless the Administrator objects to a request submitted in a supplement to the Precompliance Report within 45 days after its receipt, the request shall be deemed approved.
(A) Supplements to the Precompliance Report may be submitted to clarify or modify information previously submitted.
(B) Supplements to the Precompliance Report may be submitted to request approval to use alternative monitoring parameters, as specified in paragraph (e)(3)(iii) of this section; to use alternative continuous monitoring and recordkeeping, as specified in paragraph (e)(3)(iv) of this section; to use alternative controls, as specified in paragraph (e)(3)(v) of this section; to use engineering assessment to estimate emissions from a batch emissions episode, as specified in paragraph (e)(3)(vi) of this section; or to establish parameter monitoring levels according to the procedures contained in �63.1334(c) or (d), as specified in paragraph (e)(3)(vii) of this section.
(4) Emissions Averaging Plan. For all existing affected sources using emissions averaging, an Emissions Averaging Plan shall be submitted for approval according to the schedule and procedures described in paragraph (e)(4)(i) of this section. The Emissions Averaging Plan shall contain the information specified in paragraph (e)(4)(ii) of this section, unless the information required in paragraph (e)(4)(ii) of this section is submitted with an operating permit application. An owner or operator of an affected source who submits an operating permit application instead of an Emissions Averaging Plan shall submit the information specified in paragraph (e)(8) of this section. In addition, a supplement to the Emissions Averaging Plan, as required under paragraph (e)(4)(iii) of this section, is to be submitted whenever additional alternative controls or operating scenarios may be used to comply with this subpart. Updates to the Emissions Averaging Plan shall be submitted in accordance with paragraph (e)(4)(iv) of this section.
(i) Submittal and approval. The Emissions Averaging Plan shall be submitted no later than September 19, 2000, and it is subject to Administrator approval. If an Emissions Averaging Plan was submitted prior to June 19, 2000 and no changes need to be made to that Emissions Averaging Plan, the owner or operator shall re-submit the earlier plan or submit notification that the previously submitted plan is still valid. The Administrator shall determine within 120 days whether the Emissions Averaging Plan submitted presents sufficient information. The Administrator shall either approve the Emissions Averaging Plan, request changes, or request that the owner or operator submit additional information. Once the Administrator receives sufficient information, the Administrator shall approve, disapprove, or request changes to the plan within 120 days.
(ii) Information required. The Emissions Averaging Plan shall contain the information listed in paragraphs (e)(4)(ii)(A) through (e)(4)(ii)(N) of this section for all emission points included in an emissions average.
(A) The required information shall include the identification of all emission points in the planned emissions average and, where applicable, notation of whether each storage vessel, continuous process vent, batch process vent, aggregate batch vent stream, and process wastewater stream is a Group 1 or Group 2 emission point, as defined in �63.1312 or as designated under �63.1332 (c)(3) through (c)(5).
(B) The required information shall include the projected emission debits and credits for each emission point and the sum for the emission points involved in the average calculated according to �63.1332. The projected credits shall be greater than or equal to the projected debits, as required under �63.1332(e)(3).
(C) The required information shall include the specific control technology or pollution prevention measure that will be used for each emission point included in the average and date of application or expected date of application.
(D) The required information shall include the specific identification of each emission point affected by a pollution prevention measure. To be considered a pollution prevention measure, the criteria in �63.1332(j)(1) shall be met. If the same pollution prevention measure reduces or eliminates emissions from multiple emission points in the average, the owner or operator shall identify each of these emission points.
(E) The required information shall include a statement that the compliance demonstration, monitoring, inspection, recordkeeping, and reporting provisions in �63.1332 (m), (n), and (o) that are applicable to each emission point in the emissions average will be implemented beginning on or before the date of compliance.
(F) The required information shall include documentation of the data listed in paragraphs (e)(4)(ii)(F)(1) through (e)(4)(ii)(F)(5) of this section for each storage vessel and continuous process vent subject to �63.1315 included in the average.
(1) The required documentation shall include the values of the parameters used to determine whether the emission point is Group 1 or Group 2. Where TRE index value is used for continuous process vent group determination, the estimated or measured values of the parameters used in the TRE equation in �63.115(d) and the resulting TRE index value shall be submitted.
(2) The required documentation shall include the estimated values of all parameters needed for input to the emission debit and credit calculations in �63.1332(g) and (h). These parameter values shall be specified in the affected source's Emissions Averaging Plan (or operating permit) as enforceable operating conditions. Changes to these parameters shall be reported as required by paragraph (e)(4)(iv) of this section.
(3) The required documentation shall include the estimated percent reduction if a control technology achieving a lower percent reduction than the efficiency of the applicable reference control technology or standard is or will be applied to the emission point.
(4) The required documentation shall include the anticipated nominal efficiency if a control technology achieving a greater percent emission reduction than the efficiency of the reference control technology is or will be applied to the emission point. The procedures in �63.1332(i) shall be followed to apply for a nominal efficiency, and the report specified in paragraph (e)(7)(ii) of this section shall be submitted with the Emissions Averaging Plan as specified in paragraph (e)(7)(ii)(A) of this section.
(5) The required documentation shall include the monitoring plan specified in �63.122(b), to include the information specified in �63.120(d)(2)(i) and in either �63.120(d)(2)(ii) or (d)(2)(iii) for each storage vessel controlled with a closed-vent system using a control device other than a flare.
(G) The information specified in paragraph (f) of this section shall be included in the Emissions Averaging Plan for:
(1) Each continuous process vent subject to �63.1315 controlled by a pollution prevention measure or control technique for which monitoring parameters or inspection procedures are not specified in �63.114; and
(2) Each storage vessel controlled by pollution prevention or a control technique other than an internal or external floating roof or a closed vent system with a control device.
(H) The required information shall include documentation of the data listed in paragraphs (e)(4)(ii)(H)(1) through (e)(4)(ii)(H)(5) of this section for each collection of continuous process vents located in a process section within the affected source subject to �63.1316 (b)(1)(i), (b)(1)(ii), (b)(2)(i), (b)(2)(ii), or (c)(1) included in the average.
(1) For continuous process vents subject to �63.1316(b)(1)(i), the required documentation shall include the values of the parameters used to determine whether the emission point is Group 1 or Group 2. Continuous process vents subject to �63.1316 (b)(1)(ii), (b)(2)(i), (b)(2)(ii), or (c)(1) are considered Group 1 emission points for purposes of emissions averaging, as specified in �63.1332(c)(5).
(2) The required documentation shall include the estimated values of all parameters needed for input to the emission debit and credit calculations in �63.1332(g) and (h). These parameter values shall be specified in the affected source's Emissions Averaging Plan (or operating permit) as enforceable operating conditions. Changes to these parameters shall be reported as required by paragraph (e)(4)(iv) of this section.
(3) For process sections generating debits or credits by comparing actual emissions expressed as kg HAP emissions per Mg of product to the applicable standard, the required documentation shall include the actual emission level expressed as kg HAP emissions per Mg of product.
(4) For process sections using combustion control devices, the required documentation shall include the estimated percent reduction if a control technology achieving a lower percent reduction than the efficiency of the applicable reference control technology or standard is or will be applied to the emission point.
(5) For process sections using combustion control devices, the required documentation shall include the anticipated nominal efficiency if a control technology achieving a greater percent emission reduction than the efficiency of the reference control technology is or will be applied to the emission point. The procedures in �63.1332(i) shall be followed to apply for a nominal efficiency.
(I) For each pollution prevention measure or control device used to reduceair emissions of organic HAP from each collection of continuous process vents located in a process section within the affected source subject to �63.1316 (b)(1)(i), (b)(1)(ii), (b)(2)(i), (b)(2)(ii), or (c)(1) and for which no monitoring parameters or inspection procedures are specified in �63.114, the information specified in paragraph (f) of this section, Alternative Monitoring Parameters, shall be included in the Emissions Averaging Plan.
(J) The required information shall include documentation of the data listed in paragraphs (e)(4)(ii)(J)(1) through (e)(4)(ii)(J)(3) of this section for each batch process vent and aggregate batch vent stream included in the average.
(1) The required documentation shall include the values of the parameters used to determine whether the emission point is Group 1 or Group 2.
(2) The required documentation shall include the estimated values of all parameters needed for input to the emission debit and credit calculations in �63.1332(g) and (h). These parameter values shall be specified in the affected source's Emissions Averaging Plan (or operating permit) as enforceable operating conditions. Changes to these parameters shall be reported as required by paragraph (e)(4)(iv) of this section.
(3) For batch process vents, the required documentation shall include the estimated percent reduction for the batch cycle. For aggregate batch vent streams, the required documentation shall include the estimated percent reduction achieved on a continuous basis.
(K) For each pollution prevention measure or control device used to reduce air emissions of organic HAP from batch process vents or aggregate batch vent streams and for which no monitoring parameters or inspection procedures are specified in �63.1324, the information specified in paragraph (f) of this section, Alternative Monitoring Parameters, shall be included in the Emissions Averaging Plan.
(L) The required information shall include documentation of the data listed in paragraphs (e)(4)(ii)(L)(1) through (e)(4)(ii)(L)(4) of this section for each process wastewater stream included in the average.
(1) The required documentation shall include the data used to determine whether the wastewater stream is a Group 1 or Group 2 wastewater stream.
(2) The required documentation shall include the estimated values of all parameters needed for input to the wastewater emission credit and debit calculations in �63.1332(g) and (h). These parameter values shall be specified in the affected source's Emissions Averaging Plan (or operating permit) as enforceable operating conditions. Changes to these parameters shall be reported as required by paragraph (e)(4)(iv) of this section.
