...
(a) Existing affected sources. For an existing affected source, you must meet the requirements of paragraphs (a)(1) through (3) of this section.
(1) All emission capture systems, add-on control devices, and CPMS you use to demonstrate compliance must be installed and operating no later than the applicable compliance date specified in §63.4083. Except for solvent recovery systems for which you conduct liquid-liquid material balances according to §63.4161(h), you must conduct a performance test of each capture system and add-on control device according to the procedures in §§63.4164, 63.4165, and 63.4166, and establish the operating limits required by §63.4092 no later than the compliance date specified in §63.4083. For a solvent recovery system for which you conduct liquid-liquid material balances according to §63.4161(h), you must initiate the first material balance no later than the compliance date specified in §63.4083.
(2) You must develop and begin implementing the work practice plan required by §63.4093 no later than the compliance date specified in §63.4083.
(3) You must complete the compliance demonstration for the initial compliance period according to the requirements of §63.4161. The initial compliance period begins on the applicable compliance date specified in §63.4083 and ends on the last day of the first full month after the compliance date. If the compliance date occurs on any day other than the first day of a month, then the initial compliance period extends through the end of that month plus the next month. The initial compliance demonstration includes the results of emission capture system and add-on control device performance tests conducted according to §§63.4164, 63.4165, and 63.4166; results of liquid-liquid material balances conducted according to §63.4161(h); calculations according to §63.4161 and supporting documentation showing that, during the initial compliance period, the organic HAP emission rate was equal to or less than the emission limit in §63.4090(a); the operating limits established during the performance tests and the results of the continuous parameter monitoring required by §63.4168; and documentation of whether you developed and implemented the work practice plan required by §63.4093.
(b) New and reconstructed affected sources. For a new or reconstructed affected source, you must meet the requirements of paragraphs (b)(1) through (4) this section.
(1) All emission capture systems, add-on control devices, and CPMS you use to demonstrate compliance must be installed and operating no later than the applicable compliance date specified in §63.4083. Except for solvent recovery systems for which you conduct liquid-liquid material balances according to §63.4161(h), you must conduct a performance test of each capture system and add-on control device according to the procedures in §§63.4164, 63.4165, and 63.4166, and establish the operating limits required by §63.4092 no later than 180 days after the applicable compliance date specified in §63.4083. For a solvent recovery system for which you conduct liquid-liquid material balances according to §63.4161(h), you must initiate the first material balance no later than 180 days after the applicable compliance date specified in §63.4083.
(2) You must develop and begin implementing the work practice plan required by §63.4093 no later than the compliance date specified in §63.4083.
(3) You must complete the compliance demonstration for the initial compliance period according to the requirements of §63.4161. The initial compliance period begins on the applicable compliance date specified in §63.4083 and ends on the last day of the first full month after the compliance date, or the date you conduct the performance tests of the emission capture systems and add-on control devices, or initiate the first liquid-liquid material balance for a solvent recovery system; whichever is later. The initial compliance demonstration includes the results of emission capture system and add-on control device performance tests conducted according to §§63.4164, 63.4165, and 63.4166; results of liquid-liquid material balances conducted according to §63.4161(h); calculations according to §63.4161 and supporting documentation showing that, during the initial compliance period, the organic HAP emission rate was equal to or less than the emission limit in §63.4090(b); the operating limits established during the performance tests and the results of the continuous parameter monitoring required by §63.4168; and documentation of whether you developed and implemented the work practice plan required by §63.4093.
(4) You do not need to comply with the operating limits for the emission capture system and add-on control device required by §63.4092 until after you have completed the performance tests specified in paragraph (b)(1) of this section. Instead, you must maintain a log detailing the operation and maintenance of the emission capture system, add-on control device, and continuous parameter monitors during the period between the compliance date and the performance test. You must begin complying with the operating limits for your affected source on the date you complete the performance tests specified in paragraph (b)(1) of this section. This requirement does not apply to solvent recovery systems for which you conduct liquid-liquid material balances according to §63.4161(h).
[67 FR 48262, July 23, 2002, as amended at 84 FR 9616, Mar. 15, 2019]
You may use the emission rate with add-on controls option for any coating operation, for any group of coating operations in the affected source, or for all of the coating operations in the affected source. You may include both controlled and uncontrolled coating operations in a group for which you use this option. You must use either the compliant material option or the emission rate without add-on controls option for any coating operation(s) in the affected source for which you do not use this option. To demonstrate initial compliance, the coating operation(s) for which you use the emission rate with add-on controls option must meet the applicable emission limit in §63.4090 and the work practice standards required in §63.4093; and each controlled coating operation must meet the operating limits required in §63.4092. You must meet all the requirements of this section to demonstrate initial compliance with the emission limitations. When calculating the organic HAP emission rate according to this section, do not include any coatings, thinners, or cleaning materials used on coating operations for which you use the compliant material option or the emission rate without add-on controls option. You do not need to redetermine the mass of organic HAP in coatings, thinners, or cleaning materials that have been reclaimed onsite and reused in the coating operation(s) for which you use the emission rate with add-on controls option.
(a) Except as provided in §63.4160(b)(4) and except for solvent recovery systems for which you conduct liquid-liquid material balances according to the requirements of §63.4161(h), you must establish and demonstrate continuous compliance during the initial compliance period with the operating limits required by §63.4092, using the procedures specified in §§63.4167 and 63.4168.
(b) You must develop, implement, and document your implementation of the work practice plan required by §63.4093 during the initial compliance period as specified in §63.4130.
(c) You must follow the procedures in paragraphs (d) through (l) of this section to demonstrate compliance with the applicable emission limit in §63.4090.
(d) Determine the mass fraction of organic HAP, density, volume used, and volume fraction of coating solids. Follow the procedures specified in §63.4151(a) through (d) to determine the mass fraction of organic HAP, density, and volume of each coating, thinner, and cleaning material used during the compliance period, and the volume fraction of coating solids for each coating used during the compliance period.
