['Air Programs']
['Hazardous Air Pollutants']
12/26/2024
...
(a) Compliant line option. Use Equation 1 of this section to calculate an organic HAP emissions factor in lbs/ton.

Where:
E = HAP emissions factor in lbs/ton of resin and gel coat
WAEu = uncontrolled wet-out area organic HAP emissions, lbs per year
WAEc = controlled wet-out area organic HAP emissions, lbs per year
Ou = uncontrolled oven organic HAP emissions, lbs per year
Oc = controlled oven organic HAP emissions, lbs per year
R = total usage of neat resin plus, tpy
G = total usage of neat gel coat plus, tpy
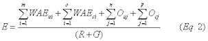
(b) Averaging option. Use Equation 2 of this section to demonstrate compliance.

Where:
E = HAP emissions factor in lbs/ton of resin and gel coat
WAEui = uncontrolled organic HAP emissions from wet-out area i, lbs per year
WAEci = controlled organic HAP emissions from wet-out area i, lbs per year
Ouj = uncontrolled organic HAP emissions from oven j, lbs per year
Ocj = controlled organic HAP emissions from oven j, lbs per year
i = number of wet-out areas
j = number of ovens
m = number of wet-out areas uncontrolled
n = number of ovens uncontrolled
o = number of wet-out areas controlled
p = number of ovens controlled
R = total usage of neat resin plus, tpy
G = total usage of neat gel coat plus, tpy
(c) Combination option. Use Equations 1 and 2 of this section, as applicable, to demonstrate compliance.
['Air Programs']
['Hazardous Air Pollutants']
UPGRADE TO CONTINUE READING
Load More
J. J. Keller is the trusted source for DOT / Transportation, OSHA / Workplace Safety, Human Resources, Construction Safety and Hazmat / Hazardous Materials regulation compliance products and services. J. J. Keller helps you increase safety awareness, reduce risk, follow best practices, improve safety training, and stay current with changing regulations.
Copyright 2026 J. J. Keller & Associate, Inc. For re-use options please contact copyright@jjkeller.com or call 800-558-5011.
