['Air Programs']
['Hazardous Air Pollutants']
02/27/2022
...
You must include all coating materials (as defined in �63.5110) used in the affected source when determining compliance with the applicable emission limit in �63.5120. To make this determination, you must use at least one of the four compliance options listed in Table 1 of this section. You may apply any of the compliance options to an individual coil coating line, or to multiple lines as a group, or to the entire affected source. You may use different compliance options for different coil coating lines, or at different times on the same line. However, you may not use different compliance options at the same time on the same coil coating line. If you switch between compliance options for any coil coating line or group of lines, you must document this switch as required by �63.5190(a), and you must report it in the next semiannual compliance report required in �63.5180.
| If you choose to demonstrate compliance by: | Then you must demonstrate that: |
|---|---|
| 1. Use of �as purchased� compliant coatings | a. Each coating material used during the 12-month compliance period does not exceed 0.046 kg HAP per liter solids, as purchased. Paragraph (a) of this section. |
| 2. Use of �as applied� compliant coatings | a. Each coating material used does not exceed 0.046 kg HAP per liter solids on a rolling 12-month average as applied basis, determined monthly. Paragraphs (b)(1) of this section; or |
| b. Average of all coating materials used does not exceed 0.046 kg HAP per liter solids on a rolling 12-month average as applied basis, determined monthly. Paragraph (b)(2) of this section. | |
| 3. Use of a capture system and control device | Overall organic HAP control efficiency is at least 98 percent on a monthly basis for individual or groups of coil coating lines; or overall organic HAP control efficiency is at least 98 percent during performance tests conducted according to Table 1 to �63.5170 and operating limits are achieved continuously for individual coil coating lines; or oxidizer outlet HAP concentration is no greater than 20 ppmv and there is 100-percent capture efficiency during performance tests conducted according to Table 1 to �63.5170 and operating limits are achieved continuously for individual coil coating lines. Paragraph (c) of this section. |
| 4. Use of a combination of compliant coatings and control devices and maintaining an acceptable equivalent emission rate | Average equivalent emission rate does not exceed 0.046 kg HAP per liter solids on a rolling 12-month average as applied basis, determined monthly. Paragraph (d) of this section. |
(a) As-purchased compliant coatings. If you elect to use coatings that individually meet the organic HAP emission limit in �63.5120(a)(2) as-purchased, to which you will not add HAP during distribution or application, you must demonstrate that each coating material applied during the 12-month compliance period contains no more than 0.046 kg HAP per liter of solids on an as-purchased basis.
(1) Determine the organic HAP content for each coating material in accordance with �63.5160(b) and the volume solids content in accordance with �63.5160(c).
(2) Combine these results using Equation 1 of this section and compare the result to the organic HAP emission limit in �63.5120(a)(2) to demonstrate that each coating material contains no more organic HAP than the limit.

Where:
Hsiap = as-purchased, organic HAP to solids ratio of coating material, i, kg organic HAP/liter solids applied.
Chi = organic HAP content of coating material, i, expressed as a weight-fraction, kg/kg.
Di = density of coating material, i, kg/l.
Vsi = volume fraction of solids in coating, i, l/l.
(b) As-applied compliant coatings. If you choose to use �as-applied� compliant coatings, you must demonstrate that the average of each coating material applied during the 12-month compliance period contains no more than 0.046 kg of organic HAP per liter of solids applied in accordance with (b)(1) of this section, or demonstrate that the average of all coating materials applied during the 12-month compliance period contain no more than 0.046 kg of organic HAP per liter of solids applied in accordance with paragraph (b)(2) of this section.
(1) To demonstrate that the average organic HAP content on the basis of solids applied for each coating material applied, HSi yr, is less than 0.046 kg HAP per liter solids applied for the 12-month compliance period, use Equation 2 of this section:

Where:
Hsi yr = average for the 12-month compliance period, as-applied, organic HAP to solids ratio of material, i, kg organic HAP/liter solids applied.
Vi = volume of coating material, i, l.
Di = density of coating material, i, kg/l.
Cahi = monthly average, as-applied, organic HAP content of solids-containing coating material, i, expressed as a weight fraction, kilogram (kg)/kg.
Vj = volume of solvent, j, l.
Dj = density of solvent, j, kg/l.