(e) Calculate the total mass of organic HAP emissions before add-on controls. Using Equation 1 of §63.4151, calculate the total mass of organic HAP emissions before add-on controls from all coatings, thinners, and cleaning materials used during the compliance period in the coating operation or group of coating operations for which you use the emission rate with add-on controls option.
(f) Calculate the organic HAP emission reduction for each controlled coating operation. Determine the mass of organic HAP emissions reduced for each controlled coating operation during the compliance period. The emissions reduction determination quantifies the total organic HAP emissions that pass through the emission capture system and are destroyed or removed by the add-on control device. Use the procedures in paragraph (g) of this section to calculate the mass of organic HAP emissions reduction for each controlled coating operation using an emission capture system and add-on control device other than a solvent recovery system for which you conduct liquid-liquid material balances. For each controlled coating operation using a solvent recovery system for which you conduct a liquid-liquid material balance, use the procedures in paragraph (h) of this section to calculate the organic HAP emissions reduction.
(g) Calculate the organic HAP emissions reduction for controlled coating operations not using liquid-liquid material balance. For each controlled coating operation using an emission capture system and add-on control device other than a solvent recovery system for which you conduct liquid-liquid material balances, calculate organic HAP emissions reduction, using Equation 1 of this section, by applying the emission capture system efficiency and add-on control device efficiency to the mass of organic HAP contained in the coatings, thinners, and cleaning materials that are used in the coating operation served by the emission capture system and add-on control device during the compliance period. For any period of time a deviation specified in §63.4163(c) or (d) occurs in the controlled coating operation, you must assume zero efficiency for the emission capture system and add-on control device. For the purposes of completing the compliance calculations, you must treat the materials used during a deviation on a controlled coating operation as if they were used on an uncontrolled coating operation for the time period of the deviation. You must not include those materials in the calculations of organic HAP emissions reduction in Equation 1 of this section.

Where:
HC = mass of organic HAP emissions reduction for the controlled coating operation during the compliance period, kg.
AI = total mass of organic HAP in the coatings used in the controlled coating operation, kg, as calculated in Equation 1A of this section.
BI = total mass of organic HAP in the thinners used in the controlled coating operation, kg, as calculated in Equation 1B of this section.
CI = total mass of organic HAP in the cleaning materials used in the controlled coating operation during the compliance period, kg, as calculated in Equation 1C of this section.
CE = capture efficiency of the emission capture system vented to the add-on control device, percent. Use the test methods and procedures specified in §§63.4164 and 63.4165 to measure and record capture efficiency.
DRE = organic HAP destruction or removal efficiency of the add-on control device, percent. Use the test methods and procedures in §§63.4164 and 63.4166 to measure and record the organic HAP destruction or removal efficiency.
(1) Calculate the kg of organic HAP in the coatings used in the controlled coating operation, using Equation 1A of this section:

Where:
AI = mass of organic HAP in the coatings used in the controlled coating operation, kg.
Volc,i = total volume of coating, i, used, liters.
Dc,i = density of coating, i, kg per liter.
Wc,i = mass fraction of organic HAP in coating, i, kg per kg.
m = number of different coatings used.
(2) Calculate the kg of organic HAP in the thinners used in the controlled coating operation, using Equation 1B of this section:

Where:
BI = mass of organic HAP in the thinners used in the controlled coating operation, kg.
Volt,j = total volume of thinner, j, used, liters.
Dt,j = density of thinner, j, kg per liter.
Wt,j = mass fraction of organic HAP in thinner, j, kg per kg.
n = number of different thinners used.
(3) Calculate the kg of organic HAP in the cleaning materials used in the controlled coating operation during the compliance period, using Equation 1C of this section:

Where:
CI = mass of organic HAP in the cleaning materials used in the controlled coating operation, kg.
Vols,k = total volume of cleaning material, k, used, liters.
Ds,k = density of cleaning material, k, kg per liter.
Ws,k = mass fraction of organic HAP in cleaning material, k, kg per kg.
p = number of different cleaning materials used.
(h) Calculate the organic HAP emissions reduction for controlled coating operations using liquid-liquid material balance. For each controlled coating operation using a solvent recovery system for which you conduct liquid-liquid material balances, calculate the organic HAP emissions reduction by applying the volatile organic matter collection and recovery efficiency to the mass of organic HAP contained in the coatings, thinners, and cleaning materials that are used in the coating operation controlled by the solvent recovery system during the compliance period. Perform a liquid-liquid material balance for each compliance period as specified in paragraphs (h)(1) through (6) of this section. Calculate the mass of organic HAP emission reduction by the solvent recovery system as specified in paragraph (h)(7) of this section.
(1) For each solvent recovery system, install, calibrate, maintain, and operate according to the manufacturer's specifications, a device that indicates the cumulative amount of volatile organic matter recovered by the solvent recovery system each compliance period. The device must be initially certified by the manufacturer to be accurate to within ±2.0 percent of the mass of volatile organic matter recovered.
(2) For each solvent recovery system, determine the mass of volatile organic matter recovered for the compliance period, kg, based on measurement with the device required in paragraph (h)(1) of this section.
(3) Determine the mass fraction of volatile organic matter for each coating used in the coating operation controlled by the solvent recovery system during the compliance period, kg volatile organic matter per kg coating. You may determine the volatile organic matter mass fraction using Method 24 in appendix A-7 of part 60, ASTM D2369-10 (R2015), “Test Method for Volatile Content of Coatings” (incorporated by reference, see §63.14), or an EPA approved alternative method. Alternatively, you may use information provided by the manufacturer or supplier of the coating. In the event of any inconsistency between information provided by the manufacturer or supplier and the results of Method 24, ASTM D2369-10 (R2015), or an approved alternative method, the test method results will govern.
(4) Determine the density of each coating, thinner, and cleaning material used in the coating operation controlled by the solvent recovery system during the compliance period, kg per liter, according to §63.4151(c).
(5) Measure the volume of each coating, thinner, and cleaning material used in the coating operation controlled by the solvent recovery system during the compliance period, liters.