(3) The required documentation shall include the estimated percent reduction if:
(i) A control technology that achieves an emission reduction less than or equal to the emission reduction that would otherwise have been achieved by a steam stripper designed to the specifications found in �63.138(g) is or will be applied to the wastewater stream;
(ii) A control technology achieving less than or equal to 95 percent emission reduction is or will be applied to the vapor stream(s) vented and collected from the treatment processes; or
(iii) A pollution prevention measure is or will be applied.
(4) The required documentation shall include the anticipated nominal efficiency if the owner or operator plans to apply for a nominal efficiency under �63.1332(i). A nominal efficiency shall be applied for if:
(i) A control technology that achieves an emission reduction greater than the emission reduction that would have been achieved by a steam stripper designed to the specifications found in �63.138(g), is or will be applied to the wastewater stream; or
(ii) A control technology achieving greater than 95 percent emission reduction is or will be applied to the vapor stream(s) vented and collected from the treatment processes.
(M) For each pollution prevention measure, treatment process, or control device used to reduce air emissions of organic HAP from wastewater and for which no monitoring parameters or inspection procedures are specified in �63.143, the information specified in paragraph (f) of this section, Alternative Monitoring Parameters, shall be included in the Emissions Averaging Plan.
(N) The required information shall include documentation of the data required by �63.1332(k). The documentation shall demonstrate that the emissions from the emission points proposed to be included in the average will not result in greater hazard or, at the option of the Administrator, greater risk to human health or the environment than if the emission points were not included in an emissions average.
(iii) Supplement to Emissions Averaging Plan. The owner or operator required to prepare an Emissions Averaging Plan under paragraph (e)(4) of this section shall also prepare a supplement to the Emissions Averaging Plan for any additional alternative controls or operating scenarios that may be used to achieve compliance.
(iv) Updates to Emissions Averaging Plan. The owner or operator of an affected source required to submit an Emissions Averaging Plan under paragraph (e)(4) of this section shall also submit written updates of the Emissions Averaging Plan to the Administrator for approval under the circumstances described in paragraphs (e)(4)(iv)(A) through (e)(4)(iv)(C) of this section unless the relevant information has been included and submitted in an operating permit application or amendment.
(A) The owner or operator who plans to make a change listed in either paragraph (e)(4)(iv)(A)(1) or (e)(4)(iv)(A)(2) of this section shall submit an Emissions Averaging Plan update at least 120 days prior to making the change.
(1) An Emissions Averaging Plan update shall be submitted whenever an owner or operator elects to achieve compliance with the emissions averaging provisions in �63.1332 by using a control technique other than that specified in the Emissions Averaging Plan or plans to monitor a different parameter or operate a control device in a manner other than that specified in the Emissions Averaging Plan.
(2) An Emissions Averaging Plan update shall be submitted whenever an emission point or a TPPU is added to an existing affected source and is planned to be included in an emissions average, or whenever an emission point not included in the emissions average described in the Emissions Averaging Plan is to be added to an emissions average. The information in paragraph (e)(4) of this section shall be updated to include the additional emission point.
(B) The owner or operator who has made a change as defined in paragraph (e)(4)(iv)(B)(1) or (e)(4)(iv)(B)(2) of this section shall submit an Emissions Averaging Plan update within 90 days after the information regarding the change is known to the affected source. The update may be submitted in the next quarterly periodic report if the change is made after the date the Notification of Compliance Status is due.
(1) An Emissions Averaging Plan update shall be submitted whenever a process change is made such that the group status of any emission point in an emissions average changes.
(2) An Emissions Averaging Plan update shall be submitted whenever a value of a parameter in the emission credit or debit equations in �63.1332 (g) or (h) changes such that it is below the minimum or above the maximum established level specified in the Emissions Averaging Plan and causes a decrease in the projected credits or an increase in the projected debits.
(C) The Administrator shall approve or request changes to the Emissions Averaging Plan update within 120 days of receipt of sufficient information regarding the change for emission points included in emissions averages.
(5) Notification of Compliance Status. For existing and new affected sources, a Notification of Compliance Status shall be submitted. For equipment leaks subject to �63.1331, the owner or operator shall submit the information required in �63.182(c) in the Notification of Compliance Status within 150 days after the first applicable compliance date for equipment leaks in the affected source, and an update shall be provided in the first Periodic Report that is due at least 150 days after each subsequent applicable compliance date for equipment leaks in the affected source. For all other emission points, including heat exchange systems, the Notification of Compliance Status shall contain the information listed in paragraphs (e)(5)(i) through (e)(5)(xi) of this section, as applicable, and shall be submitted no later than 150 days after the compliance dates specified in this subpart. For pressure relief devices subject to the requirements of �63.1331(a)(9)(iii), the owner or operator shall submit the information listed in paragraph (e)(5)(xii) of this section in the Notification of Compliance Status within 150 days after the first applicable compliance date for pressure relief device monitoring.
(i) The results of any emission point group determinations, process section applicability determinations, performance tests, inspections, any other information used to demonstrate compliance, values of monitored parameters established during performance tests, and any other information required to be included in the Notification of Compliance Status under ��63.1311(m), 63.122, and 63.1314 for storage vessels, �63.117 for continuous process vents, �63.146 for process wastewater, ��63.1316 through 63.1320 for continuous process vents subject to �63.1316, �63.1327 for batch process vents, �63.1329 for process contact cooling towers, and �63.1332 for emission points included in an emissions average. In addition, the owner or operator of an affected source shall comply with paragraphs (e)(5)(i)(A) and (e)(5)(i)(B) of this section.
(A) For performance tests, group determinations, and process section applicability determinations that are based on measurements, the Notification of Compliance Status shall include one complete test report, as described in paragraph (e)(5)(i)(B) of this section, for each test method used for a particular kind of emission point. For additional tests performed for the same kind of emission point using the same method, the results and any other information, from the test report, that is requested on a case-by-case basis by the Administrator shall be submitted, but a complete test report is not required.
(B) A complete test report shall include a brief process description, sampling site description, description of sampling and analysis procedures and any modifications to standard procedures, quality assurance procedures, record of operating conditions during the test, record of preparation of standards, record of calibrations, raw data sheets for field sampling, raw data sheets for field and laboratory analyses, documentation of calculations, and any other information required by the test method.
(ii) For each monitored parameter for which a maximum or minimum level is required to be established under �63.114(e) for continuous process vents, �63.1324 for batch process vents and aggregate batch vent streams, �63.143(f) for process wastewater, �63.1332(m) for emission points in emissions averages, paragraph (e)(8) of this section, or paragraph (f) of this section, the Notification of Compliance Status shall contain the information specified in paragraphs (e)(5)(ii)(A) through (e)(5)(ii)(D) of this section, unless this information has been established and provided in the operating permit application. Further, as described in �63.1314(a)(9), for those storage vessels for which the monitoring plan required by �63.1314(a)(9) specifies compliance with the provisions of �63.1334, the owner or operator shall provide the information specified in paragraphs (e)(5)(ii)(A) through (e)(5)(ii)(D) of this section for each monitored parameter, unless this information has been established and provided in the operating permit application. For those storage vessels for which the monitoring plan required by �63.1314(a)(9) does not require compliance with the provisions of �63.1334, the owner or operator shall provide the information specified in �63.120(d)(3) as part of the Notification of Compliance Status, unless this information has been established and provided in the operating permit application.
(A) The required information shall include the specific maximum or minimum level of the monitored parameter(s) for each emission point.
(B) The required information shall include the rationale for the specific maximum or minimum level for each parameter for each emission point, including any data and calculations used to develop the level and a description of why the level indicates proper operation of the control device.
(C) The required information shall include a definition of the affected source's operating day, as specified in paragraph (d)(3)(ii) of this section, for purposes of determining daily average values or batch cycle daily average values of monitored parameters.
(D) For batch process vents, the required information shall include a definition of each batch cycle that requires the control of one or more batch emission episodes during the cycle, as specified in �63.1325(c)(2) and �63.1334(b)(3)(iii).
(iii) For emission points included in an emissions average, the Notification of Compliance Status shall contain the values of all parameters needed for input to the emission credit and debit equations in �63.1332 (g) and (h), calculated or measured according to the procedures in �63.1332 (g) and (h), and the resulting calculation of credits and debits for the first quarter of the year. The first quarter begins on the compliance date specified.
(iv) The determination of applicability for flexible operation units as specified in �63.1310(f).
(v) The parameter monitoring levels for flexible operation units, and the basis on which these levels were selected, or a demonstration that these levels are appropriate at all times, as specified in �63.1310(f)(7).
(vi) The results for each predominant use determination made under �63.1310(g), for storage vessels assigned to an affected source subject to this subpart.
(vii) The results for each predominant use determination made under �63.1310(h), for recovery operations equipment assigned to an affected source subject to this subpart.
(viii) For owners or operators of Group 2 batch process vents establishing a batch mass input limitation as specified in �63.1325(g), the affected source's operating year for purposes of determining compliance with the batch mass input limitation.
(ix) If any emission point is subject to this subpart and to other standards as specified in �63.1311, and if the provisions of �63.1311 allow the owner or operator to choose which testing, monitoring, reporting, and recordkeeping provisions will be followed, then the Notification of Compliance Status shall indicate which rule's requirements will be followed for testing, monitoring, reporting, and recordkeeping.
(x) An owner or operator who transfers a Group 1 wastewater stream or residual removed from a Group 1 wastewater stream for treatment pursuant to �63.132(g) shall include in the Notification of Compliance Status the name and location of the transferee and a description of the Group 1 wastewater stream or residual sent to the treatment facility.