Chij = organic HAP content of solvent, j, added to coating material, i, expressed as a weight fraction, kg/kg.
Vsi = volume fraction of solids in coating, i, l/l.
y = identifier for months.
q = number of different solvents, thinners, reducers, diluents, or other non-solids-containing coating materials applied in a month.
(2) To demonstrte that the average organic HAP content on the basis of solids applied, HS yr, of all coating materials applied is less than 0.046 kg HAP per liter solids applied for the 12-month compliance period, use Equation 3 of this section:

Where:
HS yr = average for the 12-month compliance period, as-applied, organic HAP to solids ratio of all materials applied, kg organic HAP/liter solids applied.
Vi = volume of coating material, i, l.
Di = density of coating material, i, kg/l.
Cahi = monthly average, as-applied, organic HAP content of solids-containing coating material, i, expressed as a weight fraction, kilogram (kg)/kg.
Vj = volume of solvent, j, l.
Dj = density of solvent, j, kg/l.
Chij = organic HAP content of solvent, j, added to coating material, i, expressed as a weight fraction, kg/kg.
Vsi = volume fraction of solids in coating, i, l/l.
p = number of different coating materials applied in a month.
q = number of different solvents, thinners, reducers, diluents, or other non-solids-containing coating materials applied in a month.
y = identifier for months.
(c) Capture and control to reduce emissions to no more than the allowable limit. If you use one or more capture systems and one or more control devices and demonstrate an average overall organic HAP control efficiency of at least 98 percent for each month to comply with �63.5120(a)(1); or operate a capture system and oxidizer so that the capture efficiency is 100 percent and the oxidizer outlet HAP concentration is no greater than 20 ppmv on a dry basis to comply with �63.5120(a)(3), you must follow one of the procedures in paragraphs (c)(1) through (4) of this section. Alternatively, you may demonstrate compliance for an individual coil coating line by operating its capture system and control device and continuous parameter monitoring system according to the procedures in paragraph (i) of this section.
(1) If the affected source uses one compliance procedure to limit organic HAP emissions to the level specified in �63.5120(a)(1) or (3) and has only always-controlled work stations, then you must demonstrate compliance with the provisions of paragraph (e) of this section when emissions from the affected source are controlled by one or more solvent recovery devices.
(2) If the affected source uses one compliance procedure to limit organic HAP emissions to the level specified in �63.5120(a)(1) or (3) and has only always-controlled work stations, then you must demonstrate compliance with the provisions of paragraph (f) of this section when emissions are controlled by one or more oxidizers.
(3) If the affected source operates both solvent recovery and oxidizer control devices, one or more never-controlled work stations, or one or more intermittently-controllable work stations, or uses more than one compliance procedure, then you must demonstrate compliance with the provisions of paragraph (g) of this section.
(4) The method of limiting organic HAP emissions to the level specified in �63.5120(a)(3) is the installation and operation of a PTE around each work station and associated curing oven in the coating line and the ventilation of all organic HAP emissions from each PTE to an oxidizer with an outlet organic HAP concentration of no greater than 20 ppmv on a dry basis. An enclosure that meets the requirements in �63.5160(e)(1) is considered a PTE. Compliance of the oxidizer with the outlet organic HAP concentration limit is demonstrated either through continuous emission monitoring according to paragraph (c)(4)(ii) of this section or through performance tests according to the requirements of �63.5160(d) and Table 1 to �63.5160. If this method is selected, you must meet the requirements of paragraph (c)(4)(i) of this section to demonstrate continuing achievement of 100 percent capture of organic HAP emissions and either paragraph (c)(4)(ii) or paragraph (c)(4)(iii) of this section, respectively, to demonstrate continuous compliance with the oxidizer outlet organic HAP concentration limit through continuous emission monitoring or continuous operating parameter monitoring:
(i) Whenever a work station is operated, continuously monitor the capture system operating parameter established in accordance with �63.5150(a)(4).
(ii) To demonstrate that the value of the exhaust gas organic HAP concentration at the outlet of the oxidizer is no greater than 20 ppmv, on a dry basis, install, calibrate, operate, and maintain CEMS according to the requirements of �63.5150(a)(2).
(iii) To demonstrate continuous compliance with operating limits established in accordance with �63.5150(a)(3), whenever a work station is operated, continuously monitor the applicable oxidizer operating parameter.