(6) Calculate the solvent recovery system's volatile organic matter collection and recovery efficiency, using Equation 2 of this section:

Where:
RV = volatile organic matter collection and recovery efficiency of the solvent recovery system during the compliance period, percent.
MVR = mass of volatile organic matter recovered by the solvent recovery system during the compliance period, kg.
Voli = volume of coating, i, used in the coating operation controlled by the solvent recovery system during the compliance period, liters.
Di = density of coating, i, kg coating per liter coating.
CVi = mass fraction of volatile organic matter for coating, i, kg volatile organic matter per kg coating.
Volj = volume of thinner, j, used in the coating operation controlled by the solvent recovery system during the compliance period, liters.
Dj = density of thinner, j, kg thinner per liter thinner.
Volk = volume of cleaning material, k, used in the coating operation controlled by the solvent recovery system during the compliance period, liters.
Dk = density of cleaning material, k, kg cleaning material per liter cleaning material
m = number of different coatings used in the coating operation controlled by the solvent recovery system during the compliance period.
n = number of different thinners used in the coating operation controlled by the solvent recovery system during the compliance period.
p = number of different cleaning materials used in the coating operation controlled by the solvent recovery system during the compliance period.
(7) Calculate the mass of organic HAP emissions reduction for the coating operation controlled by the solvent recovery system during the compliance period, using Equation 3 of this section:

Where:
HCSR = mass of organic HAP emissions reduction for the coating operation controlled by the solvent recovery system using a liquid-liquid material balance during the compliance period, kg.
AI = total mass of organic HAP in the coatings used in the coating operation controlled by the solvent recovery system, kg, calculated using Equation 1A of this section.
BI = total mass of organic HAP in the thinners used in the coating operation controlled by the solvent recovery system, kg, calculated using Equation 1B of this section.
CI = total mass of organic HAP in the cleaning materials used in the coating operation controlled by the solvent recovery system, kg, calculated using Equation 1C of this section.
RV = volatile organic matter collection and recovery efficiency of the solvent recovery system, percent, from Equation 2 of this section.
(i) [Reserved]
(j) Calculate the total volume of coating solids used. Determine the total volume of coating solids used, liters, which is the combined volume of coating solids for all the coatings used during the compliance period, using Equation 2 of §63.4151.
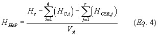
(k) Calculate the organic HAP emission rate. Determine the organic HAP emission rate to the atmosphere, kg organic HAP per liter coating solids used during the compliance period, using Equation 4 of this section.

Where:
HHAP = organic HAP emission rate to the atmosphere during the compliance period, kg organic HAP per liter coating solids used.
He = total mass of organic HAP emissions before add-on controls from all the coatings, thinners, and cleaning materials used during the compliance period, kg, determined according to paragraph (e) of this section.
HC,i = total mass of organic HAP emissions reduction for controlled coating operation, i, during the compliance period, kg, from Equation 1 of this section.
HCSR,j = total mass of organic HAP emissions reduction for controlled coating operation, j, during the compliance period, kg, from Equation 3 of this section.
Vst = total volume of coating solids used during the compliance period, liters, from Equation 2 of §63.4151.
q = number of controlled coating operations except those controlled with a solvent recovery system.
r = number of coating operations controlled with a solvent recovery system.
(l) To demonstrate initial compliance with the emission limit, calculated using Equation 4 of this section, must be less than or equal to the applicable emission limit in §63.4090. You must keep all records as required by §§63.4130 and 63.4131. As part of the Notification of Compliance Status required by §63.4110, you must identify the coating operation(s) for which you used the emission rate with add-on controls option and submit a statement that the coating operation(s) was (were) in compliance with the emission limitations during the initial compliance period because the organic HAP emission rate was less than or equal to the applicable emission limit in §63.4090, and you achieved the operating limits required by §63.4092 and the work practice standards required by §63.4093.
[67 FR 48262, July 23, 2002, as amended at 84 FR 9616, Mar. 15, 2019]
(a) To demonstrate continuous compliance with the applicable emission limit in §63.4090, the organic HAP emission rate for each compliance period determined according to the procedures in §63.4161 must be equal to or less than the applicable emission limit in §63.4090. Each month following the initial compliance period described in §63.4160 is a compliance period.
(b) If the organic HAP emission rate for any compliance period exceeded the applicable emission limit in §63.4090, this is a deviation from the emission limitation for that compliance period and must be reported as specified in §§63.4110(b)(6) and 63.4120(g).
(c) You must demonstrate continuous compliance with each operating limit required by §63.4092 that applies to you as specified in Table 1 to this subpart, and you must conduct periodic performance tests as specified in paragraph (c)(3) of this section.
(1) If an operating parameter is out of the allowed range specified in Table 1 to this subpart, this is a deviation from the operating limit that must be reported as specified in §§63.4110(b)(6) and 63.4120(g).
(2) If an operating parameter deviates from the operating limit specified in Table 1 to this subpart, then you must assume that the emission capture system and add-on control device were achieving zero efficiency during the time period of the deviation. For the purposes of completing the compliance calculations specified in §63.4161, you must treat the materials used during a deviation on a controlled coating operation as if they were used on an uncontrolled coating operation for the time period of the deviation. You must not include those materials in the calculation of organic HAP emissions reductions in Equation 1 of §63.4161.
(3) Except for solvent recovery systems for which you conduct liquid-liquid material balances according to §63.4161(h), you must conduct according to the procedures in §§63.4164, 63.4165, and 63.4166 periodic performance tests of each capture system and add-on control device used to demonstrate compliance, and you must establish the operating limits required by §63.4092. You must conduct the first periodic performance test and establish the operating limits required by §63.4092 before March 15, 2022, unless you are already required to complete periodic performance tests as a requirement of renewing your facility's operating permit under 40 CFR part 70 or 40 CFR part 71 and have conducted a performance test on or after March 15, 2017. Thereafter you must conduct a performance test no later than 5 years following the previous performance test. Operating limits must be confirmed or reestablished during each performance test.