(xi) An owner or operator complying with paragraph (h)(1) of this section shall notify the Administrator of the election to comply with paragraph (h)(1) of this section as part of the Notification of Compliance Status or as part of the appropriate Periodic Report as specified in paragraph (e)(6)(ix) of this section.
(xii) For pressure relief devices in organic HAP service, a description of the device or monitoring system to be implemented, including the pressure relief devices and process parameters to be monitored (if applicable), a description of the alarms or other methods by which operators will be notified of a pressure release, and a description of how the owner or operator will determine the information to be recorded under paragraphs (d)(10)(v)(B) and (C) of this section (i.e., the duration of the pressure release and the methodology and calculations for determining of the quantity of total HAP emitted during the pressure release). For existing and new affected sources, the owner or operator shall submit Periodic Reports as specified in paragraphs (e)(6)(i) through (xiii) of this section. In addition, for equipment leaks subject to �63.1331, with the exception of �63.1331(c), the owner or operator shall submit the information specified in �63.182(d) under the conditions listed in �63.182(d), and for heat exchange systems subject to �63.1328, the owner or operator shall submit the information specified in �63.104(f)(2) as part of the Periodic Report required by this paragraph (e)(6).
(6) Periodic Reports. For existing and new affected sources, the owner or operator shall submit Periodic Reports as specified in paragraphs (e)(6)(i) through (xiii) of this section. In addition, for equipment leaks subject to �63.1331, with the exception of �63.1331(c), the owner or operator shall submit the information specified in �63.182(d) under the conditions listed in �63.182(d), and for heat exchange systems subject to �63.1328, the owner or operator shall submit the information specified in �63.104(f)(2) as part of the Periodic Report required by this paragraph (e)(6). Section 63.1334 shall govern the use of monitoring data to determine compliance for Group 1 emissions points and for Group 1 and Group 2 emission points included in emissions averages with the following exception: As discussed in �63.1314(a)(9), for storage vessels to which the provisions of �63.1334 do not apply, as specified in the monitoring plan required by �63.120(d)(2), the owner or operator is required to comply with the requirements set out in the monitoring plan, and monitoring records may be used to determine compliance.
(i) Except as specified in paragraphs (e)(6)(xi) and (e)(6)(xii) of this section, a report containing the information in paragraph (e)(6)(ii) of this section or containing the information in paragraphs (e)(6)(iii) through (e)(6)(x) of this section, as appropriate, shall be submitted semiannually no later than 60 days after the end of each 6-month period. The first report shall be submitted no later than 240 days after the date the Notification of Compliance Status is due and shall cover the 6-month period beginning on the date the Notification of Compliance Status is due.
(ii) If none of the compliance exceptions specified in paragraphs (e)(6)(iii) through (e)(6)(ix) of this section occurred during the 6-month period, the Periodic Report required by paragraph (e)(6)(i) of this section shall be a statement that there were no compliance exceptions as described in this paragraph for the 6-month period covered by that report and no activities specified in paragraphs (e)(6)(iii) through (e)(6)(ix) of this section occurred during the 6-month period covered by that report.
(iii) For an owner or operator of an affected source complying with the provisions of ��63.1314 through 63.1330 for any emission point or process section, Periodic Reports shall include:
(A) All information specified in �63.122 for storage vessels; ��63.117 and 63.118 and �63.1320 for continuous process vents, as applicable; �63.1327 for batch process vents and aggregate batch vent streams; �63.104 for heat exchange systems; and �63.146 for process wastewater;
(B) The daily average values or batch cycle daily average values of monitored parameters for unexcused excursions, as defined in �63.1334(f). For excursions caused by lack of monitoring data, the start-time and duration of periods when monitoring data were not collected shall be specified.
(C) [Reserved]
(D) The information in paragraphs (e)(6)(iii)(D)(1) through (e)(6)(iii)(D)(4) of this section, as applicable:
(1) Any supplements to the Emissions Averaging Plan, as required in paragraph (e)(4)(iii) of this section;
(2) Notification if a process change is made such that the group status of any emission point changes from Group 2 to Group 1. The owner or operator is not required to submit a notification of a process change if that process change caused the group status of an emission point to change from Group 1 to Group 2. However, until the owner or operator notifies the Administrator that the group status of an emission point has changed from Group 1 to Group 2, the owner or operator is required to continue to comply with the Group 1 requirements for that emission point. This notification may be submitted at any time.
(3) Notification if one or more emission point(s) (other than equipment leaks) or one or more TPPU is added to an affected source. The owner or operator shall submit the information contained in paragraphs (e)(6)(iii)(D)(3)(i) through (e)(6)(iii)(D)(3)(ii) of this section:
(i) A description of the addition to the affected source; and
(ii) Notification of the group status of the additional emission point or all emission points in the TPPU.
(4) For process wastewater streams sent for treatment pursuant to �63.132(g), reports of changes in the identity of the treatment facility or transferee.
(E) The information in paragraph (b)(1)(ii) of this section for reports of malfunctions.
(iv) For each batch process vent with a batch mass input limitation, every second Periodic Report shall include the mass of HAP or material input to the batch unit operation during the 12-month period covered by the preceding and current Periodic Reports, and a statement of whether the batch process vent was in or out of compliance with the batch mass input limitation.
(v) If any performance tests are reported in a Periodic Report, the following information shall be included:
(A) One complete test report shall be submitted for each test method used for a particular kind of emission point tested. A complete test report shall contain the information specified in paragraph (e)(5)(i)(B) of this section.
(B) For additional tests performed for the same kind of emission point using the same method, results and any other information, pertaining to the performance test, that is requested on a case-by-case basis by the Administrator shall be submitted, but a complete test report is not required.
(vi) Notification of a change in the primary product of a TPPU, in accordance with the provisions in �63.1310(f). This includes a change in primary product from one thermoplastic product to either another thermoplastic product or to a non-thermoplastic product.
(vii) The results for each change made to a predominant use determination made under �63.1310(g) for a storage vessel that is assigned to an affected source subject to this subpart after the change.
(viii) The Periodic Report shall include the results for each change made to a predominant use determination made under �63.1310(h) for recovery operations equipment assigned to an affected source subject to this subpart after the change.
(ix) An owner or operator complying with paragraph (h)(1) of this section shall notify the Administrator of the election to comply with paragraph (h)(1) of this section as part of the Periodic Report or as part of the Notification of Compliance Status as specified in paragraph (e)(5)(xi) of this section.
(x) An owner or operator electing not to retain daily average or batch cycle daily average values under paragraph (h)(2) of this section shall notify the Administrator as specified in paragraph (h)(2)(i) of this section.
(xi) The owner or operator of an affected source shall submit quarterly reports for all emission points included in an emissions average as specified in paragraphs (e)(6)(xi)(A) through (e)(6)(xi)(C) of this section.
(A) The quarterly reports shall be submitted no later than 60 days after the end of each quarter. The first report shall be submitted with the Notification of Compliance Status no later than 150 days after the compliance date.
(B) The quarterly reports shall include the information specified in paragraphs (e)(6)(xi)(B)(1) through (e)(6)(xi)(B)(7) of this section for all emission points included in an emissions average.
(1) The credits and debits calculated each month during the quarter;
(2) A demonstration that debits calculated for the quarter are not more than 1.30 times the credits calculated for the quarter, as required under �63.1332(e)(4);
(3) The values of any inputs to the debit and credit equations in �63.1332(g) and (h) that change from month to month during the quarter or that have changed since the previous quarter;
(4) Results of any performance tests conducted during the reporting period including one complete report for each test method used for a particular kind of emission point as described in paragraph (e)(6)(v) of this section;
(5) Reports of daily average (or batch cycle daily average) values of monitored parameters for excursions as defined in �63.1334(f);
(6) For excursions caused by lack of monitoring data, the duration of periods when monitoring data were not collected shall be specified; and
(7) Any other information the affected source is required to report under the operating permit or Emissions Averaging Plan for the affected source.
(C) Every fourth quarterly report shall include the following:
(1) A demonstration that annual credits are greater than or equal to annual debits as required by �63.1332(e)(3); and
(2) A certification of compliance with all the emissions averaging provisions in �63.1332.
(xii) The owner or operator of an affected source shall submit quarterly reports for particular emission points and process sections not included in an emissions average as specified in paragraphs (e)(6)(xii)(A) through (e)(6)(xii)(D) of this section.
(A) The owner or operator of an affected source shall submit quarterly reports for a period of 1 year for an emission point or process section that is not included in an emissions average if:
(1) A control or recovery device for a particular emission point or process section has one or more excursions, as defined in �63.1334(f), in two consecutive semiannual reporting periods; or
(2) The Administrator requests that the owner or operator submit quarterly reports for the emission point or process section.
(B) The quarterly reports shall include all information specified in paragraphs (e)(6)(iii) through (e)(6)(ix) of this section applicable to the emission point or process section for which quarterly reporting is required under paragraph (e)(6)(xii)(A) of this section. Information applicable to other emission points within the affected source shall be submitted in the semiannual reports required under paragraph (e)(6)(i) of this section.
(C) Quarterly reports shall be submitted no later than 60 days after the end of each quarter.
(D) After quarterly reports have been submitted for an emission point for 1 year without one or more excursions occurring (during that year), the owner or operator may return to semiannual reporting for the emission point or process section.
(xiii) For pressure relief devices in organic HAP service, Periodic Reports must include the information specified in paragraphs (e)(6)(xiii)(A) through (C) of this section.
(A) For pressure relief devices in organic HAP service subject to �63.1331(a)(9), report confirmation that all monitoring to show compliance was conducted within the reporting period.