(d) Capture and control to achieve the emission rate limit. If you use one or more capture systems and one or more control devices and limit the organic HAP emission rate to no more than 0.046 kg organic HAP emitted per liter of solids applied on a 12-month average as-applied basis, then you must follow one of the procedures in paragraphs (d)(1) through (3) of this section.
(1) If you use one or more solvent recovery devices, you must demonstrate compliance with the provisions in paragraph (e) of this section.
(2) If you use one or more oxidizers, you must demonstrate compliance with the provisions in paragraph (f) of this section.
(3) If you use both solvent recovery devices and oxidizers, or operate one or more never-controlled work stations or one or more intermittently controllable work stations, you must demonstrate compliance with the provisions in paragraph (g) of this section.
(e) Use of solvent recovery to demonstrate compliance. If you use one or more solvent recovery devices to control emissions from always-controlled work stations, you must show compliance by following the procedures in either paragraph (e)(1) or (2) of this section:
(1) Liquid-liquid material balance. Perform a liquid-liquid material balance for each month as specified in paragraphs (e)(1)(i) through (vi) of this section and use Equations 4 through 6 of this section to convert the data to units of this standard. All determinations of quantity of coating and composition of coating must be made at a time and location in the process after all ingredients (including any dilution solvent) have been added to the coating, or appropriate adjustments must be made to account for any ingredients added after the amount of coating has been determined.
(i) Measure the mass of each coating material applied on the work station or group of work stations controlled by one or more solvent recovery devices during the month.
(ii) If demonstrating compliance with the organic HAP emission rate based on solids applied, determine the organic HAP content of each coating material applied during the month following the procedure in �63.5160(b).
(iii) Determine the volatile matter content of each coating material applied during the month following the procedure in �63.5160(c).
(iv) If demonstrating compliance with the organic HAP emission rate based on solids applied, determine the solids content of each coating material applied during the month following the procedure in �63.5160(c).
(v) For each solvent recovery device used to comply with �63.5120(a), install, calibrate, maintain, and operate according to the manufacturer's specifications, a device that indicates the cumulative amount of volatile matter recovered by the solvent recovery device on a monthly basis. The device must be initially certified by the manufacturer to be accurate to within �2.0 percent.
(vi) For each solvent recovery device used to comply with �63.5120(a), measure the amount of volatile matter recovered for the month.
(vii) Recovery efficiency, Rv. Calculate the volatile organic matter collection and recovery efficiency, Rv, using Equation 4 of this section:

Where:
Rv = organic volatile matter collection and recovery efficiency, percent.
Mkvr = mass of volatile matter recovered in a month by solvent recovery device, k, kg.
Mi = mass of coating material, i, applied in a month, kg.
Cvi = volatile matter content of coating material, i, expressed as a weight fraction, kg/kg.
Mj = mass of solvent, thinner, reducer, diluent, or other non-solids-containing coating material (excluding H2O), j, applied in a month, kg.
p = number of different coating materials applied in a month.
q = number of different solvents, thinners, reducers, diluents, or other non-solids-containing coating materials applied in a month.
s = number of solvent recovery devices used to comply with the standard of �63.5120 of this subpart, in the facility.
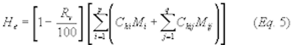
(viii) Organic HAP emitted, He. Calculate the mass of organic HAP emitted during the month, He, using Equation 5 of this section:

Where:
He = total monthly organic HAP emitted, kg.
Rv = organic volatile matter collection and recovery efficiency, percent.
Chi = organic HAP content of coating material, i, expressed as a weight-fraction, kg/kg.
Mi = mass of coating material, i, applied in a month, kg.
Chij = organic HAP content of solvent, j, added to coating material, i, expressed as a weight fraction, kg/kg.
Mij = mass of solvent, thinner, reducer, diluent, or other non-solids-containing coating material, j, added to solids-containing coating material, i, in a month, kg.
p = number of different coating materials applied in a month.
q = number of different solvents, thinners, reducers, diluents, or other non-solids-containing coating materials applied in a month.
(ix) Organic HAP emission rate based on solids applied for the 12-month compliance period, LANNUAL. Calculate the organic HAP emission rate based on solids applied for the 12-month compliance period, LANNUAL, using Equation 6 of this section:

Where:
LANNUAL = mass organic HAP emitted per volume of solids applied for the 12-month compliance period, kg/liter.