(d) You must meet the requirements for bypass lines in §63.4168(b). If any bypass line is opened and emissions are diverted to the atmosphere when the coating operation is running, this is a deviation that must be reported as specified in §§63.4110(b)(6) and 63.4120(g). For the purposes of completing the compliance calculations specified in §63.4161, you must treat the materials used during a deviation on a controlled coating operation as if they were used on an uncontrolled coating operation for the time period of the deviation. You must not include those materials in the calculation of organic HAP emissions reductions in Equation 1 of §63.4161.
(e) You must demonstrate continuous compliance with the work practice standards in §63.4093. If you did not develop a work practice plan, did not implement the plan, or did not keep the records required by §63.4130(k)(8), this is a deviation from the work practice standards that must be reported as specified in §§63.4110(b)(6) and 63.4120(g).
(f) As part of each semiannual compliance report required in §63.4120, you must submit a statement that you were in compliance with the emission limitations during the reporting period because the organic HAP emission rate for each compliance period was less than or equal to the applicable emission limit in §63.4090, and you achieved the operating limits required by §63.4092 and the work practice standards required by §63.4093 during each compliance period.
(g) [Reseved]
(h) Before September 12, 2019, consistent with §§63.6(e) and 63.7(e)(1), deviations that occur during a period of startup, shutdown, or malfunction of the emission capture system, add-on control device, or coating operation that may affect emission capture or control device efficiency are not violations if you demonstrate to the Administrator's satisfaction that you were operating in accordance with §63.6(e). The Administrator will determine whether deviations that occur during a period of startup, shutdown, or malfunction are violations according to the provisions in §63.6(e). On and after September 12, 2019, as specified in §63.4100(b), at all times, the owner or operator must operate and maintain any affected source, including associated air pollution control equipment and monitoring equipment, in a manner consistent with safety and good air pollution control practices for minimizing emissions, and determination of whether a source is operating in compliance with operation and maintenance requirements will be based on information available to the Administrator.
(i) [Reserved]
(j) You must maintain records as specified in §§63.4130 and 63.4131.
[67 FR 48262, July 23, 2002, as amended at 71 FR 20465, Apr. 20, 2006; 84 FR 9617, Mar. 15, 2019]
(a) You must conduct each performance test required by §63.4160 according to the requirements in this section unless you obtain a waiver of the performance test according to the provisions in §63.7(h).
(1) Representative coating operation operating conditions. You must conduct the performance test under representative operating conditions for the coating operation. Operations during periods of startup, shutdown, or nonoperation do not constitute representative conditions for purposes of conducting a performance test. The owner or operator may not conduct performance tests during periods of malfunction. You must record the process information that is necessary to document operating conditions during the test and explain why the conditions represent normal operation. Upon request, you must make available to the Administrator such records as may be necessary to determine the conditions of performance tests.
(2) Representative emission capture system and add-on control device operating conditions. You must conduct the performance test when the emission capture system and add-on control device are operating at a representative flow rate, and the add-on control device is operating at a representative inlet concentration. You must record information that is necessary to document emission capture system and add-on control device operating conditions during the test and explain why the conditions represent normal operation.
(b) You must conduct each performance test of an emission capture system according to the requirements in §63.4165 and of an add-on control device according to the requirements in §63.4166.
(c) The performance test to determine add-on control device organic HAP destruction or removal efficiency must consist of three runs as specified in §63.7(e)(3) and each run must last at least 1 hour.
[67 FR 48262, July 23, 2002, as amended at 84 FR 9617, Mar. 15, 2019]
You must use the procedures and test methods in this section to determine capture efficiency as part of the performance test required by §63.4160.
(a) You may assume the capture system efficiency is 100 percent if both of the conditions in paragraphs (a)(1) and (2) of this section are met:
(1) The capture system meets the criteria in Method 204 of appendix M to 40 CFR part 51 for a PTE and directs all the exhaust gases from the enclosure to an add-on control device.
(2) All coatings, thinners, and cleaning materials used in the coating operation are applied within the capture system; coating solvent flash-off and coating, curing, and drying occurs within the capture system and the removal or evaporation of cleaning materials from the surfaces they are applied to occurs within the capture system. For example, this criterion is not met if parts enter the open shop environment when being moved between a spray booth and a curing oven.
(b) If the capture system does not meet both of the criteria in paragraphs (a)(1) and (2) of this section, then you must use one of the three protocols described in paragraphs (c), (d), and (e) of this section to measure capture efficiency. The capture efficiency measurements use TVH capture efficiency as a surrogate for organic HAP capture efficiency. For the protocols in paragraphs (c) and (d) of this section, the capture efficiency measurement must consist of three test runs. Each test run must be at least 3 hours duration or the length of a production run, whichever is longer, up to 8 hours. For the purposes of this test, a production run means the time required for a single part to go from the beginning to the end of production which includes surface preparation activities and drying or curing time.
(c) Liquid-to-uncaptured-gas protocol using a temporary total enclosure or building enclosure. The liquid-to-uncaptured-gas protocol compares the mass of liquid TVH in materials used in the coating operation, to the mass of TVH emissions not captured by the emission capture system. Use a temporary total enclosure or a building enclosure and the procedures in paragraphs (c)(1) through (6) of this section to measure emission capture system efficiency using the liquid-to-uncaptured-gas protocol.
(1) Either use a building enclosure or construct an enclosure around the coating operation where coatings, thinners, and cleaning materials are applied, and all areas where emissions from these applied coatings and materials subsequently occur, such as flash-off, curing, and drying areas. The areas of the coating operation where capture devices collect emissions for routing to an add-on control device, such as the entrance and exit areas of an oven or spray booth, must also be inside the enclosure. The enclosure must meet the applicable definition of a temporary total enclosure or building enclosure in Method 204 of appendix M to 40 CFR part 51.
(2) Use Method 204A or 204F of appendix M to 40 CFR part 51 to determine the mass fraction of TVH liquid input from each coating, thinner, and cleaning material used in the coating operation during each capture efficiency test run. To make the determination, substitute TVH for each occurrence of the term VOC in the methods.