(B) For pressure relief devices in organic HAP gas or vapor service subject to �63.1331(a)(9)(ii), report any instrument reading of 500 ppm above background or greater, more than 5 calendar days after the pressure release.
(C) For pressure relief devices in organic HAP service subject to �63.1331(a)(9)(iii), report each pressure release to the atmosphere, including the following information:
(1) The source, nature, and cause of the pressure release.
(2) The date, time, and duration of the pressure release.
(3) The quantity of total HAP emitted during the pressure release and the method used for determining this quantity.
(4) The actions taken to prevent this pressure release.
(5) The measures adopted to prevent future such pressure releases.
(7) Other reports. Other reports shall be submitted as specified in paragraphs (e)(7)(i) through (e)(7)(iv) of this section.
(i) For storage vessels, the notifications of inspections required by �63.1314 shall be submitted as specified in �63.122 (h)(1) and (h)(2).
(ii) For owners or operators of affected sources required to request approval for a nominal control efficiency for use in calculating credits for an emissions average, the information specified in �63.1332(i) shall be submitted as specified in paragraph (e)(7)(ii)(A) or (B) of this section, as appropriate.
(A) If use of a nominal control efficiency is part of the initial Emissions Averaging Plan described in paragraph (e)(4)(ii) of this section, the information shall be submitted with the Emissions Averaging Plan.
(B) If an owner or operator elects to use a nominal control efficiency after submittal of the initial Emissions Averaging Plan as described in paragraph (e)(4)(ii) of this section, the information shall be submitted at the discretion of the owner or operator.
(iii) When the conditions of ��63.1310(f)(3)(iii), 63.1310(f)(9), or 63.1310(f)(10)(iii) are met, reports of changes to the primary product for a TPPU or process unit as required by ��63.1310(f)(3)(iii), 63.1310(f)(9), or 63.1310(f)(10)(iii)(C), respectively, shall be submitted.
(iv) Owners or operators of TPPU or emission points (other than equipment leak components subject to �63.1331) that are subject to �63.1310(i)(1) or (i)(2) shall submit a report as specified in paragraphs (e)(7)(iv)(A) and (B) of this section.
(A) Reports shall include:
(1) A description of the process change or addition, as appropriate;
(2) The planned start-up date and the appropriate compliance date, according to �63.1310(i)(1) or (2); and
(3) Identification of the group status of emission points (except equipment leak components subject to �63.1331) specified in paragraphs (e)(7)(iv)(A)(3)(i) through (e)(7)(iv)(A)(3)(iii) of this section, as applicable.
(i) All the emission points in the added TPPU as described in �63.1310(i)(1).
(ii) All the emission points in an affected source designated as a new affected source under �63.1310(i)(2)(i).
(iii) All the added or created emission points as described in �63.1310(i)(2)(ii) or (i)(2)(iii).
(4) If the owner or operator wishes to request approval to use alternative monitoring parameters, alternative continuous monitoring or recordkeeping, alternative controls, engineering assessment to estimate emissions from a batch emissions episode, or wishes to establish parameter monitoring levels according to the procedures contained in �63.1334(c) or (d), a Precompliance Report shall be submitted in accordance with paragraph (e)(7)(iv)(B) of this section.
(B) Reports shall be submitted as specified in paragraphs (e)(7)(iv)(B)(1) through (e)(7)(iv)(B)(3) of this section, as appropriate.
(1) Owners or operators of an added TPPU subject to �63.1310(i)(1) shall submit a report no later than 180 days prior to the compliance date for the TPPU.
(2) Owners or operators of an affected source designated as a new affected source under �63.1310(i)(2)(i) shall submit a report no later than 180 days prior to the compliance date for the affected source.
(3) Owners or operators of any emission point (other than equipment leak components subject to �63.1331) subject to �63.1310(i)(2)(ii) or (i)(2)(iii) shall submit a report no later than 180 days prior to the compliance date for those emission points.
(8) Operating permit application. An owner or operator who submits an operating permit application instead of an Emissions Averaging Plan or a Precompliance Report shall include the following information with the operating permit application:
(i) The information specified in paragraph (e)(4) of this section for points included in an emissions average; and
(ii) The information specified in paragraph (e)(3) of this section, Precompliance Report, as applicable.
(9) Electronic reporting. Within 60 days after the date of completing each performance test (as defined in �63.2), the owner or operator must submit the results of the performance tests, including any associated fuel analyses, required by this subpart according to the methods specified in paragraphs (e)(9)(i) or (ii) of this section.
(i) For data collected using test methods supported by the EPA-provided software, the owner or operator shall submit the results of the performance test to the EPA by direct computer-to-computer electronic transfer via EPA-provided software, unless otherwise approved by the Administrator. Owners or operators, who claim that some of the information being submitted for performance tests is confidential business information (CBI), must submit a complete file using EPA-provided software that includes information claimed to be CBI on a compact disk, flash drive, or other commonly used electronic storage media to the EPA. The electronic media must be clearly marked as CBI and mailed to U.S. EPA/OAPQS/CORE CBI Office, Attention: WebFIRE Administrator, MD C404-02, 4930 Old Page Rd., Durham, NC 27703. The same file with the CBI omitted must be submitted to the EPA by direct computer-to-computer electronic transfer via EPA-provided software.
(ii) For any performance test conducted using test methods that are not compatible with the EPA-provided software, the owner or operator shall submit the results of the performance test to the Administrator at the appropriate address listed in �60.4.
(f) Alternative monitoring parameters. The owner or operator who has been directed by any section of this subpart or any section of another subpart referenced by this subpart, that expressly referenced this paragraph (f) to set unique monitoring parameters, or who requests approval to monitor a different parameter than those specified in �63.1314 for storage vessels, �63.1315 or �63.1317, as appropriate, for continuous process vents, �63.1321 for batch process vents and aggregate batch vent streams, or �63.1330 for process wastewater shall submit the information specified in paragraphs (f)(1) through (f)(3) of this section in the Precompliance Report, as required by paragraph (e)(3) of this section. The owner or operator shall retain for a period of 5 years each record required by paragraphs (f)(1) through (f)(3) of this section.
(1) The required information shall include a description of the parameter(s) to be monitored to ensure the recovery device, control device, or pollution prevention measure is operated in conformance with its design and achieves the specified emission limit, percent reduction, or nominal efficiency, and an explanation of the criteria used to select the parameter(s).
(2) The required information shall include a description of the methods and procedures that will be used to demonstrate that the parameter indicates proper operation, the schedule for this demonstration, and a statement that the owner or operator will establish a level for the monitored parameter as part of the Notification of Compliance Status report required in paragraph (e)(5) of this section, unless this information has already been included in the operating permit application.
(3) The required information shall include a description of the proposed monitoring, recordkeeping, and reporting system, to include the frequency and content of monitoring, recordkeeping, and reporting. Further, the rationale for the proposed monitoring, recordkeeping, and reporting system shall be included if either condition in paragraph (f)(3)(i) or (f)(3)(ii) of this section is met:
(i) If monitoring and recordkeeping is not continuous; or
(ii) If reports of daily average values will not be included in Periodic Reports when the monitored parameter value is above the maximum level or below the minimum level as established in the operating permit or the Notification of Compliance Status.
(g) Alternative continuous monitoring and recordkeeping. An owner or operator choosing not to implement the provisions listed in �63.1315 or �63.1317, as appropriate, for continuous process vents, �63.1321 for batch process vents and aggregate batch vent streams, or �63.1330 for process wastewater, may instead request approval to use alternative continuous monitoring and recordkeeping provisions according to the procedures specified in paragraphs (g)(1) through (g)(4) of this section. Requests shall be submitted in the Precompliance Report as specified in paragraph (e)(3)(iv) of this section, if not already included in the operating permit application, and shall contain the information specified in paragraphs (g)(2)(ii) and (g)(3)(ii) of this section, as applicable.
(1) The provisions in �63.8(f)(5)(i) shall govern the review and approval of requests.
(2) An owner or operator of an affected source that does not have an automated monitoring and recording system capable of measuring parameter values at least once every 15 minutes and that does not generate continuous records may request approval to use a nonautomated system with less frequent monitoring, in accordance with paragraphs (g)(2)(i) and (g)(2)(ii) of this section.
(i) The requested system shall include manual reading and recording of the value of the relevant operating parameter no less frequently than once per hour. Daily average (or batch cycle daily average) values shall be calculated from these hourly values and recorded.
(ii) The request shall contain:
(A) A description of the planned monitoring and recordkeeping system;
(B) Documentation that the affected source does not have an automated monitoring and recording system;
(C) Justification for requesting an alternative monitoring and recordkeeping system; and
(D) Demonstration to the Administrator's satisfaction that the proposed monitoring frequency is sufficient to represent control or recovery device operating conditions, considering typical variability of the specific process and control or recovery device operating parameter being monitored.
(3) An owner or operator may request approval to use an automated data compression recording system that does not record monitored operating parameter values at a set frequency, but records all values that meet set criteria for variation from previously recorded values, in accordance with paragraphs (g)(3)(i) and (g)(3)(ii) of this section.
(i) The requested system shall be designed to:
(A) Measure the operating parameter value at least once during every 15 minute period;
(B) Except for the monitoring of batch process vents, calculate hourly average values each hour during periods of operation;
(C) Record the date and time when monitors are turned off or on;
(D) Recognize unchanging data that may indicate the monitor is not functioning properly, alert the operator, and record the incident;
(E) Calculate daily average (or batch cycle daily average) values of the monitored operating parameter based on all measured data; and
(F) If the daily average is not an excursion, as defined in �63.1334(f), the data for that operating day may be converted to hourly average values and the four or more individual records for each hour in the operating day may be discarded.