He = total monthly organic HAP emitted, kg.
Csi = solids content of coating material, i, expressed as liter of solids/kg of material.
Mi = mass of coating material, i, applied in a month, kg.
y = identifier for months.
p = number of different coating materials applied in a month.
(x) Compare actual performance to performance required by compliance option. The affected source is in compliance with �63.5120(a) if it meets the requirement in either paragraph (e)(1)(x)(A) or (B) of this section:
(A) The average volatile organic matter collection and recovery efficiency, Rv, is 98 percent or greater each month of the 12-month compliance period; or
(B) The organic HAP emission rate based on solids applied for the 12-month compliance period, LANNUAL, is 0.046 kg organic HAP per liter solids applied or less.
(2) Continuous emission monitoring of control device performance. Use continuous emission monitors to demonstrate recovery efficiency, conduct performance tests of capture efficiency and volumetric flow rate, and continuously monitor a site specific operating parameter to ensure that capture efficiency and volumetric flow rate are maintained following the procedures in paragraphs (e)(2)(i) through (xi) of this section:
(i) Control device destruction or removal efficiency, DRE. For each control device used to comply with �63.5120(a), continuously monitor the gas stream entering and exiting the control device to determine the total volatile organic matter mass flow rate (e.g., by determining the concentration of the vent gas in grams per cubic meter and the volumetric flow rate in cubic meters per second, such that the total volatile organic matter mass flow rate in grams per second can be calculated using Equation 1 of �63.5160, and the percent destruction or removal efficiency, DRE, of the control device can be calculated for each month using Equation 2 of �63.5160.
(ii) Determine the percent capture efficiency, CE, for each work station in accordance with �63.5160(e).
(iii) Capture efficiency monitoring. Whenever a work station is operated, continuously monitor the operating parameter established in accordance with �63.5150(a)(4).
(iv) Control efficiency, R. Calculate the overall organic HAP control efficiency, R, achieved for each month using Equation 7 of this section:

Where:
R = overall organic HAP control efficiency, percent.
DREk = organic volatile matter destruction or removal efficiency of control device, k, percent.
CEA = organic volatile matter capture efficiency of the capture system for work station, A, percent.
MAi = mass of coating material, i, applied on work station, A, in a month, kg.
Cvi = volatile matter content of coating material, i, expressed as a weight fraction, kg/kg.
MAj = mass of solvent, thinner, reducer, diluent, or other non-solids-containing coating material (including H2O), j, applied on work station, A, in a month, kg.
Mi = mass of coating material, i, applied in a month, kg.
Mj = mass of solvent, thinner, reducer, diluent, or other non-solids-containing coating material (excluding H2O), j, applied in a month, kg.
w = number of always-controlled work stations in the facility.
p = number of different coating materials applied in a month.
q = number of different solvents, thinners, reducers, diluents, or other non-solids-containing coating materials applied in a month.
(v) If demonstrating compliance with the organic HAP emission rate based on solids applied, measure the mass of each coating material applied on each work station during the month.
(vi) If demonstrating compliance with the organic HAP emission rate based on solids applied, determine the organic HAP content of each coating material applied during the month in accordance with �63.5160(b).
(vii) If demonstrating compliance with the organic HAP emission rate based on solids applied, determine the solids content of each coating material applied during the month in accordance with �63.5160(c).
(viii) If demonstrating compliance with the organic HAP emission rate based on solids applied, calculate the organic HAP emitted during the month, He, for each month using Equation 8 of this section:

Where:
He = total monthly organic HAP emitted, kg.
DREk = organic volatile matter destruction or removal efficiency of control device, k, percent.
CEA = organic volatile matter capture efficiency of the capture system for work station, A, percent.
Chi = organic HAP content of coating material, i, expressed as a weight-fraction, kg/kg.
MAi = mass of coating material, i, applied on work station, A, in a month, kg.
Chij = organic HAP content of solvent, j, added to coating material, i, expressed as a weight fraction, kg/kg.
MAij = mass of solvent, thinner, reducer, diluent, or other non-solids-containing coating material, j, added to solids-containing coating material, i, applied on work station, A, in a month, kg.
w = number of always-controlled work stations in the facility.
p = number of different coating materials applied in a month.
q = number of different solvents, thinners, reducers, diluents, or other non-solids-containing coating materials applied in a month.