(3) Use Equation 1 of this section to calculate the total mass of TVH liquid input from all the coatings, thinners, and cleaning materials used in the coating operation during each capture efficiency test run.

Where:
TVHused = total mass of TVH liquid input from all coatings, thinners, and cleaning materials used in the coating operation during the capture efficiency test run, kg.
TVHi = mass fraction of TVH in coating, thinner, or cleaning material, i, that is used in the coating operation during the capture efficiency test run, kg TVH per kg material.
Voli = total volume of coating, thinner, or cleaning material, i, used in the coating operation during the capture efficiency test run, liters.
Di = density of coating, thinner, or cleaning material, i, kg material per liter material.
n = number of different coatings, thinners, and cleaning materials used in the coating operation during the capture efficiency test run.
(4) Use Method 204D or E of appendix M to 40 CFR part 51 to measure the total mass, kg, of TVH emissions that are not captured by the emission capture system; they are measured as they exit the temporary total enclosure or building enclosure during each capture efficiency test run. To make the measurement substitute TVH for each occurrence of the term VOC in the methods.
(i) Use Method 204D if the enclosure is a temporary total enclosure.
(ii) Use Method 204E if the enclosure is a building enclosure. During the capture efficiency measurement, all organic compound emitting operations inside the building enclosure, other than the coating operation for which capture efficiency is being determined must be shut down, but all fans and blowers must be operating normally.
(5) For each capture efficiency test run, determine the percent capture efficiency of the emission capture system, using Equation 2 of this section:

Where:
CE = capture efficiency of the emission capture system vented to the add-on control device, percent.
TVHused = total mass of TVH liquid input used in the coating operation during the capture efficiency test run, kg.
TVHuncaptured = total mass of TVH that is not captured by the emission capture system and that exits from the temporary total enclosure or building enclosure during the capture efficiency test run, kg.
(6) Determine the capture efficiency of the emission capture system as the average of the capture efficiencies measured in the three test runs.
(d) Gas-to-gas protocol using a temporary total enclosure or a building enclosure. The gas-to-gas protocol compares the mass of TVH emissions captured by the emission capture system to the mass of TVH emissions not captured. Use a temporary total enclosure or a building enclosure and the procedures in paragraphs (d)(1) through (5) of this section to measure emission capture system efficiency using the gas-to-gas protocol.
(1) Either use a building enclosure or construct an enclosure around the coating operation where coatings, thinners, and cleaning materials are applied and all areas where emissions from these applied coatings and materials subsequently occur such as flash-off, curing, and drying areas. The areas of the coating operation where capture devices collect emissions generated by the coating operation for routing to an add-on control device, such as the entrance and exit areas of an oven or a spray booth, must also be inside the enclosure. The enclosure must meet the applicable definition of a temporary total enclosure or building enclosure in Method 204 of appendix M to 40 CFR part 51.
(2) Use Method 204B or 204C of appendix M to 40 CFR part 51 to measure the total mass, kg, of TVH emissions captured by the emission capture system during each capture efficiency test run as measured at the inlet to the add-on control device. To make the measurement, substitute TVH for each occurrence of the term VOC in the methods.
(i) The sampling points for the Method 204B or 204C measurement must be upstream from the add-on control device and must represent total emissions routed from the capture system and entering the add-on control device.
(ii) If multiple emission streams from the capture system enter the add-on control device without a single common duct, then the emissions entering the add-on control device must be simultaneously measured in each duct, and the total emissions entering the add-on control device must be determined.
(3) Use Method 204D or 204E of appendix M to 40 CFR part 51 to measure the total mass, kg, of TVH emissions that are not captured by the emission capture system; they are measured as they exit the temporary total enclosure or building enclosure during each capture efficiency test run. To make the measurement, substitute TVH for each occurrence of the term VOC in the methods.
(i) Use Method 204D if the enclosure is a temporary total enclosure.
(ii) Use Method 204E if the enclosure is a building enclosure. During the capture efficiency measurement, all organic compound emitting operations inside the building enclosure other than the coating operation for which capture efficiency is being determined must be shut down, but all fans and blowers must be operating normally.
(4) For each capture efficiency test run, determine the percent capture efficiency of the emission capture system, using Equation 3 of this section:

Where:
CE = capture efficiency of the emission capture system vented to the add-on control device, percent.
TVHcaptured = total mass of TVH captured by the emission capture system as measured at the inlet to the add-on control device during the emission capture efficiency test run, kg.
TVHuncaptured = total mass of TVH that is not captured by the emission capture system and that exits from the temporary total enclosure or building enclosure during the capture efficiency test run, kg.
(5) Determine the capture efficiency of the emission capture system as the average of the capture efficiencies measured in the three test runs.
(e) Alternative capture efficiency protocol. As an alternative to the procedures specified in paragraphs (c) and (d) of this section, you may determine capture efficiency using any other capture efficiency protocol and test methods that satisfy the criteria of either the DQO or LCL approach as described in appendix A to subpart KK of this part.
(a) For all types of add-on control devices, use the test methods as specified in paragraphs (a)(1) through (5) of this section.
(1) Use Method 1 or 1A in appendix A-1 of part 60, as appropriate, to select sampling sites and velocity traverse points.
(2) Use Method 2, 2A, 2C, 2D, or 2F in appendix A-1, or Method 2G in appendix A-2, of part 60, as appropriate, to measure gas volumetric flow rate.
(3) Use Method 3, 3A, or 3B in appendix A-2 of part 60, as appropriate, for gas analysis to determine dry molecular weight. You may also use as an alternative to Method 3B, the manual method for measuring the oxygen, carbon dioxide, and carbon monoxide content of exhaust gas in ANSI/ASME, PTC 19.10-1981, “Flue and Exhaust Gas Analyses” (incorporated by reference, see §63.14).
(4) Use Method 4 in appendix A-3 of part 60 to determine stack gas moisture.
(5) Methods for determining gas volumetric flow rate, dry molecular weight, and stack gas moisture must be performed, as applicable, during each test run.