(ii) The request shall contain:
(A) A description of the monitoring system and data compression recording system, including the criteria used to determine which monitored values are recorded and retained;
(B) The method for calculating daily averages and batch cycle daily averages; and
(C) A demonstration that the system meets all criteria in paragraph (g)(3)(i) of this section.
(4) An owner or operator may request approval to use other alternative monitoring systems according to the procedures specified in �63.8(f)(4).
(h) Reduced recordkeeping program. For any parameter with respect to any item of equipment, the owner or operator may implement the recordkeeping requirements specified in paragraph (h)(1) or (h)(2) of this section as alternatives to the continuous operating parameter monitoring and recordkeeping provisions that would otherwise apply under this subpart. The owner or operator shall retain for a period of 5 years each record required by paragraph (h)(1) or (h)(2) of this section, except as otherwise provided in paragraph (h)(1)(vi)(D) of this section.
(1) The owner or operator may retain only the daily average (or batch cycle daily average) value, and is not required to retain more frequent monitored operating parameter values, for a monitored parameter with respect to an item of equipment, if the requirements of paragraphs (h)(1)(i) through (h)(1)(vi) of this section are met. An owner or operator electing to comply with the requirements of paragraph (h)(1) of this section shall notify the Administrator in the Notification of Compliance Status as specified in paragraph (e)(5)(xi) of this section or, if the Notification of Compliance Status has already been submitted, in the Periodic Report immediately preceding implementation of the requirements of paragraph (h)(1) of this section as specified in paragraph (e)(6)(ix) of this section.
(i) The monitoring system is capable of detecting unrealistic or impossible data during periods of operation (e.g., a temperature reading of ?200�C on a boiler), and will alert the operator by alarm or other means. All instances of the alarm or other alert in an operating day constitute a single occurrence.
(ii) The monitoring system generates, updated at least hourly throughout each operating day, a running average of the monitoring values that have been obtained during that operating day, and the capability to observe this running average is readily available to the Administrator on-site during the operating day. The owner or operator shall record the occurrence of any period meeting the criteria in paragraphs (h)(1)(ii)(A) and (B) of this section. All instances in an operating day constitute a single occurrence.
(A) The running average is above the maximum or below the minimum established limits; and
(B) The running average is based on at least six 1-hour average values.
(iii) The monitoring system is capable of detecting unchanging data during periods of operation, except in circumstances where the presence of unchanging data is the expected operating condition based on past experience (e.g., pH in some scrubbers), and will alert the operator by alarm or other means. All instances of the alarm or other alert in an operating day constitute a single occurrence.
(iv) The monitoring system will alert the owner or operator by an alarm or other means, if the running average parameter value calculated under paragraph (h)(1)(ii) of this section reaches a set point that is appropriately related to the established limit for the parameter that is being monitored.
(v) The owner or operator shall verify the proper functioning of the monitoring system, including its ability to comply with the requirements of paragraph (h)(1) of this section, at the times specified in paragraphs (h)(1)(v)(A) through (h)(1)(v)(C). The owner or operator shall document that the required verifications occurred.
(A) Upon initial installation.
(B) Annually after initial installation.
(C) After any change to the programming or equipment constituting the monitoring system, which might reasonably be expected to alter the monitoring system's ability to comply with the requirements of this section.
(vi) The owner or operator shall retain the records identified in paragraphs (h)(1)(vi)(A) through (h)(1)(vi)(D) of this section.
(A) Identification of each parameter, for each item of equipment, for which the owner or operator has elected to comply with the requirements of paragraph (h) of this section.
(B) A description of the applicable monitoring system(s), and of how compliance will be achieved with each requirement of paragraphs (h)(1)(i) through (h)(1)(v) of this section. The description shall identify the location and format (e.g., on-line storage, log entries) for each required record. If the description changes, the owner or operator shall retain both the current and the most recent superseded description, as provided in paragraph (a) of this section, except as provided in paragraph (h)(1)(vi)(D) of this section.
(C) A description, and the date, of any change to the monitoring system that would reasonably be expected to impair its ability to comply with the requirements of paragraph (h)(1) of this section.
(D) Owners and operators subject to paragraph (h)(1)(vi)(B) of this section shall retain the current description of the monitoring system as long as the description is current. The current description shall, at all times, be retained on-site or be accessible from a central location by computer or other means that provides access within 2 hours after a request. The owner or operator shall retain all superseded descriptions for at least 5 years after the date of their creation. Superseded descriptions shall be retained on-site (or accessible from a central location by computer or other means that provides access within 2 hours after a request) for at least 6 months after their creation. Thereafter, superseded descriptions may be stored off-site.
(2) If an owner or operator has elected to implement the requirements of paragraph (h)(1) of this section for a monitored parameter with respect to an item of equipment and a period of 6 consecutive months has passed without an excursion as defined in paragraph (h)(2)(iv) of this section, the owner or operator is no longer required to record the daily average (or batch cycle daily average) value for any operating day when the daily average (or batch cycle daily average) value is less than the maximum or greater than the minimum established limit. With approval by the Administrator, monitoring data generated prior to the compliance date of this subpart shall be credited toward the period of 6 consecutive months, if the parameter limit and the monitoring accomplished during the period prior to the compliance date was required and/or approved by the Administrator.
(i) If the owner or operator elects not to retain the daily average (or batch cycle daily average) values, the owner or operator shall notify the Administrator in the next Periodic Report as specified in paragraph (e)(6)(x) of this section. The notification shall identify the parameter and unit of equipment.
(ii) If, on any operating day after the owner or operator has ceased recording daily average (or batch cycle daily average) values as provided in paragraph (h)(2) of this section, there is an excursion as defined in paragraph (h)(2)(iv) of this section, the owner or operator shall immediately resume retaining the daily average (or batch cycle daily average) value for each operating day and shall notify the Administrator in the next Periodic Report. The owner or operator shall continue to retain each daily average (or batch cycle daily average) value until another period of 6 consecutive months has passed without an excursion as defined in paragraph (h)(2)(iv) of this section.
(iii) The owner or operator shall retain the records specified in paragraphs (h)(1)(i) through (iii) of this section, for the duration specified in this paragraph (h). For any calendar week, if compliance with paragraphs (h)(1)(i) through (iv) of this section does not result in retention of a record of at least one occurrence or measured parameter value, the owner or operator shall record and retain at least one parameter value during a period of operation.
(iv) For purposes of paragraph (h) of this section, an excursion means that the daily average (or batch cycle daily average) value of monitoring data for a parameter is greater than the maximum, or less than the minimum established value.
[61 FR 48229, Sept. 12, 1996, as amended at 64 FR 11553, Mar. 9, 1999; 65 FR 38131, June 19, 2000; 66 FR 36939, July 16, 2001; 71 FR 20460, Apr. 20, 2006; 79 FR 17368, Mar. 27, 2014]
�63.1336 Implementation and enforcement.
(a) This subpart can be implemented and enforced by the U.S. EPA, or a delegated authority such as the applicable State, local, or Tribal agency. If the U.S. EPA Administrator has delegated authority to a State, local, or Tribal agency, then that agency, in addition to the U.S. EPA, has the authority to implement and enforce this subpart. Contact the applicable U.S. EPA Regional Office to find out if this subpart is delegated to a State, local, or Tribal agency.
(b) In delegating implementation and enforcement authority of this subpart to a State, local, or Tribal agency under subpart E of this part, the authorities contained in paragraph (c) of this section are retained by the Administrator of U.S. EPA and cannot be transferred to the State, local, or Tribal agency.
(c) The authorities that cannot be delegated to State, local, or Tribal agencies are as specified in paragraphs (c)(1) through (4) of this section.
(1) Approval of alternatives to the requirements in ��63.1310 through 63.1311, 63.1313 through 63.1315(a)(1) through (9), (11) through (18), (b) through (e), 63.1316, 63.1321 through 63.1322, 63.1323(a), (b)(1) through (4), (b)(5)(iv) through (v), (b)(6) through (7), (c) through (j), and 63.1328 through 63.1332. Where these standards reference another subpart, the cited provisions will be delegated according to the delegation provisions of the referenced subpart. Where these standards reference another subpart and modify the requirements, the requirements shall be modified as described in this subpart. Delegation of the modified requirements will also occur according to the delegation provisions of the referenced subpart.
(2) Approval of major alternatives to test methods for under �63.7(e)(2)(ii) and (f), as defined in �63.90, and as required in this subpart.
(3) Approval of major alternatives to monitoring under �63.8(f), as defined in �63.90, and as required in this subpart.
(4) Approval of major alternatives to recordkeeping and reporting under �63.10(f), as defined in �63.90, and as required in this subpart.