(ix) Organic HAP emission rate based on solids applied for the 12-month compliance period, LANNUAL. Calculate the organic HAP emission rate based on solids applied for the 12-month compliance period, LANNUAL, using Equation 6 of this section.
(x) Compare actual performance to performance required by compliance option. The affected source is in compliance with �63.5120(a) if each capture system operating parameter is operated at an average value greater than or less than (as appropriate) the operating parameter value established in accordance with �63.5150 for each 3-hour period; and
(A) The overall organic HAP control efficiency, R, is 98 percent or greater for each; or
(B) The organic HAP emission rate based on solids applied for the 12-month compliance period, LANNUAL, is 0.046 kg organic HAP per liter solids applied or less.
(f) Use of oxidation to demonstrate compliance. If you use one or more oxidizers to control emissions from always controlled work stations, you must follow the procedures in either paragraph (f)(1) or (2) of this section:
(1) Continuous monitoring of capture system and control device operating parameters. Demonstrate compliance through performance tests of capture efficiency and control device efficiency and continuous monitoring of capture system and control device operating parameters as specified in paragraphs (f)(1)(i) through (xi) of this section:
(i) For each oxidizer used to comply with �63.5120(a), determine the oxidizer destruction or removal efficiency, DRE, using the procedure in �63.5160(d).
(ii) Whenever a work station is operated, continuously monitor the operating parameter established in accordance with �63.5150(a)(3).
(iii) Determine the capture system capture efficiency, CE, for each work station in accordance with �63.5160(e).
(iv) Whenever a work station is operated, continuously monitor the operating parameter established in accordance with �63.5150(a)(4).
(v) Calculate the overall organic HAP control efficiency, R, achieved using Equation 7 of this section.
(vi) If demonstrating compliance with the organic HAP emission rate based on solids applied, measure the mass of each coating material applied on each work station during the month.
(vii) If demonstrating compliance with the organic HAP emission rate based on solids applied, determine the organic HAP content of each coating material applied during the month following the procedure in �63.5160(b).
(viii) If demonstrating compliance with the organic HAP emission rate based on solids applied, determine the solids content of each coating material applied during the month following the procedure in �63.5160(c).
(ix) Calculate the organic HAP emitted during the month, He, for each month:
(A) For each work station and its associated oxidizer, use Equation 8 of this section.
(B) For periods when the oxidizer has not operated within its established operating limit, the control device efficiency is determined to be zero.
(x) Organic HAP emission rate based on solids applied for the 12-month compliance period, LANNUAL. If demonstrating compliance with the organic HAP emission rate based on solids applied for the 12-month compliance period, calculate the organic HAP emission rate based on solids applied, LANNUAL, for the 12-month compliance period using Equation 6 of this section.
(xi) Compare actual performance to performance required by compliance option. The affected source is in compliance with �63.5120(a) if each oxidizer is operated such that the average operating parameter value is greater than the operating parameter value established in �63.5150(a)(3) for each 3-hour period, and each capture system operating parameter average value is greater than or less than (as appropriate) the operating parameter value established in �63.5150(a)(4) for each 3-hour period; and the requirement in either paragraph (f)(1)(xi)(A) or (B) of this section is met.
(A) The overall organic HAP control efficiency, R, is 98 percent or greater for each; or
(B) The organic HAP emission rate based on solids applied, LANNUAL, is 0.046 kg organic HAP per liter solids applied or less for the 12-month compliance period.
(2) Continuous emission monitoring of control device performance. Use continuous emission monitors, conduct an initial performance test of capture efficiency, and continuously monitor a site specific operating parameter to ensure that capture efficiency is maintained. Compliance must be demonstrated in accordance with paragraph (e)(2) of this section.
(g) Combination of capture and control. You must demonstrate compliance according to the procedures in paragraphs (g)(1) through (8) of this section if both solvent recovery and oxidizer control devices, one or more never controlled coil coating stations, or one or more intermittently controllable coil coating stations are operated; or more than one compliance procedure is used.