(b) Measure total gaseous organic mass emissions as carbon at the inlet and outlet of the add-on control device simultaneously, using either Method 25 or 25A in appendix A-7 of part 60, as specified in paragraphs (b)(1) through (3) of this section. You must use the same method for both the inlet and outlet measurements. You may use Method 18 in appendix A-6 of part 60 to subtract methane emissions from measured total gaseous organic mass emissions as carbon.
(1) Use Method 25 if the add-on control device is an oxidizer and you expect the total gaseous organic concentration as carbon to be more than 50 parts per million (ppm) at the control device outlet.
(2) Use Method 25A if the add-on control device is an oxidizer and you expect the total gaseous organic concentration as carbon to be 50 ppm or less at the control device outlet.
(3) Use Method 25A if the add-on control device is not an oxidizer.
(c) If two or more add-on control devices are used for the same emission stream, then you must measure emissions at the outlet of each device. For example, if one add-on control device is a concentrator with an outlet for the high-volume, dilute stream that has been treated by the concentrator, and a second add-on control device is an oxidizer with an outlet for the low-volume, concentrated stream that is treated with the oxidizer, you must measure emissions at the outlet of the oxidizer and the high-volume dilute stream outlet of the concentrator.
(d) For each test run, determine the total gaseous organic emissions mass flow rates for the inlet and the outlet of the add-on control device, using Equation 1 of this section. If there is more than one inlet or outlet to the add-on control device, you must calculate the total gaseous organic mass flow rate using Equation 1 of this section for each inlet and each outlet and then total all of the inlet emissions and total all of the outlet emissions.

Where:
Mf = total gaseous organic emissions mass flow rate, kg/per hour (h).
Cc = concentration of organic compounds as carbon in the vent gas, as determined by Method 25 or Method 25A, parts per million by volume (ppmv), dry basis.
Qsd = volumetric flow rate of gases entering or exiting the add-on control device, as determined by Method 2, 2A, 2C, 2D, 2F, or 2G, dry standard cubic meters/hour (dscm/h).
0.0416 = conversion factor for molar volume, kg-moles per cubic meter (mol/m 3) (@ 293 Kelvin (K) and 760 millimeters of mercury (mm Hg)).
(e) For each test run, determine the add-on control device organic emissions destruction or removal efficiency, using Equation 2 of this section.

Where:
DRE = add-on control device organic emissions destruction or removal efficiency, percent.
Mfi = total gaseous organic emissions mass flow rate at the inlet(s) to the add-on control device, using Equation 1 of this section, kg/h.
Mfo = total gaseous organic emissions mass flow rate at the outlet(s) of the add-on control device, using Equation 1 of this section, kg/h.
(f) Determine the emission destruction or removal efficiency of the add-on control device as the average of the efficiencies determined in the three test runs and calculated in Equation 2 of this section.
[67 FR 48262, July 23, 2002, as amended at 84 FR 9617, Mar. 15, 2019]
During the performance tests required by §§63.4160 and 63.4163, and described in §§63.4164, 63.4165, and 63.4166, you must establish the operating limits required by §63.4092 according to this section unless you have received approval for alternative monitoring and operating limits under §63.8(f) as specified in §63.4092.
(a) Thermal oxidizers. If your add-on control device is a thermal oxidizer, establish the operating limits according to paragraphs (a)(1) and (2) of this section.
(1) During the performance test, you must monitor and record the combustion temperature at least once every 15 minutes during each of the three test runs. You must monitor the temperature in the firebox of the thermal oxidizer or immediately downstream of the firebox before any substantial heat exchange occurs.
(2) Use the data collected during the performance test to calculate and record the average combustion temperature maintained during the performance test. This average combustion temperature is the minimum operating limit for your thermal oxidizer.
(b) Catalytic oxidizers. If your add-on control device is a catalytic oxidizer, establish the operating limits according to either paragraphs (b)(1) and (2) or paragraphs (b)(3) and (4) of this section.
(1) During the performance test, you must monitor and record the temperature just before the catalyst bed and the temperature difference across the catalyst bed at least once every 15 minutes during each of the three test runs.
(2) Use the data collected during the performance test to calculate and record the average temperature just before the catalyst bed and the average temperature difference across the catalyst bed maintained during the performance test. These are the minimum operating limits for your catalytic oxidizer.
(3) As an alternative to monitoring the temperature difference across the catalyst bed, you may monitor the temperature just before the catalyst bed and implement a site-specific inspection and maintenance plan for your catalytic oxidizer as specified in paragraph (b)(4) of this section. During the performance test, you must monitor and record the temperature just before the catalyst bed at least once every 15 minutes during each of the three test runs. Use the data collected during the performance test to calculate and record the average temperature just before the catalyst bed during the performance test. This is the minimum operating limit for your catalytic oxidizer.
(4) You must develop and implement an inspection and maintenance plan for your catalytic oxidizer(s) for which you elect to monitor according to paragraph (b)(3) of this section. The plan must address, at a minimum, the elements specified in paragraphs (b)(4)(i) through (iii) of this section.
(i) Annual sampling and analysis of the catalyst activity (i.e., conversion efficiency) following the manufacturer's or catalyst supplier's recommended procedures.
(ii) Monthly inspection of the oxidizer system including the burner assembly and fuel supply lines for problems and, as necessary, adjusting the equipment to assure proper air-to-fuel mixtures.
(iii) Annual internal and monthly external visual inspection of the catalyst bed to check for channeling, abrasion, and settling. If problems are found, you must take corrective action consistent with the manufacturer's recommendations and conduct a new performance test to determine destruction efficiency according to §63.4166.
(c) Carbon adsorbers. If your add-on control device is a carbon absorber, establish the operating limits according to paragraphs (c)(1) and (2) of this section.
(1) You must monitor and record the total regeneration desorbing gas (e.g., steam or nitrogen) mass flow for each regeneration cycle and the carbon bed temperature after each carbon bed regeneration and cooling cycle for the regeneration cycle either immediately preceding or immediately following the performance test.