[68 FR 37357, June 23, 2003]
Table 1 to Subpart JJJ of Part 63 - Applicability of general provisions to subpart JJJ affected sources
| Reference |
Applies to
Subpart JJJ | Explanation |
|---|---|---|
| �63.1(a)(1) | Yes | �63.1312 specifies definitions in addition to or that supersede definitions in �63.2. |
| �63.1(a)(2) | Yes | |
| �63.1(a)(3) | Yes | �63.1311(g) through (l) and �63.160(b) identify those standards which may apply in addition to the requirements of subparts JJJ and H of this part, and specify how compliance shall be achieved. |
| �63.1(a)(4) | Yes | Subpart JJJ (this table) specifies the applicability of each paragraph in subpart A to subpart JJJ. |
| �63.1(a)(5) | No | [Reserved.]. |
| �63.1(a)(6) | Yes | |
| �63.1(a)(7)-(9) | No | [Reserved.]. |
| �63.1(a)(10) | Yes | |
| �63.1(a)(11) | Yes | |
| �63.1(a)(12)-(14) | Yes | |
| �63.1(b)(1) | No | �63.1310(a) contains specific applicability criteria. |
| �63.1(b)(2) | Yes | |
| �63.1(b)(3) | No | �63.1310(b) provides documentation requirements for TPPUs not considered affected sources. |
| �63.1(c)(1) | Yes | Subpart JJJ (this table) specifies the applicability of each paragraph in subpart A to subpart JJJ. |
| �63.1(c)(2) | No | Area sources are not subject to subpart JJJ. |
| �63.1(c)(3) | No | [Reserved.]. |
| �63.1(c)(4) | No | [Reserved.]. |
| �63.1(c)(5) | Yes | Except that affected sources are not required to submit notifications that are not required by subpart JJJ. |
| �63.1(c)(6) | Yes | |
| �63.1(d) | No | [Reserved.]. |
| �63.1(e) | Yes | |
| �63.2 | Yes | �63.1312 specifies those subpart A definitions that apply to subpart JJJ. |
| �63.3 | Yes | |
| �63.4(a)(1)-(3) | Yes | |
| �63.4(a)(4) | No | [Reserved.]. |
| �63.4(a)(5) | Yes | |
| �63.4(b) | Yes | |
| �63.4(c) | Yes | |
| �63.5(a)(1) | Yes | Except the terms �source� and �stationary source� should be interpreted as having the same meaning as �affected source.� |
| �63.5(a)(2) | Yes | |
| �63.5(b)(1) | Yes | Except �63.1310(i) defines when construction or reconstruction is subject to new source standards. |
| �63.5(b)(2) | No | [Reserved.]. |
| �63.5(b)(3) | Yes | |
| �63.5(b)(4) | Yes | Except that the Initial Notification and �63.9(b) requirements do not apply. |
| �63.5(b)(5) | Yes | |
| �63.5(b)(6) | Yes | Except that �63.1310(i) defines when construction or reconstruction is subject to new source standards. |
| �63.5(c) | No | [Reserved.] |
| �63.5(d)(1)(i) | Yes | Except that the references to the Initial Notification and �63.9(b)(5) do not apply. |
| �63.5(d)(1)(ii) | Yes | Except that �63.5(d)(1)(ii)(H) does not apply. |
| �63.5(d)(1)(iii) | No | ��63.1335(e)(5) and 63.1331(a)(4) specify Notification of Compliance Status requirements. |
| �63.5(d)(2) | No | |
| �63.5(d)(3) | Yes | Except �63.5(d)(3)(ii) does not apply, and equipment leaks subject to �63.1331 are exempt. |
| �63.5(d)(4) | Yes | |
| �63.5(e) | Yes | |
| �63.5(f)(1) | Yes | |
| �63.5(f)(2) | Yes | Except that where �63.9(b)(2) is referred to, the owner or operator need not comply. |
| �63.6(a) | Yes | |
| �63.6(b)(1) | No | The dates specified in �63.1311(b) apply, instead. |
| �63.6(b)(2) | No | |
| �63.6(b)(3) | No | |
| �63.6(b)(4) | No | |
| �63.6(b)(5) | No | |
| �63.6(b)(6) | No | [Reserved] |
| �63.6(b)(7) | No | |
| �63.6(c)(1) | Yes | Except that �63.1311 specifies the compliance date. |
| �63.6(c)(2) | No | |
| �63.6(c)(3) | No | [Reserved] |
| �63.6(c)(4) | No | [Reserved] |
| �63.6(c)(5) | Yes | |
| �63.6(d) | No | [Reserved] |
| �63.6(e) | Yes | Except as otherwise specified for individual paragraphs. |
| �63.6(e)(1)(i) | No | See �63.1310(j)(4) for general duty requirement. |
| �63.6(e)(1)(ii) | No | |
| �63.6(e)(1)(iii) | Yes | |
| �63.6(e)(2) | Yes | |
| �63.6(e)(3) | No | |
| �63.6(f)(1) | No | |
| �63.6(f)(2) | Yes | Except �63.7(c), as referred to in �63.6(f)(2)(iii)(D), does not apply, and except that �63.6(f)(2)(ii) does not apply to equipment leaks subject to �63.1331. |
| �63.6(f)(3) | Yes | |
| �63.6(g) | Yes | |
| �63.6(h) | No | Subpart JJJ does not require opacity and visible emission standards. |
| �63.6(i)(1) | Yes | |
| �63.6(i)(2) | Yes | |
| �63.6(i)(3) | Yes | |
| �63.6(i)(4)(i)(A) | Yes | |
| �63.6(i)(4)(i)(B) | No | Dates are specified in �63.1311(e) and �63.1335(e)(3)(i). |
| �63.6(i)(4)(ii) | No | |
| �63.6(i)(5)-(14) | Yes | |
| �63.6(i)(15) | No | [Reserved.]. |
| �63.6(i)(16) | Yes | |
| �63.6(j) | Yes | |
| �63.7(a)(1) | Yes | |
| �63.7(a)(2) | No | �63.1335(e)(5) specifies the submittal dates of performance test results for all emission points except equipment leaks; for equipment leaks, compliance demonstration results are reported in the Periodic Reports. |
| �63.7(a)(3) | Yes | |
| �63.7(b) | No | �63.1333(a)(4) specifies notification requirements. |
| �63.7(c) | No | |
| �63.7(d) | Yes | |
| �63.7(e)(1) | No | See �63.1333(a). |
| �63.7(e)(2) | Yes | |
| �63.7(e)(3) | No | Subpart JJJ specifies requirements. |
| �63.7(e)(4) | Yes | |
| �63.7(f) | Yes | Except that �63.144(b)(5)(iii)(A) and (B) shall apply for process wastewater. Also, because a site specific test plan is not required, the notification deadline in �63.7(f)(2)(i) shall be 60 days prior to the performance test, and in �63.7(f)(3), approval or disapproval of the alternative test method shall not be tied to the site specific test plan. |
| �63.7(g) | Yes | Except that the requirements in �63.1335(e)(5) shall apply instead of references to the Notification of Compliance Status report in �63.9(h). In addition, equipment leaks subject to �63.1331 are not required to conduct performance tests. |
| �63.7(h) | Yes | Except �63.7(h)(4)(ii) is not applicable, because the site-specific test plans in �63.7(c)(2) are not required. |
| �63.8(a)(1) | Yes | |
| �63.8(a)(2) | No | |
| �63.8(a)(3) | No | [Reserved] |
| �63.8(a)(4) | Yes | |
| �63.8(b)(1) | Yes | |
| �63.8(b)(2) | No | Subpart JJJ specifies locations to conduct monitoring. |
| �63.8(b)(3) | Yes | |
| �63.8(c)(1) | Yes | |
| �63.8(c)(1)(i) | No | |
| �63.8(c)(1)(ii) | No | |
| �63.8(c)(1)(iii) | No | |
| �63.8(c)(2) | Yes | |
| �63.8(c)(3) | Yes | |
| �63.8(c)(4) | No | �63.1334 specifies monitoring frequency; not applicable to equipment leaks because �63.1331 does not require continuous monitoring systems. |
| �63.8(c)(5)-(8) | No. | |
| �63.8(d) | No. | |
| �63.8(e) | No. | |
| �63.8(f)(1)-(3) | Yes. | |
| �63.8(f)(4)(i) | No | Timeframe for submitting request is specified in �63.1335(f) or (g); not applicable to equipment leaks because �63.1331 (through reference to subpart H) specifies acceptable alternative methods. |
| �63.8(f)(4)(ii) | No | Contents of requests are specified in �63.1335(f) or (g). |
| �63.8(f)(4)(iii) | No. | |
| �63.8(f)(5)(i) | Yes. | |
| �63.8(f)(5)(ii) | No. | |
| �63.8(f)(5)(iii) | Yes. | |
| �63.8(f)(6) | No | Subpart JJJ does not require continuous emission monitors. |
| �63.8(g) | No | Data reduction procedures specified in �63.1335(d) and (h); not applicable to equipment leaks. |
| �63.9(a) | Yes. | |
| �63.9(b) | No | Subpart JJJ does not require an initial notification. |
| �63.9(c) | Yes. | |
| �63.9(d) | Yes. | |
| �63.9(e) | No | �63.1333(a)(4) specifies notification deadline. |
| �63.9(f) | No | Subpart JJJ does not require opacity and visible emission standards. |
| �63.9(g) | No. | |
| �63.9(h) | No | �63.1335(e)(5) specifies Notification of Compliance Status requirements. |
| �63.9(i) | Yes. | |
| �63.9(j) | Yes. | For change in major source status only. |
| �63.9(k) | Yes | Only as specified in �63.9(j). |
| �63.10(a) | Yes. | |
| �63.10(b)(1) | No | �63.1335(a) specifies record retention requirements. |
| �63.10(b)(2) | No | Subpart JJJ specifies recordkeeping requirements. |
| �63.10(b)(3) | No | �63.1310(b) requires documentation of sources that are not affected sources. |
| �63.10(c) | No | �63.1335 specifies recordkeeping requirements. |
| �63.10(d)(1) | Yes. | |
| �63.10(d)(2) | No | �63.1335(e) specifies performance test reporting requirements; not applicable to equipment leaks. |
| �63.10(d)(3) | No | Subpart JJJ does not require opacity and visible emission standards. |
| �63.10(d)(4) | Yes. | |
| �63.10(d)(5) | No | See �63.1335(b)(1)(ii) for malfunction reporting requirements. |
| �63.10(e) | No | �63.1335 specifies reporting requirements. |
| �63.10(f) | Yes. | |
| �63.11 | Yes | �63.11(b) specifies requirements for flares used to comply with provisions of this subpart. �63.1333(e) contains the requirements to conduct compliance demonstrations for flares subject to this subpart. �63.11(c), (d), and (e) specifies requirements for an alternative work practice for equipment leaks. |
| �63.12 | Yes | Except that the authority of �63.1332(i) and the authority of �63.177 (for equipment leaks) shall not be delegated to States. |
| ��63.13-63.15 | Yes. |
[66 FR 36939, July 16, 2001, as amended at 71 FR 20460, Apr. 20, 2006; 73 FR 78214, Dec. 22, 2008; 79 FR 17371, Mar. 27, 2014; 85 FR 73898, Nov. 19, 2020]
Table 2 to Subpart JJJ of Part 63 - Group 1 Storage Vessels at Existing Affected Sources
|
Vessel capacity
(cubic meters) | Vapor pressure a (kilopascals) |
|---|---|
| a Maximum true vapor pressure of total organic HAP at storage temperature. | |
| 75?capacity 151 | ?13.1 |
| 151?capacity | ?5.2 |
[65 FR 38142, June 19, 2000]
Table 3 to Subpart JJJ of Part 63 - Group 1 Storage Vessels at Existing Affected Sources Producing the Listed Thermoplastics
| Thermoplastic | Chemical a | Vessel capacity (cubic meters) | Vapor pressure b (kilopascals) |
|---|---|---|---|
| a Vessel capacity and vapor pressure criteria are specific to the listed chemical or to �all chemicals,� as indicated.