(1) Solvent recovery system using liquid/liquid material balance compliance demonstration. For each solvent recovery system used to control one or more work stations for which you choose to comply by means of a liquid-liquid material balance, you must determine the organic HAP emissions each month of the 12-month compliance period for those work stations controlled by that solvent recovery system according to either paragraph (g)(1)(i) or (ii) of this section:
(i) In accordance with paragraphs (e)(1)(i) through (iii) and (e)(1)(v) through (viii) of this section if the work stations controlled by that solvent recovery system are only always-controlled work stations; or
(ii) In accordance with paragraphs (e)(1)(ii) through (iii), (e)(1)(v) through (vi), and (h) of this section if the work stations controlled by that solvent recovery system include one or more never-controlled or intermittently-controllable work stations.
(2) Solvent recovery system using performance test and continuous monitoring compliance demonstration. For each solvent recovery system used to control one or more coil coating stations for which you choose to comply by means of performance testing of capture efficiency, continuous emission monitoring of the control device, and continuous monitoring of a capture system operating parameter, each month of the 12-month compliance period you must meet the requirements of paragraphs (g)(2)(i) and (ii) of this section:
(i) For each capture system delivering emissions to that solvent recovery system, monitor an operating parameter established in �63.5150(a)(4) to ensure that capture system efficiency is maintained; and
(ii) Determine the organic HAP emissions for those work stations served by each capture system delivering emissions to that solvent recovery system according to either paragraph (g)(2)(ii)(A) or (B) of this section:
(A) In accordance with paragraphs (e)(2)(i) through (iii) and (e)(2)(v) through (viii) of this section if the work stations served by that capture system are only always-controlled coil coating stations; or
(B) In accordance with paragraphs (e)(2)(i) through (iii), (e)(2)(v) through (vii), and (h) of this section if the work stations served by that capture system include one or more never-controlled or intermittently-controllable work stations.
(3) Oxidizer using performance tests and continuous monitoring of operating parameters compliance demonstration. For each oxidizer used to control emissions from one or more work stations for which you choose to demonstrate compliance through performance tests of capture efficiency, control device efficiency, and continuous monitoring of capture system and control device operating parameters, each month of the 12-month compliance period you must meet the requirements of paragraphs (g)(3)(i) through (iii) of this section:
(i) Monitor an operating parameter established in �63.5150(a)(3) to ensure that control device destruction or removal efficiency is maintained; and
(ii) For each capture system delivering emissions to that oxidizer, monitor an operating parameter established in �63.5150(a)(4) to ensure capture efficiency; and
(iii) Determine the organic HAP emissions for those work stations served by each capture system delivering emissions to that oxidizer according to either paragraph (g)(3)(iii)(A) or (B) of this section:
(A) In accordance with paragraphs (f)(1)(i) through (v) and (ix) of this section if the work stations served by that capture system are only always-controlled work stations; or
(B) In accordance with paragraphs (f)(1)(i) through (v), (ix), and (h) of this section if the work stations served by that capture system include one or more never-controlled or intermittently-controllable work stations.
(4) Oxidizer using continuous emission monitoring compliance demonstration. For each oxidizer used to control emissions from one or more work stations for which you choose to demonstrate compliance through capture efficiency testing, continuous emission monitoring of the control device, and continuous monitoring of a capture system operating parameter, each month of the 12-month compliance period you must meet the requirements in paragraphs (g)(4)(i) and (ii) of this section:
(i) For each capture system delivering emissions to that oxidizer, monitor an operating parameter established in �63.5150(a)(4) to ensure capture efficiency; and
(ii) Determine the organic HAP emissions for those work stations served by each capture system delivering emissions to that oxidizer according to either paragraph (g)(4)(ii)(A) or (B) of this section:
(A) In accordance with paragraphs (e)(2)(i) through (iii) and (e)(2)(v) through (viii) of this section if the work stations served by that capture system are only always-controlled work stations; or
(B) In accordance with paragraphs (e)(2)(i) through (iii), (e)(2)(v) through (vii), and (h) of this section if the work stations served by that capture system include one or more never-controlled or intermittently-controllable work stations.
(5) Uncontrolled work stations. For uncontrolled work stations, each month of the 12-month compliance period you must determine the organic HAP applied on those work stations using Equation 9 of this section. The organic HAP emitted from an uncontrolled work station is equal to the organic HAP applied on that work station:

Where:
Hm = facility total monthly organic HAP applied on uncontrolled coil coating stations, kg.