(2) The operating limits for your carbon absorber are the minimum total desorbing gas mass flow recorded during the regeneration cycle and the maximum carbon bed temperature recorded after the cooling cycle.
(d) Condensers. If your add-on control device is a condenser, establish the operating limits according to paragraphs (d)(1) and (2) of this section.
(1) During the performance test, you must monitor and record the condenser outlet (product side) gas temperature at least once every 15 minutes during each of the three test runs.
(2) Use the data collected during the performance test to calculate and record the average condenser outlet (product side) gas temperature maintained during the performance test. This average condenser outlet gas temperature is the maximum operating limit for your condenser.
(e) Concentrators. If your add-on control device includes a concentrator, you must establish operating limits for the concentrator according to paragraphs (e)(1) through (4) of this section.
(1) During the performance test, you must monitor and record the desorption concentrate stream gas temperature at least once every 15 minutes during each of the three runs of the performance test.
(2) Use the data collected during the performance test to calculate and record the average temperature. This is the minimum operating limit for the desorption concentrate gas stream temperature.
(3) During the performance test, you must monitor and record the pressure drop of the dilute stream across the concentrator at least once every 15 minutes during each of the three runs of the performance test.
(4) Use the data collected during the performance test to calculate and record the average pressure drop. This is the maximum operating limit for the dilute stream across the concentrator.
(f) Emission capture system. For each capture device that is not part of a PTE that meets the criteria of §63.4165(a), establish an operating limit for either the gas volumetric flow rate or duct static pressure as specified in paragraphs (f)(1) and (2) of this section. The operating limit for a PTE is specified in Table 1 to this subpart.
(1) During the capture efficiency determination required by §§63.4160 and 63.4163, and described in §§63.4164 and 63.4165, you must monitor and record either the gas volumetric flow rate or the duct static pressure for each separate capture device in your emission capture system at least once every 15 minutes during each of the three test runs at a point in the duct between the capture device and the add-on control device inlet.
(2) Calculate and record the average gas volumetric flow rate or duct static pressure for the three test runs for each capture device. This average gas volumetric flow rate or duct static pressure is the minimum operating limit for that specific capture device.
[67 FR 48262, July 23, 2002, as amended at 84 FR 9618, Mar. 15, 2019]
(a) General. You must install, operate, and maintain each CPMS specified in paragraphs (c), (e), (f), and (g) of this section according to paragraphs (a)(1) through (6) of this section. You must install, operate, and maintain each CPMS specified in paragraphs (b) and (d) of this section according to paragraphs (a)(3) through (5) of this section.
(1) The CPMS must complete a minimum of one cycle of operation for each successive 15-minute period. You must have a minimum of four equally spaced successive cycles of CPMS operation in 1 hour.
(2) You must determine the average of all recorded readings for each successive 3-hour period of the emission capture system and add-on control device operation except as specified in paragraph (a)(6) of this section.
(3) You must record the results of each inspection, calibration, and validation check of the CPMS.
(4) You must maintain the CPMS at all times in accordance with §63.4100(b) and have readily available necessary parts for routine repairs of the monitoring equipment.
(5) Before September 12, 2019, you must operate the CPMS and collect emission capture system and add-on control device parameter data at all times that a controlled coating operation is operating except during monitoring malfunctions, associated repairs, and required quality assurance or control activities (including, if applicable, calibration checks and required zero and span adjustments). On and after September 12, 2019, you must operate the CPMS and collect emission capture system and add-on control device parameter data at all times in accordance with §63.4100(b).
(6) You must not use emission capture system or add-on control device parameter data recorded during monitoring malfunctions, associated repairs, out-of-control periods, or required quality assurance or control activities when calculating data averages. You must use all the data collected during all other periods in calculating the data averages for determining compliance with the emission capture system and add-on control device operating limits.
(7) A monitoring malfunction is any sudden, infrequent, not reasonably preventable failure of the CPMS to provide valid data. Monitoring failures that are caused in part by poor maintenance or careless operation are not malfunctions. Except for periods of required quality assurance or control activities, any period during which the CPMS fails to operate and record data continuously as required by paragraph (a)(1) of this section, or generates data that cannot be included in calculating averages as specified in paragraph (a)(6) of this section, is a deviation from the monitoring requirements.
(b) Capture system bypass line. You must comply with the requirements of paragraphs (a)(3) through (5) and (b)(1) and (2) of this section for each emission capture system that contains bypass lines that could divert emissions away from the add-on control device to the atmosphere.
(1) You must monitor or secure the valve or closure mechanism controlling the bypass line in a nondiverting position in such a way that the valve or closure mechanism cannot be opened without creating a record that the valve was opened. The method used to monitor or secure the valve or closure mechanism must meet one of the requirements specified in paragraphs (b)(1)(i) through (iv) of this section.
(i) Flow control position indicator. Install, calibrate, maintain, and operate according to the manufacturer's specifications a flow control position indicator that takes a reading at least once every 15 minutes and provides a record indicating whether the emissions are directed to the add-on control device or diverted from the add-on control device. The time of occurrence and flow control position must be recorded, as well as every time the flow direction is changed. The flow control position indicator must be installed at the entrance to any bypass line that could divert the emissions away from the add-on control device to the atmosphere.
(ii) Car-seal or lock-and-key valve closures. Secure any bypass line valve in the closed position with a car-seal or a lock-and-key type configuration. You must visually inspect the seal or closure mechanism at least once every month to ensure that the valve is maintained in the closed position and the emissions are not diverted away from the add-on control device to the atmosphere.
(iii) Valve closure monitoring. Ensure that any bypass line valve is in the closed (non-diverting) position through monitoring of valve position at least once every 15 minutes. You must inspect the monitoring system at least once every month to verify that the monitor will indicate valve position.
(iv) Automatic shutdown system. Use an automatic shutdown system in which the coating operation is stopped when flow is diverted by the bypass line away from the add-on control device to the atmosphere when the coating operation is running. You must inspect the automatic shutdown system at least once every month to verify that it will detect diversions of flow and shutdown the coating operation.
(2) If any bypass line is opened, you must include a description of why the bypass line was opened and the length of time it remained open in the semiannual compliance reports required in §63.4120.