b Maximum true vapor pressure of total organic HAP at storage temperature. c The applicability criteria in Table 2 of this subpart shall be used for chemicals not specifically listed in this table (i.e., Table 3). | |||
| ASA/AMSAN c | styrene/acrylonitrile mixture | ?3.78 | ?0.47 |
| acrylonitrile | ?75.7 | ?1.62 | |
| Polystyrene, continuous processes | all chemicals | <75.7 | ?14.2 |
| ?75.7 | |||
| ?1.9 | |||
| Nitrile c | acrylonitrile | ?13.25 | ?1.8 |
[64 FR 11553, Mar. 9, 1999]
Table 4 to Subpart JJJ of Part 63 - Group 1 Storage Vessels at New Affected Sources
| Vessel capacity (cubic meters) |
Vapor
pressure a (kilopascals) |
|---|---|
| a Maximum true vapor pressure of total organic HAP at storage temperature. | |
| 38 ?capacity <151 | ?13.1 |
| 151 ?capacity | ?0.7 |
Table 5 to Subpart JJJ of Part 63 - Group 1 Storage Vessels at New Affected Sources Producing the Listed Thermoplastics
| Thermoplastic | Chemical a |
Vessel capacity
(cubic meters) | Vapor pressure b (kilopascals) |
|---|---|---|---|
| a Vessel capacity and vapor pressure criteria are specific to the listed chemical, to �all chemicals,� or to �all other chemicals,� as indicated.
b Maximum true vapor pressure of total organic HAP at storage temperature. c The applicability criteria in Table 4 of this subpart shall be used for chemicals not specifically listed in this table (i.e., Table 5). d The control level for the first two sets of applicability criteria are specified in 63.1314 as 90% and 98%, respectively. The control level for the third set of applicability criteria is the HON control level of 95%. | |||
| ASA/AMSAN c | Styrene/ acrylonitrile mixture | ?3.78 | ?0.47 |
| Acrylonitrile | ?75.7 | ?1.62 | |
| SAN, continuous d | All chemicals | ?2,271 | ?0.5 and <0.7 |
| <151 | ?10 | ||
| ?151 | ?0.7 | ||
| Nitrile c | Acrylonitrile | ?13.25 | ?1.8 |
| Polystyrene, continuous processes | All chemicals | ?19.6 and <45.4 | ?7.48 |
| ?45.4 and <109.8 | ?0.61 | ||
| ?109.8 | ?0.53 | ||
| ABS, continuous mass | Styrene | ?45.43 | ?0.078 |
| All other chemicals | ?38 and <45.43 | ?13.1 | |
| ?45.43 | ?0.53 | ||
[64 FR 11553, Mar. 9, 1999]
Table 6 to Subpart JJJ of Part 63 - Known Organic HAP Emitted From the Production of Thermoplastic Products
| Thermoplastic product/Subcategory |
Organic HAP/chemical name
(CAS No.) | |||||||
|---|---|---|---|---|---|---|---|---|
| Acet-aldehyde (75-07-0) | Acrylo-nitrile (107-13-1) | 1,3 Buta-diene (106-99-0) | 1,4-Dioxane (123-91-1) | Ethylene Glycol (107-21-1) | Methanol (67-56-1) | Methyl metha-crylate (80-62-6) | Styrene (100-42-5) | |
|
CAS No. = Chemical Abstract Service Number.
ABS = Acrylonitrile butadiene styrene resin. ASA/AMSAN = Acrylonitrile styrene resin/alpha methyl styrene acrylonitrile resin. EPS = expandable polystyrene resin. MABS = methyl methacrylate acrylonitrile butadiene styrene resin. PET = poly(ethylene terephthalate) resin. SAN = styrene acrylonitrile resin. MBS = methyl methacrylate butadiene styrene resin. | ||||||||
| ABS latex | ? | ? | ? | |||||
| ABS using a batch emulsion process | ? | ? | ? | |||||
| ABS using a batch suspension process | ? | ? | ? | |||||
| ABS using a continuous emulsion process | ? | ? | ? | |||||
| ABS using a continuous mass process | ? | ? | ? | |||||
| ASA/AMSAN | ? | ? | ||||||
| EPS | ? | |||||||
| MABS | ? | ? | ? | |||||
| MBS | ? | ? | ? | |||||
| Nitrile resin | ? | |||||||
| PET using a batch dimethyl terephthalate process | ? | ? | ? | ? | ||||
| PET using a batch terephthalic acid process | ? | ? | ? | |||||
| PET using a continuous dimethyl terephthalate process | ? | ? | ? | ? | ||||
| PET using a continuous terephthalic acid process | ? | ? | ? | |||||
| PET using a continuous terephthalic acid high viscosity multiple end finisher process | ? | ? | ? | |||||
| Polystyrene resin using a batch process | ? | |||||||
| Polystyrene resin using a continuous process | ? | |||||||
| SAN using a batch process | ? | ? | ||||||
| SAN using a continuous process | ? | ? | ||||||
[66 FR 36942, July 16, 2001]
Table 7 to Subpart JJJ of Part 63 - Group 1 Batch Process Vents and Aggregate Batch Vent Streams - Monitoring, Recordkeeping, and Reporting Requirements
| Control device | Parameters to be monitored | Recordkeeping and reporting requirements for monitored parameters |
|---|---|---|
| a Monitor may be installed in the firebox or in the ductwork immediately downstream of the firebox before any substantial heat exchange is encountered.
b �Continuous records� is defined in �63.111. c NCS = Notification of Compliance Status described in �63.1335(e)(5). d PR = Periodic Reports described in �63.1335(e)(6). e The periodic reports shall include the duration of periods when monitoring data are not collected as specified in �63.1335(e)(6)(iii)(C). f Alternatively, these devices may comply with the organic monitoring device provisions listed at the end of this table. | ||
| Thermal incinerator | Firebox temperature a | 1. Continuous records as specified in �63.1326(e)(1). b |
| 2. Record and report the average firebox temperature measured during the performance test - NCS. c | ||
| 3. Record the batch cycle daily average firebox temperature as specified in �63.1326(e)(2). | ||
| 4. Report all batch cycle daily average temperatures that are below the minimum operating value established in the NCS or operating permit and all instances when monitoring data are not collected - PR. d e | ||
| Catalytic incinerator | Temperature upstream and downstream of the catalyst bed |
1. Continuous records as specified in �63.1326(e)(1).
b 2. Record and report the average upstream and bed downstream temperatures and the average temperature difference across the catalyst bed measured during the performance test - NCS. c 3. Record the batch cycle daily average upstream temperature and temperature difference across catalyst bed as specified in �63.1326(e)(2). 4. Report all batch cycle daily average upstream temperatures that are below the minimum upstream value established in the NCS or operating permit - PR. d e 5. Report all batch cycle daily average temperature differences across the catalyst bed that are below the minimum difference established in the NCS or operating permit - PR. d e 6. Report all instances when monitoring data are not collected. e |
| Boiler or Process Heater with a design heat input capacity less than 44 megawatts and where the batch process vents or aggregate batch vent streams are not introduced with or used as the primary fuel | Firebox temperature a |
1. Continuous records as specified in �63.1326(e)(1).
b 2. Record and report the average firebox temperature measured during the performance test - NCS. c 3. Record the batch cycle daily average firebox temperature as specified in �63.1326(e)(2). d 4. Report all batch cycle daily average temperatures that are below the minimum operating value established in the NCS or operating permit and all instances when monitoring data are not collected - PR. d e |
| Flare | Presence of a flame at the pilot light | 1. Hourly records of whether the monitor was continuously operating during batch emission episodes, or portions thereof, selected for control and whether a flame was continuously present at the pilot light during said periods. |
| 2. Record and report the presence of a flame at the pilot light over the full period of the compliance determination - NCS. c | ||
| 3. Record the times and durations of all periods during batch emission episodes, or portions thereof, selected for control when all flames at the pilot light of a flare are absent or the monitor is not operating. | ||
| 4. Report the times and durations of all periods during batch emission episodes, or portions thereof, selected for control when all flames at the pilot light of a flare are absent - PR. d | ||
| Scrubber for halogenated batch process vents or aggregate batch vent strreams (Note: Controlled by a combustion device other than a flare) | a. pH of scrubber effluent, and |