Chi = organic HAP content of coating material, i, expressed as a weight-fraction, kg/kg.
MAi = mass of coating material, i, applied on work station, A, in a month, kg.
Chij = organic HAP content of solvent, j, added to coating material, i, expressed as a weight fraction, kg/kg.
MAij = mass of solvent, thinner, reducer, diluent, or other non-solids-containing coating material, j, added to solids-containing coating material, i, applied on work station, A, in a month, kg.
x = number of uncontrolled work stations in the facility.
p = number of different coating materials applied in a month.
q = number of different solvents, thinners, reducers, diluents, or other non-solids-containing coating materials applied in a month.
(6) If demonstrating compliance with the organic HAP emission rate based on solids applied, each month of the 12-month compliance period you must determine the solids content of each coating material applied during the month following the procedure in �63.5160(c).
(7) Organic HAP emitted. You must determine the organic HAP emissions for the affected source for each 12-month compliance period by summing all monthly organic HAP emissions calculated according to paragraphs (g)(1), (g)(2)(ii), (g)(3)(iii), (g)(4)(ii), and (g)(5) of this section.
(8) Compare actual performance to performance required by compliance option. The affected source is in compliance with �63.5120(a) for the 12-month compliance period if all operating parameters required to be monitored under paragraphs (g)(2) through (4) of this section were maintained at the values established in �63.5150; and it meets the requirement in either paragraph (g)(8)(i) or (ii) of this section.
(i) The total mass of organic HAP emitted by the affected source was not more than 0.046 kg HAP per liter of solids applied for the 12-month compliance period; or
(ii) The total mass of organic HAP emitted by the affected source was not more than 2 percent of the total mass of organic HAP applied by the affected source each month. You must determine the total mass of organic HAP applied by the affected source in each month of the 12-month compliance period using Equation 9 of this section.
(h) Organic HAP emissions from intermittently-controllable or never-controlled coil coating stations. If you have been expressly referenced to this paragraph by paragraphs (g)(1)(ii), (g)(2)(ii)(B), (g)(3)(iii)(B), or (g)(4)(ii)(B) of this section for calculation procedures to determine organic HAP emissions, you must for your intermittently-controllable or never-controlled work stations meet the requirements of paragraphs (h)(1) through (6) of this section:
(1) Determine the sum of the mass of all solids-containing coating materials which are applied on intermittently-controllable work stations in bypass mode, and the mass of all solids-containing coating materials which are applied on never-controlled coil coating stations during each month of the 12-month compliance period, MBi.
(2) Determine the sum of the mass of all solvents, thinners, reducers, diluents, and other nonsolids-containing coating materials which are applied on intermittently-controllable work stations in bypass mode, and the mass of all solvents, thinners, reducers, diluents and other nonsolids-containing coating materials which are applied on never-controlled work stations during each month of the 12-month compliance period, MBj.
(3) Determine the sum of the mass of all solids-containing coating materials which are applied on intermittently-controllable work stations in controlled mode, and the mass of all solids-containing coating materials which are applied on always-controlled work stations during each month of the 12-month compliance period, MCi.
(4) Determine the sum of the mass of all solvents, thinners, reducers, diluents, and other nonsolids-containing coating materials which are applied on intermittently-controllable work stations in controlled mode, and the mass of all solvents, thinners, reducers, diluents, and other nonsolids-containing coating materials which are applied on always-controlled work stations during each month of the 12-month compliance period, MCj.
(5) Liquid-liquid material balance calculation of HAP emitted. For each work station or group of work stations for which you use the provisions of paragraph (g)(1)(ii) of this section, you must calculate the organic HAP emitted during the month using Equation 10 of this section:

Where:
He = total monthly organic HAP emitted, kg.
Mci = sum of the mass of solids-containing coating material, i, applied on intermittently-controllable work stations operating in controlled mode and the mass of solids-containing coating material, i, applied on always-controlled work stations, in a month, kg.
Chi = organic HAP content of coating material, i, expressed as a weight-fraction, kg/kg.
Mcj = sum of the mass of solvent, thinner, reducer, diluent, or other non-solids-containing coating material, j, applied on intermittently-controllable work stations operating in controlled mode and the mass of solvent, thinner, reducer, diluent, or other non-solids-containing coating material, j, applied on always-controlled work stations in a month, kg.