(c) Thermal oxidizers and catalytic oxidizers. If you are using a thermal oxidizer or catalytic oxidizer as an add-on control device (including those used with concentrators or with carbon adsorbers to treat desorbed concentrate streams), you must comply with the requirements in paragraphs (a) and (c)(1) through (3) of this section:
(1) For a thermal oxidizer, install a gas temperature monitor in the firebox of the thermal oxidizer or in the duct immediately downstream of the firebox before any substantial heat exchange occurs.
(2) For a catalytic oxidizer, install a gas temperature monitor in the gas stream immediately before the catalyst bed, and if you establish operating limits according to §63.4167(b)(1) and (2), also install a gas temperature monitor in the gas stream immediately after the catalyst bed.
(3) For each gas temperature monitoring device, you must comply with the requirements in paragraphs (c)(3)(i) through (vii) of this section. For the purposes of this paragraph (c)(3), a thermocouple is part of the temperature sensor.
(i) Locate the temperature sensor in a position that provides a representative temperature.
(ii) Use a temperature sensor with a measurement sensitivity of 4 degrees Fahrenheit or 0.75 percent of the temperature value, whichever is larger.
(iii) Shield the temperature sensor system from electromagnetic interference and chemical contaminants.
(iv) If a gas temperature chart recorder is used, it must have a measurement sensitivity in the minor division of at least 20 degrees Fahrenheit.
(v) Perform an electronic calibration at least semiannually according to the procedures in the manufacturer's owner's manual. Following the electronic calibration, you must conduct a temperature sensor validation check in which a second or redundant temperature sensor placed nearby the process temperature sensor must yield a reading within 30 degrees Fahrenheit of the process temperature sensor's reading.
(vi) Any time the sensor exceeds the manufacturer's specified maximum operating temperature range, either conduct calibration and validation checks or install a new temperature sensor.
(vii) At least monthly, inspect components for integrity and electrical connections for continuity, oxidation, and galvanic corrosion.
(d) Carbon adsorbers. If you are using a carbon adsorber as an add-on control device, you must monitor the total regeneration desorbing gas (e.g., steam or nitrogen) mass flow for each regeneration cycle, the carbon bed temperature after each regeneration and cooling cycle, and comply with paragraphs (a)(3) through (5) and (d)(1) and (2) of this section.
(1) The regeneration desorbing gas mass flow monitor must be an integrating device having a measurement sensitivity of plus or minus 10 percent, capable of recording the total regeneration desorbing gas mass flow for each regeneration cycle.
(2) The carbon bed temperature monitor must have a measurement sensitivity of 1 percent of the temperature recorded or 1 degree Fahrenheit, whichever is greater, and must be capable of recording the temperature within 15 minutes of completing any carbon bed cooling cycle.
(e) Condensers. If you are using a condenser, you must monitor the condenser outlet (product side) gas temperature and comply with paragraphs (a) and (e)(1) and (2) of this section.
(1) The gas temperature monitor must have a measurement sensitivity of 1 percent of the temperature recorded or 1 degree Fahrenheit, whichever is greater.
(2) The temperature monitor must provide a gas temperature record at least once every 15 minutes.
(f) Concentrators. If you are using a concentrator, such as a zeolite wheel or rotary carbon bed concentrator, you must comply with the requirements in paragraphs (a) and (f)(1) and (2) of this section.
(1) You must install a temperature monitor in the desorption gas stream. The temperature monitor must meet the requirements in paragraphs (a) and (c)(3) of this section.
(2) You must install a device to monitor pressure drop across the zeolite wheel or rotary carbon bed. The pressure monitoring device must meet the requirements in paragraphs (a) and (f)(2)(i) through (vii) of this section.
(i) Locate the pressure sensor(s) in or as close to a position that provides a representative measurement of the pressure.
(ii) Minimize or eliminate pulsating pressure, vibration, and internal and external corrosion.
(iii) Use a gauge with a minimum tolerance of 0.5 inch of water or a transducer with a minimum tolerance of 1 percent of the pressure range.
(iv) Check the pressure tap daily.
(v) Using a manometer, check gauge calibration quarterly and transducer calibration monthly.
(vi) Conduct calibration checks anytime the sensor exceeds the manufacturer's specified maximum operating pressure range or install a new pressure sensor.
(vii) At least monthly, inspect components for integrity, electrical connections for continuity, and mechanical connections for leakage.
(g) Emission capture systems. The capture system monitoring system must comply with the requirements in paragraph (a) of this section and the applicable requirements in paragraphs (g)(1) and (2) of this section.
(1) For each flow measurement device, you must meet the requirements in paragraphs (a) and (g)(1)(i) through (iv) of this section.
(i) Locate a flow sensor in a position that provides a representative flow measurement in the duct from each capture device in the emission capture system to the add-on control device.
(ii) Reduce swirling flow or abnormal velocity distributions due to upstream and downstream disturbances.
(iii) Conduct a flow sensor calibration check at least semiannually.
(iv) At least monthly, inspect components for integrity, electrical connections for continuity, and mechanical connections for leakage.
(2) For each pressure drop measurement device, you must comply with the requirements in paragraphs (a) and (g)(2)(i) through (vi) of this section.
(i) Locate the pressure sensor(s) in or as close to a position that provides a representative measurement of the pressure drop across each opening you are monitoring.
(ii) Minimize or eliminate pulsating pressure, vibration, and internal and external corrosion.
(iii) Check pressure tap pluggage daily.
(iv) Using an inclined manometer with a measurement sensitivity of 0.0002 inch water, check gauge calibration quarterly and transducer calibration monthly.
(v) Conduct calibration checks any time the sensor exceeds the manufacturer's specified maximum operating pressure range or install a new pressure sensor.
(vi) At least monthly, inspect components for integrity, electrical connections for continuity, and mechanical connections for leakage.
[67 FR 48262, July 23, 2002, as amended at 84 FR 9618, Mar. 15, 2019; 85 FR 41149, July 8, 2020]