1. Continuous records as specified in �63.1326(e)(1).
b 2. Record and report the average pH of the scrubber effluent measured during the performance test - NCS. c 3. Record the batch cycle daily average pH of the scrubber effluent as specified in �63.1326(e)(2). 4. Report all batch cycle daily average pH values of the scrubber effluent that are below the minimum operating value established in the NCS or operating permit and all instances when monitoring data are not collected - PR. d e |
| b. Scrubber liquid and gas flow rates | 1. Records as specified in �63.1326(e)(1). b | |
| 2. Record and report the scrubber liquid/gas ratio averaged over the full period of the performance test - NCS. c | ||
| 3. Record the batch cycle daily average scrubber liquid/gas ratio as specified in �63.1326(e)(2). | ||
| 4. Report all batch cycle daily average scrubber liquid/gas ratios that are below the minimum value established in the NCS or operating permit and all instances when monitoring data are not collected - PR. d e | ||
| Absorber f | a. Exit temperature of the absorbing liquid, and |
1. Continuous records as specified in �63.1326(e)(1).
b 2. Record and report the average exit temperature of the absorbing liquid measured during the performance test - NCS. c 3. Record the batch cycle daily average exit temperature of the absorbing liquid as specified in �63.1326(e)(2) for each batch cycle. 4. Report all the batch cycle daily average exit temperatures of the absorbing liquid that are above the maximum operating value established in the NCS or operating permit and all instances when monitoring data are not collected - PR. d e |
| b. Exit specific gravity for the absorbing liquid |
1. Continuous records as specified in �63.1326(e)(1).
b 2. Record and report the average exit specific gravity measured during the performance test - NCS. c 3. Record the batch cycle daily average exit specific gravity as specified in �63.1326(e)(2). 4. Report all batch cycle daily average exit specific gravity values that are above the maximum operating value established in the NCS or operating permit and all instances when monitoring data are not collected - PR. d e | |
| Condenser f | Exit (product side) temperature | 1. Continuous records as specified in �63.1326(e)(1). b |
| 2. Record and report the average exit temperature measured during the performance test - NCS. c | ||
| 3. Record the batch cycle daily average exit temperature as specified in �63.1326(e)(2). | ||
| 4. Report all batch cycle daily average exit temperatures that are above the maximum operating value established in the NCS or operating permit and all instances when monitoring data are not collected - PR. d e | ||
| Carbon Adsorber f | a. Total regeneration steam flow or nitrogen flow, or pressure (gauge or absolute) during carbon bed regeneration cycle(s), and |
1. Record the total regeneration steam flow or nitrogen flow, or pressure for each carbon bed regeneration cycle.
2. Record and report the total regeneration steam flow or nitrogen flow, or pressure during carbon bed regeneration cycle measured during the performance test - NCS. c 3. Report all carbon bed regeneration cycles when the total regeneration steam flow or nitrogen flow, or pressure is above the maximum value established in the NCS or operating permit - PR. d e |
| b. Temperature of the carbon bed after regeneration and within 15 minutes of completing any cooling cycle(s) | 1. Record the temperature of the carbon bed after each regeneration and within 15 minutes of completing any cooling cycle(s). | |
| 2. Record and report the temperature of the carbon bed after each regeneration and within 15 minutes of completing any cooling cycle(s) measured during the performance test - NCS. c | ||
| 3. Report all carbon bed regeneration cycles when the temperature of the carbon bed after regeneration, or within 15 minutes of completing any cooling cycle(s), is above the maximum value established in the NCS or operating permit - PR. d e | ||
| All control devices | a. Diversion to the atmosphere from the control device or | 1. Hourly records of whether the flow indicator was operating during batch emission episodes, or portions thereof, selected for control and whether a diversion was detected at any time during said periods as specified in �63.1326(e)(3). |
| 2. Record and report the times of all periods during batch emission episodes, or portions thereof, selected for control when emissions are diverted through a bypass line or the flow indicator is not operating - PR. d | ||
| b. Monthly inspection of sealed valves. | 1. Records that monthly inspections were performed as specified in �63.1326(e)(4)(i). | |
| 2. Record and report all monthly inspections that show the valves are in the diverting position or that a seal has been broken - PR. d | ||
| Absorber, condenser, and carbon Adsorber (as an alternative to the requirements previously presented in this table) | Concentration level or reading indicated by an organic monitoring device at the outlet of the control device |
1. Continuous records as specified in �63.1326(e)(1).
b 2. Record and report the average batch vent concentration level or reading measured during the performance test - NCS. c 3. Record the batch cycle daily average concentration level or reading as specified �63.1326(e)(2). 4. Report all batch cycle daily average concentration levels or readings that are above the maximum value established in the NCS or operating permit and all instances when monitoring data are not collected - PR. d e |
[66 FR 36939, July 16, 2001]
Table 8 to Subpart JJJ of Part 63 - Operating Parameters for Which Levels Are Required To Be Established for Continuous and Batch Process Vents and Aggregate Batch Vent Streams
| Device | Parameters to be monitored | Established operating parameter(s) |
|---|---|---|
| a 25 to 50 mm (absolute) is a common pressure level obtained by pressure swing absorbers.
b Concentration is measured instead of an operating parameter. | ||
| Thermal incinerator | Firebox temperature | Minimum temperature. |
| Catalytic incinerator | Temperature upstream and downstream of the catalyst bed | Minimum upstream temperature; and minimum temperature difference across the catalyst bed. |
| Boiler or process heater | Firebox temperature | Minimum temperature. |
| Scrubber for halogenated vents | pH of scrubber effluent; and scrubber liquid and gas flow rates [�63.1324(b)(4)(ii)] | Minimum pH; and minimum liquid/gas ratio. |
| Absorber | Exit temperature of the absorbing liquid; and exit specific gravity of the absorbing liquid | Maximum temperature; and maximum specific gravity. |
| Condenser | Exit temperature | Maximum temperature. |
| Carbon adsorber | Total regeneration steam flow or nitrogen flow, or pressure (gauge or absolute) a during carbon bed regeneration cycle; and temperature of the carbon bed after regeneration (and within 15 minutes of completing any cooling cycle(s)) | Maximum flow or pressure; and maximum temperature. |
| Other devices (or as an alternate to the requirements previously presented in this table) b | HAP concentration level or reading at outlet of device | Maximum HAP concentration or reading. |
[65 FR 38145, June 19, 2000]
Table 9 to Subpart JJJ of Part 63 - Routine Reports Required by This Subpart
| Reference | Description of report | Due date |
|---|---|---|
| a There may be two versions of this report due at different times; one for equipment subject to �63.1331 and one for other emission points subject to this subpart.
b There will be two versions of this report due at different times; one for equipment subject to �63.1331 and one for other emission points subject to this subpart. c Note that the TPPU remains subject to this subpart until the notification under �63.1310(f)(3)(i) is made. | ||
| �63.1335(b) and subpart A | Refer to Table 1 and subpart A | Refer to subpart A. |
| �63.1335(e)(3) | Precompliance Report a | Existing affected sources - December 19, 2000. New affected sources - with application for approval of construction or reconstruction. |
| �63.1335(e)(4) | Emissions Averaging Plan | September 19, 2000. |
| �63.1335(e)(4)(iv) | Updates to Emissions Averaging Plan | 120 days prior to making the change necessitating the update. |
| �63.1335(e)(5) | Notification of Compliance Status b | Within 150 days after the compliance date. |
| �63.1335(e)(6) | Periodic Reports | Semiannually, no later than 60 days after the end of each 6-month period. See �63.1335(e)(6)(i) for the due date for the first report. |
| �63.1335(e)(6)(xi) | Quarterly reports for Emissions Averaging | No later than 60 days after the end of each quarter. First report is due with the Notification of Compliance Status. |
| �63.1335(e)(6)(xii) | Quarterly reports upon request of the Administrator | No later than 60 days after the end of each quarter. |
| �63.1335(e)(7)(i) | Storage Vessels Notification of Inspection | At least 30 days prior to the refilling of each storage vessel or the inspection of each storage vessel. |
| �63.1335(e)(7)(ii) | Requests for Approval of a Nominal Control Efficiency for Use in Emissions Averaging | Initial submittal is due with the Emissions Averaging Plan specified in �63.1335(e)(4)(ii); later submittals are made at the discretion of the owner or operator as specified in �63.1335(e)(7)(ii) (B). |
| �63.1335(e)(7)(iii) | Notification of Change in the Primary Product | 1. For notification under �63.1310(f)(3)(ii) - notification submittal date at the discretion of the owner or operator. c |
| 2. For notification under �63.1310(f)(4)(ii) - within 6 months of making the determination. | ||
[66 FR 36939, July 16, 2001]
Source: 61 FR 48229, Sept. 12, 1996, unless otherwise noted.
['Air Programs']
['Hazardous Air Pollutants']
UPGRADE TO CONTINUE READING
J. J. Keller is the trusted source for DOT / Transportation, OSHA / Workplace Safety, Human Resources, Construction Safety and Hazmat / Hazardous Materials regulation compliance products and services. J. J. Keller helps you increase safety awareness, reduce risk, follow best practices, improve safety training, and stay current with changing regulations.
Copyright 2026 J. J. Keller & Associate, Inc. For re-use options please contact copyright@jjkeller.com or call 800-558-5011.