Chj = organic HAP content of solvent, j, expressed as a weight fraction, kg/kg.
Mkvr = mass of volatile matter recovered in a month by solvent recovery device, k, kg.
Cvi = volatile matter content of coating material, i, expressed as a weight fraction, kg/kg.
MBi = sum of the mass of solids-containing coating material, i, applied on intermittently-controllable work stations operating in bypass mode and the mass of solids-containing coating material, i, applied on never-controlled work stations, in a month, kg.
MBj = sum of the mass of solvent, thinner, reducer, diluent, or other non-solids-containing coating material, j, applied on intermittently-controllable work stations operating in bypass mode and the mass of solvent, thinner, reducer, diluent, or other non-solids-containing coating material, j, applied on never-controlled work stations, in a month, kg.
p = number of different coating materials applied in a month.
q = number of different solvents, thinners, reducers, diluents, or other non-solids-containing coating materials applied in a month.
s = number of solvent recovery devices used to comply with the standard of �63.5120 of this subpart, in the facility.
(6) Control efficiency calculation of HAP emitted. For each work station or group of work stations for which you use the provisions of paragraphs (g)(2)(ii)(B), (g)(3)(iii)(B), or (g)(4)(ii)(B) of this section, you must calculate the organic HAP emitted during the month, He, using Equation 11 of this section:

Where:
He = total monthly organic HAP emitted, kg.
Mci = sum of the mass of solids-containing coating material, i, applied on intermittently-controllable work stations operating in controlled mode and the mass of solids-containing coating material, i, applied on always-controlled work stations, in a month, kg.
Chi = organic HAP content of coating material, i, expressed as a weight-fraction, kg/kg.
Mcj = sum of the mass of solvent, thinner, reducer, diluent, or other non-solids-containing coating material, j, applied on intermittently-controllable work stations operating in controlled mode and the mass of solvent, thinner, reducer, diluent, or other non-solids-containing coating material, j, applied on always-controlled work stations in a month, kg.
Chj = organic HAP content of solvent, j, expressed as a weight fraction, kg/kg.
DREk = organic volatile matter destruction or removal efficiency of control device, k, percent.
CEA = organic volatile matter capture efficiency of the capture system for work station, A, percent.
MBi = sum of the mass of solids-containing coating material, i, applied on intermittently-controllable work stations operating in bypass mode and the mass of solids-containing coating material, i, applied on never-controlled work stations, in a month, kg.
MBj = sum of the mass of solvent, thinner, reducer, diluent, or other non-solids-containing coating material, j, applied on intermittently-controllable work stations operating in bypass mode and the mass of solvent, thinner, reducer, diluent, or other non-solids-containing coating material, j, applied on never-controlled work stations, in a month, kg.
wi = number of intermittently-controllable work stations in the facility.
p = number of different coating materials applied in a month.
q = number of different solvents, thinners, reducers, diluents, or other non-solids-containing coating materials applied in a month.
(i) Capture and control system compliance demonstration procedures using a CPMS for a coil coating line. If you use an add-on control device, to demonstrate compliance for each capture system and each control device through performance tests and continuous monitoring of capture system and control device operating parameters, you must meet the requirements in paragraphs (i)(1) through (3) of this section.
(1) Conduct performance tests according to the schedule in Table 1 to �63.5160 to determine the control device destruction or removal efficiency, DRE, according to �63.5160(d) and Table 1 to �63.5160.
(2) Determine the emission capture efficiency, CE, in accordance with �63.5160(e).
(3) Whenever a coil coating line is operated, continuously monitor the operating parameters established according to �63.5150(a)(3) and (4) to ensure capture and control efficiency.
[85 FR 10864, Feb. 25, 2020]
['Air Programs']
['Hazardous Air Pollutants']
UPGRADE TO CONTINUE READING
Load More
J. J. Keller is the trusted source for DOT / Transportation, OSHA / Workplace Safety, Human Resources, Construction Safety and Hazmat / Hazardous Materials regulation compliance products and services. J. J. Keller helps you increase safety awareness, reduce risk, follow best practices, improve safety training, and stay current with changing regulations.
Copyright 2026 J. J. Keller & Associate, Inc. For re-use options please contact copyright@jjkeller.com or call 800-558-5011.
